Skip to ContentGo to accessibility pageKeyboard shortcuts menu
OpenStax Logo
Elementary Algebra 2e

8.1 Simplify Rational Expressions

Elementary Algebra 2e8.1 Simplify Rational Expressions
Search for key terms or text.

Learning Objectives

By the end of this section, you will be able to:

  • Determine the values for which a rational expression is undefined
  • Evaluate rational expressions
  • Simplify rational expressions
  • Simplify rational expressions with opposite factors

Be Prepared 8.1

Before you get started, take this readiness quiz.

If you miss a problem, go back to the section listed and review the material.

Simplify: 90y15y2.90y15y2.
If you missed this problem, review Example 6.66.

Be Prepared 8.2

Factor: 6x27x+2.6x27x+2.
If you missed this problem, review Example 7.34.

Be Prepared 8.3

Factor: n3+8.n3+8.
If you missed this problem, review Example 7.54.

In Chapter 1, we reviewed the properties of fractions and their operations. We introduced rational numbers, which are just fractions where the numerators and denominators are integers, and the denominator is not zero.

In this chapter, we will work with fractions whose numerators and denominators are polynomials. We call these rational expressions.

Rational Expression

A rational expression is an expression of the form p(x)q(x),p(x)q(x), where p and q are polynomials and q0.q0.

Remember, division by 0 is undefined.

Here are some examples of rational expressions:

13427y8z5x+2x274x2+3x12x813427y8z5x+2x274x2+3x12x8

Notice that the first rational expression listed above, 1342,1342, is just a fraction. Since a constant is a polynomial with degree zero, the ratio of two constants is a rational expression, provided the denominator is not zero.

We will perform the same operations with rational expressions that we do with fractions. We will simplify, add, subtract, multiply, divide, and use them in applications.


Determine the Values for Which a Rational Expression is Undefined

When we work with a numerical fraction, it is easy to avoid dividing by zero, because we can see the number in the denominator. In order to avoid dividing by zero in a rational expression, we must not allow values of the variable that will make the denominator be zero.

If the denominator is zero, the rational expression is undefined. The numerator of a rational expression may be 0—but not the denominator.

So before we begin any operation with a rational expression, we examine it first to find the values that would make the denominator zero. That way, when we solve a rational equation for example, we will know whether the algebraic solutions we find are allowed or not.

How To

Determine the Values for Which a Rational Expression is Undefined.

  1. Step 1. Set the denominator equal to zero.
  2. Step 2. Solve the equation in the set of reals, if possible.

Example 8.1

Determine the values for which the rational expression is undefined:

9yx9yx 4b32b+54b32b+5 x+4x2+5x+6x+4x2+5x+6

Try It 8.1

Determine the values for which the rational expression is undefined:

3yx3yx 8n53n+18n53n+1 a+10a2+4a+3a+10a2+4a+3

Try It 8.2

Determine the values for which the rational expression is undefined:

4p5q4p5q y13y+2y13y+2 m5m2+m6m5m2+m6

Evaluate Rational Expressions

To evaluate a rational expression, we substitute values of the variables into the expression and simplify, just as we have for many other expressions in this book.

Example 8.2

Evaluate 2x+33x52x+33x5 for each value:

x=0x=0 x=2x=2 x=−3x=−3

Try It 8.3

Evaluate y+12y3y+12y3 for each value:

y=1y=1 y=−3y=−3 y=0y=0

Try It 8.4

Evaluate 5x12x+15x12x+1 for each value:

x=1x=1 x=−1x=−1 x=0x=0

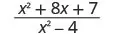
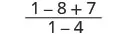
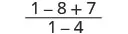
Example 8.3

Evaluate x2+8x+7x24x2+8x+7x24 for each value:

x=0x=0 x=2x=2 x=−1x=−1

Try It 8.5

Evaluate x2+1x23x+2x2+1x23x+2 for each value:

x=0x=0 x=−1x=−1 x=3x=3

Try It 8.6

Evaluate x2+x6x29x2+x6x29 for each value:

x=0x=0 x=−2x=−2 x=1x=1

Remember that a fraction is simplified when it has no common factors, other than 1, in its numerator and denominator. When we evaluate a rational expression, we make sure to simplify the resulting fraction.

Example 8.4

Evaluate a2+2ab+b23ab2a2+2ab+b23ab2 for each value:

a=1,b=2a=1,b=2 a=−2,b=−1a=−2,b=−1 a=13,b=0a=13,b=0

Try It 8.7

Evaluate 2a3ba2+2ab+b22a3ba2+2ab+b2 for each value:

a=−1,b=2a=−1,b=2 a=0,b=−1a=0,b=−1 a=1,b=12a=1,b=12

Try It 8.8

Evaluate a2b28ab3a2b28ab3 for each value:

a=1,b=−1a=1,b=−1 a=12,b=−1a=12,b=−1 a=−2,b=1a=−2,b=1

Simplify Rational Expressions

Just like a fraction is considered simplified if there are no common factors, other than 1, in its numerator and denominator, a rational expression is simplified if it has no common factors, other than 1, in its numerator and denominator.

Simplified Rational Expression

A rational expression is considered simplified if there are no common factors in its numerator and denominator.

For example:

  • 2323 is simplified because there are no common factors of 2 and 3.
  • 2x3x2x3x is not simplified because x is a common factor of 2x and 3x.

We use the Equivalent Fractions Property to simplify numerical fractions. We restate it here as we will also use it to simplify rational expressions.

Equivalent Fractions Property

If a, b, and c are numbers where b0,c0b0,c0, then ab=a·cb·cab=a·cb·c and a·cb·c=aba·cb·c=ab.

Notice that in the Equivalent Fractions Property, the values that would make the denominators zero are specifically disallowed. We see b0,c0b0,c0 clearly stated. Every time we write a rational expression, we should make a similar statement disallowing values that would make a denominator zero. However, to let us focus on the work at hand, we will omit writing it in the examples.

Let’s start by reviewing how we simplify numerical fractions.

Example 8.5

Simplify: 3663.3663.

Try It 8.9

Simplify: 4581.4581.

Try It 8.10

Simplify: 4254.4254.

Throughout this chapter, we will assume that all numerical values that would make the denominator be zero are excluded. We will not write the restrictions for each rational expression, but keep in mind that the denominator can never be zero. So in this next example, x0x0 and y0y0.

Example 8.6

Simplify: 3xy18x2y2.3xy18x2y2.

Try It 8.11

Simplify: 4x2y12xy2.4x2y12xy2.

Try It 8.12

Simplify: 16x2y2xy2.16x2y2xy2.

To simplify rational expressions we first write the numerator and denominator in factored form. Then we remove the common factors using the Equivalent Fractions Property.

Be very careful as you remove common factors. Factors are multiplied to make a product. You can remove a factor from a product. You cannot remove a term from a sum.

This figure contains three columns. The first column, shows the numerator and denominator in factored form. The numerator has 2 times 3 times 7. The denominator has 3 times 5 times 7. The common factors, 3 and 7 are crossed out. The second row, first column shows what remains after the threes and sevens are crossed out, which is 2 over 5 in fraction form. The last row in the first column reads “We removed the common factors of 3 and 7. They are the factors of the product.” The first row of the middle column shows 3 x and then x minus 9 in parentheses in the numerator. The denominator shows 5 and then x-9 in parentheses. The common factors x minus 9 are crossed out. The second row of the middle column shows what remains after removing the common factors, which is 3 x over 5 in fraction form. The last row in the middle column reads, “We removed the common factor x minus 9. It is a factor of the product.” The first row of the third column shows x plus 5 in the numerator and x in the denominator. The second row says “No common factors” and the third row reads, “While there is an x in both the numerator and the denominator, the x in the numerator is a term of a sum”.

Note that removing the x’s from x+5xx+5x would be like cancelling the 2’s in the fraction 2+522+52!

Example 8.7

How to Simplify Rational Binomials

Simplify: 2x+85x+20.2x+85x+20.

Try It 8.13

Simplify: 3x62x4.3x62x4.

Try It 8.14

Simplify: 7y+355y+25.7y+355y+25.

We now summarize the steps you should follow to simplify rational expressions.

How To

Simplify a Rational Expression.

  1. Step 1. Factor the numerator and denominator completely.
  2. Step 2. Simplify by dividing out common factors.

Usually, we leave the simplified rational expression in factored form. This way it is easy to check that we have removed all the common factors!

We’ll use the methods we covered in Factoring to factor the polynomials in the numerators and denominators in the following examples.

Example 8.8

Simplify: x2+5x+6x2+8x+12.x2+5x+6x2+8x+12.

Try It 8.15

Simplify: x2x2x23x+2.x2x2x23x+2.

Try It 8.16

Simplify: x23x10x2+x2.x23x10x2+x2.

Example 8.9

Simplify: y2+y42y236.y2+y42y236.

Try It 8.17

Simplify: x2+x6x24.x2+x6x24.

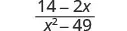
Try It 8.18

Simplify: x2+8x+7x249.x2+8x+7x249.

Example 8.10

Simplify: p32p2+2p4p27p+10.p32p2+2p4p27p+10.

Try It 8.19

Simplify: y33y2+y3y2y6.y33y2+y3y2y6.

Try It 8.20

Simplify: p3p2+2p2p2+4p5.p3p2+2p2p2+4p5.

Example 8.11

Simplify: 2n214n4n216n48.2n214n4n216n48.

Try It 8.21

Simplify: 2n210n4n216n20.2n210n4n216n20.

Try It 8.22

Simplify: 4x216x8x216x64.4x216x8x216x64.

Example 8.12

Simplify: 3b212b+126b224.3b212b+126b224.

Try It 8.23

Simplify: 2x212x+183x227.2x212x+183x227.

Try It 8.24

Simplify: 5y230y+252y250.5y230y+252y250.

Example 8.13

Simplify: m3+8m24.m3+8m24.

Try It 8.25

Simplify: p364p216.p364p216.

Try It 8.26

Simplify: x3+8x24.x3+8x24.

Simplify Rational Expressions with Opposite Factors

Now we will see how to simplify a rational expression whose numerator and denominator have opposite factors. Let’s start with a numerical fraction, say 7−77−7. We know this fraction simplifies to −1−1. We also recognize that the numerator and denominator are opposites.

In Foundations, we introduced opposite notation: the opposite of aa is aa. We remember, too, that a=−1·aa=−1·a.

We simplify the fraction aaaa, whose numerator and denominator are opposites, in this way:

aaWe could rewrite this.1·a−1·aRemove the common factors.1−1Simplify.−1aaWe could rewrite this.1·a−1·aRemove the common factors.1−1Simplify.−1


So, in the same way, we can simplify the fraction x3(x3)x3(x3):

We could rewrite this.1·(x3)−1·(x3)Remove the common factors.1−1Simplify.−1We could rewrite this.1·(x3)−1·(x3)Remove the common factors.1−1Simplify.−1


But the opposite of x3x3 could be written differently:

(x3)Distribute.x+3Rewrite.3x(x3)Distribute.x+3Rewrite.3x

This means the fraction x33xx33x simplifies to −1−1.

In general, we could write the opposite of abab as baba. So the rational expression abbaabba simplifies to −1−1.

Opposites in a Rational Expression

The opposite of abab is baba.

abba=−1ababba=−1ab

An expression and its opposite divide to −1−1.

We will use this property to simplify rational expressions that contain opposites in their numerators and denominators.

Example 8.14

Simplify: x88x.x88x.

Try It 8.27

Simplify: y22y.y22y.

Try It 8.28

Simplify: n99n.n99n.

Remember, the first step in simplifying a rational expression is to factor the numerator and denominator completely.

Example 8.15

Simplify: 142xx249.142xx249.

Try It 8.29

Simplify: 102yy225.102yy225.

Try It 8.30

Simplify: 3y2781y2.3y2781y2.

Example 8.16

Simplify: x24x3264x2.x24x3264x2.

Try It 8.31

Simplify: x24x525x2.x24x525x2.

Try It 8.32

Simplify: x2+x21x2.x2+x21x2.

Section 8.1 Exercises

Practice Makes Perfect

In the following exercises, determine the values for which the rational expression is undefined.

1.

2xz2xz 4p16p54p16p5 n3n2+2n8n3n2+2n8

2.


10m11n10m11n 6y+134y96y+134y9 b8b236b8b236

3.


4x2y3y4x2y3y 3x22x+13x22x+1 u1u23u28u1u23u28

4.


5pq29q5pq29q 7a43a+57a43a+5 1x241x24

Evaluate Rational Expressions

In the following exercises, evaluate the rational expression for the given values.

5.

2 x x 1 2 x x 1

x=0x=0 x=2x=2 x=−1x=−1

6.

4 y 1 5 y 3 4 y 1 5 y 3

y=0y=0 y=2y=2 y=−1y=−1

7.

2 p + 3 p 2 + 1 2 p + 3 p 2 + 1

p=0p=0 p=1p=1 p=−2p=−2

8.

x + 3 2 3 x x + 3 2 3 x

x=0x=0 x=1x=1 x=−2x=−2

9.

y 2 + 5 y + 6 y 2 1 y 2 + 5 y + 6 y 2 1

y=0y=0 y=2y=2 y=−2y=−2

10.

z 2 + 3 z 10 z 2 1 z 2 + 3 z 10 z 2 1

z=0z=0 z=2z=2 z=−2z=−2

11.

a 2 4 a 2 + 5 a + 4 a 2 4 a 2 + 5 a + 4

a=0a=0 a=1a=1 a=−2a=−2

12.

b 2 + 2 b 2 3 b 4 b 2 + 2 b 2 3 b 4

b=0b=0 b=2b=2 b=−2b=−2

13.

x 2 + 3 x y + 2 y 2 2 x 3 y x 2 + 3 x y + 2 y 2 2 x 3 y

  1. x=1,y=−1x=1,y=−1
  2. x=2,y=1x=2,y=1
  3. x=−1,y=−2x=−1,y=−2
14.

c 2 + c d 2 d 2 c d 3 c 2 + c d 2 d 2 c d 3

  1. c=2,d=−1c=2,d=−1
  2. c=1,d=−1c=1,d=−1
  3. c=−1,d=2c=−1,d=2
15.

m 2 4 n 2 5 m n 3 m 2 4 n 2 5 m n 3

  1. m=2,n=1m=2,n=1
  2. m=−1,n=−1m=−1,n=−1
  3. m=3,n=2m=3,n=2
16.

2 s 2 t s 2 9 t 2 2 s 2 t s 2 9 t 2

  1. s=4,t=1s=4,t=1
  2. s=−1,t=−1s=−1,t=−1
  3. s=0,t=2s=0,t=2

Simplify Rational Expressions

In the following exercises, simplify.

17.

4 52 4 52

18.

44 55 44 55

19.

56 63 56 63

20.

65 104 65 104

21.

6 a b 2 12 a 2 b 6 a b 2 12 a 2 b

22.

15 x y 3 x 3 y 3 15 x y 3 x 3 y 3

23.

8 m 3 n 12 m n 2 8 m 3 n 12 m n 2

24.

36 v 3 w 2 27 v w 3 36 v 3 w 2 27 v w 3

25.

3 a + 6 4 a + 8 3 a + 6 4 a + 8

26.

5 b + 5 6 b + 6 5 b + 5 6 b + 6

27.

3 c 9 5 c 15 3 c 9 5 c 15

28.

4 d + 8 9 d + 18 4 d + 8 9 d + 18

29.

7 m + 63 5 m + 45 7 m + 63 5 m + 45

30.

8 n 96 3 n 36 8 n 96 3 n 36

31.

12 p 240 5 p 100 12 p 240 5 p 100

32.

6 q + 210 5 q + 175 6 q + 210 5 q + 175

33.

a 2 a 12 a 2 8 a + 16 a 2 a 12 a 2 8 a + 16

34.

x 2 + 4 x 5 x 2 2 x + 1 x 2 + 4 x 5 x 2 2 x + 1

35.

y 2 + 3 y 4 y 2 6 y + 5 y 2 + 3 y 4 y 2 6 y + 5

36.

v 2 + 8 v + 15 v 2 v 12 v 2 + 8 v + 15 v 2 v 12

37.

x 2 25 x 2 + 2 x 15 x 2 25 x 2 + 2 x 15

38.

a 2 4 a 2 + 6 a 16 a 2 4 a 2 + 6 a 16

39.

y 2 2 y 3 y 2 9 y 2 2 y 3 y 2 9

40.

b 2 + 9 b + 18 b 2 36 b 2 + 9 b + 18 b 2 36

41.

y 3 + y 2 + y + 1 y 2 + 2 y + 1 y 3 + y 2 + y + 1 y 2 + 2 y + 1

42.

p 3 + 3 p 2 + 4 p + 12 p 2 + p 6 p 3 + 3 p 2 + 4 p + 12 p 2 + p 6

43.

x 3 2 x 2 25 x + 50 x 2 25 x 3 2 x 2 25 x + 50 x 2 25

44.

q 3 + 3 q 2 4 q 12 q 2 4 q 3 + 3 q 2 4 q 12 q 2 4

45.

3 a 2 + 15 a 6 a 2 + 6 a 36 3 a 2 + 15 a 6 a 2 + 6 a 36

46.

8 b 2 32 b 2 b 2 6 b 80 8 b 2 32 b 2 b 2 6 b 80

47.

−5 c 2 10 c −10 c 2 + 30 c + 100 −5 c 2 10 c −10 c 2 + 30 c + 100

48.

4 d 2 24 d 2 d 2 4 d 48 4 d 2 24 d 2 d 2 4 d 48

49.

3 m 2 + 30 m + 75 4 m 2 100 3 m 2 + 30 m + 75 4 m 2 100

50.

5 n 2 + 30 n + 45 2 n 2 18 5 n 2 + 30 n + 45 2 n 2 18

51.

5 r 2 + 30 r 35 r 2 49 5 r 2 + 30 r 35 r 2 49

52.

3 s 2 + 30 s + 72 3 s 2 48 3 s 2 + 30 s + 72 3 s 2 48

53.

t 3 27 t 2 9 t 3 27 t 2 9

54.

v 3 1 v 2 1 v 3 1 v 2 1

55.

w 3 + 216 w 2 36 w 3 + 216 w 2 36

56.

v 3 + 125 v 2 25 v 3 + 125 v 2 25

Simplify Rational Expressions with Opposite Factors

In the following exercises, simplify each rational expression.

57.

a 5 5 a a 5 5 a

58.

b 12 12 b b 12 12 b

59.

11 c c 11 11 c c 11

60.

5 d d 5 5 d d 5

61.

12 2 x x 2 36 12 2 x x 2 36

62.

20 5 y y 2 16 20 5 y y 2 16

63.

4 v 32 64 v 2 4 v 32 64 v 2

64.

7 w 21 9 w 2 7 w 21 9 w 2

65.

y 2 11 y + 24 9 y 2 y 2 11 y + 24 9 y 2

66.

z 2 9 z + 20 16 z 2 z 2 9 z + 20 16 z 2

67.

a 2 5 a 36 81 a 2 a 2 5 a 36 81 a 2

68.

b 2 + b 42 36 b 2 b 2 + b 42 36 b 2

Everyday Math

69.

Tax Rates For the tax year 2015, the amount of tax owed by a single person earning between $37,450 and $90,750, can be found by evaluating the formula 0.25x4206.25,0.25x4206.25, where x is income. The average tax rate for this income can be found by evaluating the formula 0.25x4206.25x.0.25x4206.25x. What would be the average tax rate for a single person earning $50,000?

70.

Work The length of time it takes for two people for perform the same task if they work together can be found by evaluating the formula xyx+y.xyx+y. If Tom can paint the den in x=x= 45 minutes and his brother Bobby can paint it in y=y= 60 minutes, how many minutes will it take them if they work together?

Writing Exercises

71.

Explain how you find the values of x for which the rational expression x2x20x24x2x20x24 is undefined.

72.

Explain all the steps you take to simplify the rational expression p2+4p219p2.p2+4p219p2.

Self Check

After completing the exercises, use this checklist to evaluate your mastery of the objectives of this section.

This figure shows a table with four columns and five rows. The first row is a header row and each column is labeled. The first column header is labeled “I can…”, the second is labeled “Confidently”, the third is labeled “With some help”, and the fourth is labeled “No—I don’t get it!” In the first column under “I can”, the cells read “determine the values for which a rational expression is undefined,” “evaluate rational expressions,” “simplify rational expressions,” and “simplify rational expressions with opposite factors.” The rest of the cells are blank.

If most of your checks were:

…confidently. Congratulations! You have achieved your goals in this section! Reflect on the study skills you used so that you can continue to use them. What did you do to become confident of your ability to do these things? Be specific!

…with some help. This must be addressed quickly as topics you do not master become potholes in your road to success. Math is sequential - every topic builds upon previous work. It is important to make sure you have a strong foundation before you move on. Whom can you ask for help? Your fellow classmates and instructor are good resources. Is there a place on campus where math tutors are available? Can your study skills be improved?

…no - I don’t get it! This is critical and you must not ignore it. You need to get help immediately or you will quickly be overwhelmed. See your instructor as soon as possible to discuss your situation. Together you can come up with a plan to get you the help you need.

Citation/Attribution

This book may not be used in the training of large language models or otherwise be ingested into large language models or generative AI offerings without OpenStax's permission.

Want to cite, share, or modify this book? This book uses the Creative Commons Attribution License and you must attribute OpenStax.

Attribution information
  • If you are redistributing all or part of this book in a print format, then you must include on every physical page the following attribution:

    Access for free at https://openstax.org/books/elementary-algebra-2e/pages/1-introduction

  • If you are redistributing all or part of this book in a digital format, then you must include on every digital page view the following attribution:

    Access for free at https://openstax.org/books/elementary-algebra-2e/pages/1-introduction

Citation information

© Jul 8, 2025 OpenStax. Textbook content produced by OpenStax is licensed under a Creative Commons Attribution License . The OpenStax name, OpenStax logo, OpenStax book covers, OpenStax CNX name, and OpenStax CNX logo are not subject to the Creative Commons license and may not be reproduced without the prior and express written consent of Rice University.