10.4 Solve Applications Modeled by Quadratic Equations
Learning Objectives
By the end of this section, you will be able to:
- Solve applications modeled by Quadratic Equations
Be Prepared 10.10
Before you get started, take this readiness quiz.
The sum of two consecutive odd numbers is . Find the numbers.
If you missed this problem, review Example 3.10.
Be Prepared 10.11
The area of triangular mural is 64 square feet. The base is 16 feet. Find the height.
If you missed this problem, review Example 3.36.
Be Prepared 10.12
Find the length of the hypotenuse of a right triangle with legs 5 inches and 12 inches.
If you missed this problem, review Example 3.39.
Solve Applications of the Quadratic Formula
We solved some applications that are modeled by quadratic equations earlier, when the only method we had to solve them was factoring. Now that we have more methods to solve quadratic equations, we will take another look at applications. To get us started, we will copy our usual Problem Solving Strategy here so we can follow the steps.
How To
Use the problem solving strategy.
- Step 1. Read the problem. Make sure all the words and ideas are understood.
- Step 2. Identify what we are looking for.
- Step 3. Name what we are looking for. Choose a variable to represent that quantity.
- Step 4. Translate into an equation. It may be helpful to restate the problem in one sentence with all the important information. Then, translate the English sentence into an algebra equation.
- Step 5. Solve the equation using good algebra techniques.
- Step 6. Check the answer in the problem and make sure it makes sense.
- Step 7. Answer the question with a complete sentence.
We have solved number applications that involved consecutive even integers and consecutive odd integers by modeling the situation with linear equations. Remember, we noticed each even integer is 2 more than the number preceding it. If we call the first one n, then the next one is . The next one would be or . This is also true when we use odd integers. One set of even integers and one set of odd integers are shown below.
Some applications of consecutive odd integers or consecutive even integers are modeled by quadratic equations. The notation above will be helpful as you name the variables.
Example 10.38
The product of two consecutive odd integers is 195. Find the integers.
Solution
| Step 1. Read the problem. | ||
| Step 2. Identify what we are looking for. | We are looking for two consecutive odd integers. | |
| Step 3. Name what we are looking for. | Let the first odd integer. the next odd integer |
|
| Step 4. Translate into an equation. State the problem in one sentence. | "The product of two consecutive odd integers is 195." The product of the first odd integer and the second odd integer is 195. | |
| Translate into an equation | ||
| Step 5. Solve the equation. Distribute. | ||
| Subtract 195 to get the equation in standard form. | ||
| Identify the a, b, c values. | ||
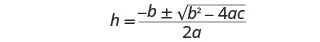
| Write the quadratic equation. | ||
| Then substitute in the values of a, b, c.. | ||
| Simplify. | ||
| Simplify the radical. | ||
| Rewrite to show two solutions. | ||
| Solve each equation. | ||
| There are two values of n that are solutions. This will give us two pairs of consecutive odd integers for our solution. | First odd integer next odd integer | |
| First odd integer next odd integer | ||
| Step 6. Check the answer. Do these pairs work? Are they consecutive odd integers? Is their product 195? |
||
| Step 7. Answer the question. | The two consecutive odd integers whose product is 195 are 13, 15, and −13, −15. | |
Try It 10.75
The product of two consecutive odd integers is 99. Find the integers.
Try It 10.76
The product of two consecutive even integers is 168. Find the integers.
We will use the formula for the area of a triangle to solve the next example.
Area of a Triangle
For a triangle with base and height , the area, , is given by the formula .
Recall that, when we solve geometry applications, it is helpful to draw the figure.
Example 10.39
An architect is designing the entryway of a restaurant. She wants to put a triangular window above the doorway. Due to energy restrictions, the window can have an area of 120 square feet and the architect wants the width to be 4 feet more than twice the height. Find the height and width of the window.
Solution
| Step 1. Read the problem. Draw a picture. |
||
| Step 2. Identify what we are looking for. | We are looking for the height and width. | |
| Step 3. Name what we are looking for. | Let the height of the triangle. the width of the triangle |
|
| Step 4. Translate. | We know the area. Write the formula for the area of a triangle. |
|
| Step 5. Solve the equation. Substitute in the values. | ||
| Distribute. | ||
| This is a quadratic equation, rewrite it in standard form. | ||
| Solve the equation using the Quadratic Formula. Identify the a, b, c values. | ||
| Write the quadratic equation. | ||
| Then substitute in the values of a, b, c.. | ||
| Simplify. | ||
| Simplify the radical. | ||
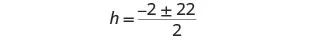
| Rewrite to show two solutions. | ||
| Simplify. | ||
| Since h is the height of a window, a value of does not make sense. | ||
| The height of the triangle: The width of the triangle: | ||
| Step 6. Check the answer. Does a triangle with a height 10 and width 24 have area 120? Yes. | ||
| Step 7. Answer the question. | The height of the triangular window is 10 feet and the width is 24 feet. | |
Notice that the solutions were integers. That tells us that we could have solved the equation by factoring.
When we wrote the equation in standard form, , we could have factored it. If we did, we would have solved the equation .
Try It 10.77
Find the dimensions of a triangle whose width is four more than six times its height and has an area of 208 square inches.
Try It 10.78
If a triangle that has an area of 110 square feet has a height that is two feet less than twice the width, what are its dimensions?
In the two preceding examples, the number in the radical in the Quadratic Formula was a perfect square and so the solutions were rational numbers. If we get an irrational number as a solution to an application problem, we will use a calculator to get an approximate value.
The Pythagorean Theorem gives the relation between the legs and hypotenuse of a right triangle. We will use the Pythagorean Theorem to solve the next example.
Pythagorean Theorem
In any right triangle, where and are the lengths of the legs and is the length of the hypotenuse,
Example 10.40
Rene is setting up a holiday light display. He wants to make a ‘tree’ in the shape of two right triangles, as shown below, and has two 10-foot strings of lights to use for the sides. He will attach the lights to the top of a pole and to two stakes on the ground. He wants the height of the pole to be the same as the distance from the base of the pole to each stake. How tall should the pole be?
Solution
| Step 1. Read the problem. Draw a picture. | ||
| Step 2. Identify what we are looking for. | We are looking for the height of the pole. | |
| Step 3. Name what we are looking for. | The distance from the base of the pole to either stake is the same as the height of the pole. Let the height of the pole. the distance from the pole to stake |
|
| Each side is a right triangle. We draw a picture of one of them. | ||
| Step 4. Translate into an equation. We can use the Pythagorean Theorem to solve for x. | ||
| Write the Pythagorean Theorem. | ||
| Step 5. Solve the equation. Substitute. | ||
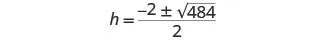
| Simplify. | ||
| Divide by 2 to isolate the variable. | ||
| Simplify. | ||
| Use the Square Root Property. | ||
| Simplify the radical. | ||
| Rewrite to show two solutions. | ||
| Approximate this number to the nearest tenth with a calculator. | ||
| Step 6. Check the answer. Check on your own in the Pythagorean Theorem. |
||
| Step 7. Answer the question. | The pole should be about 7.1 feet tall. | |
Try It 10.79
The sun casts a shadow from a flag pole. The height of the flag pole is three times the length of its shadow. The distance between the end of the shadow and the top of the flag pole is 20 feet. Find the length of the shadow and the length of the flag pole. Round to the nearest tenth of a foot.
Try It 10.80
The distance between opposite corners of a rectangular field is four more than the width of the field. The length of the field is twice its width. Find the distance between the opposite corners. Round to the nearest tenth.
Example 10.41
Mike wants to put 150 square feet of artificial turf in his front yard. This is the maximum area of artificial turf allowed by his homeowners association. He wants to have a rectangular area of turf with length one foot less than three times the width. Find the length and width. Round to the nearest tenth of a foot.
Solution
| Step 1. Read the problem. Draw a picture. | ||
| Step 2. Identify what we are looking for. | We are looking for the length and width. | |
| Step 3. Name what we are looking for. | Let the width of the rectangle. the length of the rectangle |
|
| Step 4. Translate into an equation. We know the area. Write the formula for the area of a rectangle. |
||
| Step 5. Solve the equation. Substitute in the values. | ||
| Distribute. | ||
| This is a quadratic equation, rewrite it in standard form. | ||
| Solve the equation using the Quadratic Formula. | ||
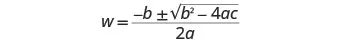
| Identify the a, b, c values. | ||
| Write the Quadratic Formula. | ||
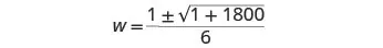
| Then substitute in the values of a, b, c. | ||
| Simplify. | ||
| Rewrite to show two solutions. | ||
| Approximate the answers using a calculator. We eliminate the negative solution for the width. |
||
| Step 6. Check the answer. Make sure that the answers make sense. |
||
| Step 7. Answer the question. | The width of the rectangle is approximately 7.2 feet and the length 20.6 feet. | |
Try It 10.81
The length of a 200 square foot rectangular vegetable garden is four feet less than twice the width. Find the length and width of the garden. Round to the nearest tenth of a foot.
Try It 10.82
A rectangular tablecloth has an area of 80 square feet. The width is 5 feet shorter than the length. What are the length and width of the tablecloth? Round to the nearest tenth of a foot.
The height of a projectile shot upwards is modeled by a quadratic equation. The initial velocity, , propels the object up until gravity causes the object to fall back down.
Projectile Motion
The height in feet, , of an object shot upwards into the air with initial velocity, , after seconds is given by the formula:
We can use the formula for projectile motion to find how many seconds it will take for a firework to reach a specific height.
Example 10.42
A firework is shot upwards with initial velocity 130 feet per second. How many seconds will it take to reach a height of 260 feet? Round to the nearest tenth of a second.
Solution
| Step 1. Read the problem. | ||
| Step 2. Identify what we are looking for. | We are looking for the number of seconds, which is time. | |
| Step 3. Name what we are looking for. | Let the number of seconds. | |
| Step 4. Translate into an equation. | Use the formula. | |
| Step 5. Solve the equation. We know the velocity is 130 feet per second. |
||
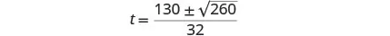
| The height is 260 feet. Substitute the values. | ||
| This is a quadratic equation, rewrite it in standard form. | ||
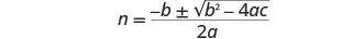
| Solve the equation using the Quadratic Formula. | ||
| Identify the a, b, c values. | ||
| Write the Quadratic Formula. | ||
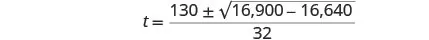
| Then substitute in the values of a, b, c. | ||
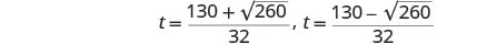
| Simplify. | ||
| Rewrite to show two solutions. | ||
| Approximate the answers with a calculator. | seconds, | |
| Step 6. Check the answer. The check is left to you. |
||
| Step 7. Answer the question. | The firework will go up and then fall back down. As the firework goes up, it will reach 260 feet after approximately 3.6 seconds. It will also pass that height on the way down at 4.6 seconds. | |
Try It 10.83
An arrow is shot from the ground into the air at an initial speed of 108 ft/sec. Use the formula to determine when the arrow will be 180 feet from the ground. Round the nearest tenth of a second.
Try It 10.84
A man throws a ball into the air with a velocity of 96 ft/sec. Use the formula to determine when the height of the ball will be 48 feet. Round to the nearest tenth of a second.
Media
Access these online resources for additional instruction and practice with solving word problems using the quadratic equation:
Section 10.4 Exercises
Practice Makes Perfect
Solve Applications of the Quadratic Formula
In the following exercises, solve by using methods of factoring, the square root principle, or the Quadratic Formula. Round your answers to the nearest tenth.
The product of two consecutive even numbers is 360. Find the numbers.
The product of two consecutive odd numbers is 1023. Find the numbers.
The product of two consecutive even numbers is 528. Find the numbers.
A triangle with area 45 square inches has a height that is two less than four times the width. Find the height and width of the triangle.
The width of a triangle is six more than twice the height. The area of the triangle is 88 square yards. Find the height and width of the triangle.
The hypotenuse of a right triangle is twice the length of one of its legs. The length of the other leg is three feet. Find the lengths of the three sides of the triangle. Round to the nearest tenth.
The hypotenuse of a right triangle is 10 cm long. One of the triangle’s legs is three times the length of the other leg. Find the lengths of the three sides of the triangle. Round to the nearest tenth.
A farmer plans to fence off sections of a rectangular corral. The diagonal distance from one corner of the corral to the opposite corner is five yards longer than the width of the corral. The length of the corral is three times the width. Find the length of the diagonal of the corral. Round to the nearest tenth.
Nautical flags are used to represent letters of the alphabet. The flag for the letter O consists of a yellow right triangle and a red right triangle which are sewn together along their hypotenuse to form a square. The adjoining side of the two triangles is three inches longer than a side of the flag. Find the length of the side of the flag.
The length of a rectangular driveway is five feet more than three times the width. The area is 350 square feet. Find the length and width of the driveway.
A rectangular lawn has area 140 square yards. Its width that is six less than twice the length. What are the length and width of the lawn?
A firework rocket is shot upward at a rate of 640 ft/sec. Use the projectile formula to determine when the height of the firework rocket will be 1200 feet.
An arrow is shot vertically upward at a rate of 220 feet per second. Use the projectile formula to determine when height of the arrow will be 400 feet.
Everyday Math
A bullet is fired straight up from a BB gun with initial velocity 1120 feet per second at an initial height of 8 feet. Use the formula to determine how many seconds it will take for the bullet to hit the ground. (That is, when will ?)
A city planner wants to build a bridge across a lake in a park. To find the length of the bridge, he makes a right triangle with one leg and the hypotenuse on land and the bridge as the other leg. The length of the hypotenuse is 340 feet and the leg is 160 feet. Find the length of the bridge.
Writing Exercises
Make up a problem involving the product of two consecutive odd integers. Start by choosing two consecutive odd integers. ⓐ What are your integers? ⓑ What is the product of your integers? ⓒ Solve the equation , where is the product you found in part (b). ⓓ Did you get the numbers you started with?
Make up a problem involving the product of two consecutive even integers. Start by choosing two consecutive even integers. ⓐ What are your integers? ⓑ What is the product of your integers? ⓒ Solve the equation , where is the product you found in part (b). ⓓ Did you get the numbers you started with?
Self Check
ⓐ After completing the exercises, use this checklist to evaluate your mastery of the objectives of this section.
ⓑ On a scale of 1–10, how would you rate your mastery of this section in light of your responses on the checklist? How can you improve this?