Skip to ContentGo to accessibility pageKeyboard shortcuts menu
OpenStax Logo
Biology for AP® Courses

Science Practice Challenge Questions

Biology for AP® CoursesScience Practice Challenge Questions
Search for key terms or text.

75.

The capture of radiant energy through the conversion of carbon dioxide and water into carbohydrates is the engine that drives life on Earth. Ribose, C5H10O5, and hexose, C6H12O6, form stable five- and six-carbon rings.

This figure shows the structures of Ribose and glucose. Ribose is a pentagon-shaped molecule with a carbon at each corner of the pentagon, with the exception of the apex of the pentagon, which has an O atom. The carbons on ribose have the following attaching groups: the right carbon, labelled 1, has an O H and an H. The lower right carbon has an O H and an H. The lower left carbon has an O H and an H. The left carbon, labelled 5, has H O C H 2 and a H. Glucose is a hexagon-shaped molecule with a carbon at each corner of the pentagon, with the exception of the apex of the upper right corner, which has an O atom. The carbons on glucose have the following attaching groups: the right carbon, labelled 1, has an O H and an H. The lower right carbon has an O H and an H. The lower right carbon has an O H and an H. The lower right carbon has an O H and an H. The left carbon has an O H and an H The upper right carbon, labelled 6, has C H 2 O H and an H.
Figure 3.37

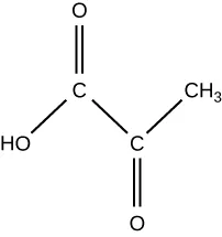
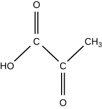
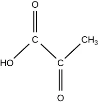
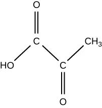
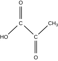
The numbering of the carbons on these rings is important in organizing our description of the role these molecules play in biological energy transfer and information storage and retrieval. Glycolysis is a sequence of chemical reactions that convert glucose to two three-carbon compounds called pyruvic acid.

The shows the structure of a molecule containing two central carbons, bonded by a single line. The left carbon is also bonded, by two lines, to an O. The left carbon is also bonded, by a single line lines, to an H O. The right carbon is also bonded, by a single line, to a C H 3. The right carbon is also bonded, by two lines, to an O.
Figure 3.38

A. Create visual representations to show how when bonds in the glucose molecules are broken between carbon number 1 and the oxygen atom and between carbons 3 and 4, two molecules of pyruvic acid are produced.

Several enzymes in the cell are involved in converting glucose to pyruvic acid. These enzymes are proteins whose amino acid sequences provide these functions. This protein structure is information that was inherited from the cell’s parent, and is stored in deoxyribonucleic acid (DNA). The “deoxyribo” component of that name is a shorthand for 2-deoxyribose.

B. Create a visual representation of 2-deoxyribose, 5-phosphate by replacing the OH at carbon 2 with a hydrogen atom and replacing the OH at carbon 5 with a hydrogen phosphate ion, HPO3-2, whose structure is shown in problem AP3.2. Use your representation to show that both phosphorylation (the addition of a phosphate ion) at carbon 5 and removal of the hydroxide at carbon 2 produce water molecules in an aqueous solution where hydrogen ions are abundant.

DNA is a polymer formed from a chain with repeated 2-deoxyribose, 5-phosphate molecules.

C. Create a visual representation of three 2-deoxyribose, 5-phosphate molecules forming a chain in which an oxygen atom in the phosphate that is attached to the 5-carbon replaces the OH on the 3-carbon of the next ribose sugar.

76.

Cells are bounded by membranes composed of phospholipids. A phospholipid consists of a pair of fatty acids that may or may not have carbon-carbon double bonds, fused at the carboxylic acid with a three-carbon glycerol that is terminated by a phosphate, as shown in the figure below. Most cell membranes comprise two phospholipid layers with the hydrophilic phosphate ends of each molecule in the outer and inner surfaces. The hydrophobic chains of carbon atoms extend into the space between these two surfaces.

The figure shows a glycerol and phosphate molecule attached to each other with a label that reads hydrophilic head group. The phosphate molecule consists of a P in the middle with four main branches: a double line connecting to an O, a single line connecting to an O that is also connected by a single line to a R, a single line connecting to an O-, and a single line connecting to an O. The single line connected to the O is also connected by a single line to a C in the glycerol molecule.  This C is connected by two single lines to two H atoms and to another C. This second C is also connected by single lines to:  1 H, 1 C on the right side of the molecule that is connected to two Hs. The left C that connects to the right C are each connected with single lines to separate O atoms. These two O atoms are each connected to separate C atoms that are connected by a double line to an O atom. Finally, these two C atoms are also connected to two separate fatty acid chains made C atoms connected to each other by single lines. Each C is also connected to H molecules, forming four total bonds for each C. Next to the molecule is an image of the cell membrane with two layers. The top of the diagram is labelled Outside of the Cell and the bottom is labelled Inside of the cell. The very top and the bottom of the two layers contain circular structures labelled hydrophobic head. In the middle are string-like structures labelled hydrophilic tails.
Figure 3.39

The exchange of matter between the interior of the cell and the environment is mediated by this membrane with selective permeability.

A. Pose questions that identify

  • the important characteristics of this lipid bilayer structure
  • the molecules that must be acquired from the environment and eliminated from the cell
  • relationships between the structures of these molecules and the structure of the bilayer

Because the plasma cell membrane has both hydrophilic and hydrophobic properties, few types of molecules possess structures that allow them to pass between the interior of the cell and the environment through passive diffusion. The fluidity of the membrane affects passive transport, and the incorporation of other molecules in the membrane, in particular cholesterols, has a strong effect on its fluidity. Fluidity is also affected by temperature.

Measurements of the speed of movement of oxygen molecules, O2, through three types of membranes were made (Widomska et al., Biochimica et Biophysica Acta, 1,768, 2007) and compared with the speed of movement of O2 through water. These measurements were carried out at four different temperatures. One type of membrane was obtained from the cells in the eyeball of a calf (lens lipid). Synthetic membranes composed of palmitic acid with cholesterol (POPC/CHOL) and without cholesterol (POPC) were also used. The results from these experiments are shown in the table below.

Temperature (°C)
15 25 35 45
Material Speed (cm/s)
Lens lipids 15 30 65 110
POPC/CHOL 15 30 60 95
POPC 55 100 155 280
Water 45 55 65 75
Table 3.3

B. Represent these data graphically. The axes should be labeled, and different symbols should be used to plot data for each material.

C. Analyze the data by comparing transport of oxygen through the biological membrane, water, and the synthetic membranes. Consider both membrane composition and temperature in your analysis.

The plasma membrane separates the interior and the exterior of the cell. A potential to do work is established by defining regions inside and outside the cell with different concentrations of key molecules and net charge. In addition to the membrane defining the cell boundary, eukaryotic cells have internal membranes.

D. Explain how internal membranes significantly increase the functional capacity of the cells of eukaryotes relative to those of prokaryotes.

77.

Proteins are polymers whose sub-components are amino acids connected by peptide bonds. The carboxylic acid carbon, O = C – OH, of one amino acid can form a bond with the amine, NH2, of another amino acid. In the formation of this peptide bond, the amine replaces the OH to form O = C – NH2. The other product of this reaction is water, H2O.

The figure shows Asparagine and threonine molecules forming a peptide bond to become threonine-asparagine dipepetide and water. Asparagine is made up of four C atoms are arranged in a straight line.  Each C is connected to the next C by a single line.  In addition to these bonds, the first C is connected to H2N by a single line and to an O by a double line. The second C is connected the two H atoms by single lines. The third C is connected an H atom by a single line, and an N that is connected by a single line to two H atoms. The fourth C is connected to an O by double line, and an OH molecule by a single line. Threonine is made up of three C atoms bonded together by single lines. From left to right, the first C is also connected by single lines to CH3, OH, and H. The second C is connected by a single line to H and a single line to NH2. The third C is connected by a single line to OH and a double line to O. There is a circle around one of the H atoms connected to the N in the Asparagine molecule and the OH connected to the third C in the Threonine molecule. A rightward pointing row is labelled Peptide bond formation by hydrolysis. Threonine-asparagine dipeptide shows that the N in Asparagine connected to the third C in Threonine. After the Threonine-asparagine dipeptide molecule, there is a plus sign followed by a water molecule.
Figure 3.40

Amino acids can be synthesized in the laboratory from simpler molecules of ammonia (NH3), water (H2O), methane (CH4), and hydrogen (H2) if energy is provided by processes that simulate lightning strikes or volcanic eruptions (Miller, Science, 117, 1953; Johnson et al., Science, 322, 2008).

A. The synthesis of amino acids in solutions under laboratory conditions consistent with early Earth was a step toward an explanation of how life began. Pose a question that should have been asked but was not until 2014 (Parker et al., Angewandte Chemie, 53, 2014), when these solutions that had been stored in a refrigerator were analyzed.

The diversity and complexity of life begins in the variety of sequences of the 20 common amino acids.

B. Apply mathematical reasoning to explain the source of biocomplexity by calculating the possible variations in a polymer composed of just three amino acids.

Polarity in a bond between atoms occurs when electrons are distributed unequally. Polarity in a molecule also is caused by charge asymmetry. Life on Earth has evolved within a framework of water, H2O, one of the most polar molecules. The polarities of the amino acids that compose a protein determine the properties of the polymer.

The electric polarity of an amino acid in an aqueous solution depends on the pH of the solution. Here are three forms of the general structure of an amino acid.

The figure shows three successive amino acids. The amino acid on the right shows a H atom bound to a C atom bound to an N H 2 compound. The carbon atom is bound to another C atom that is bounded with two lines to an O atom and bounded to an O minus. The amino acid in the center  shows a H atom bound to a C atom bound to an N H 2 compound. The C atom is bound to another C atom that is bounded with two lines to an O atom and bounded to a O H. The amino acid on the right shows a H atom bound to a C atom bound to an N H 3 plus compound. The C atom is bound to another C atom that is bounded with two lines to an O atom and bounded to a O H molecule.
Figure 3.41

C. Qualitatively predict the relationship between solution pH and the form of the amino acid for three solutions of pH: pH < 7, pH = 7, and pH > 7.

The figure shows three molecules. The first molecule is labeled Thre o nine hyphen aspara gine and shows an H O atom  attached with a single line  to 3 successive C atoms. The first C atom is attached to a C H 3 atom and an H atom. The second C atom is attached to another C atom and attached to an H atom and a N H 2 atom. The third C atom is attached an O H 2 N atom with two lines, and an O H O atom with one line.  The O H 2 N atom is attached to a C atom with one line and the O H O atom is attached to the same C with two lines. The C atom is attached to three more successive C atoms with one line. The first C atom is attached to two H atoms with one line. The next C atom is attached to an H atom with one line and a N H 2 atom with one line. The last C atom is attached to an O atom with 2 lines and an O H atom with one line. The second molecule is labeled Serine hyphen aspara gine and the molecular structure is as follows. An H O molecule is attached with single lines to three successive C atoms. The first C atom is attached to two H atoms with single lines, the second C atom is attached to an H atom and a N H 2 atom with single lines. The third C atom is attached to an O H H 2 N atom with single lines and a O O atom with double lines. The O O atom is attached to a C molecule with double lines and the O H H 2 N atom is attached to the same C atom with a single line.  The C atom is attached to three more C atoms with single lines. The first C atom has 2 H molecules attached with single lines, the second C atom has an H atom and a N H 2 atom attached with single lines and the third C atom  is attached to an O atom with 2 lines and an O H atom with one line.  The third molecule is labeled Serine hyphen thre o nine and the molecular structure is as follows.  An H O molecule is attached with single lines to three successive C atoms. The first C atom is attached to two H atoms with single lines, the second C atom is attached to an H atom and a N H 2 atom with single lines. The third C atom is attached to an O H O molecule with two lines and an O H molecule with one line. The O H O molecule is attached to three successive C molecules. The first C molecule is attached to a C H 3 atom and an H atom with single lines, the second C atom is attached to an H atom and a N H 2 molecule with single lines and the last C molecule is attached to an O atom with double lines and an O H molecule with single line.
Figure 3.42

The properties of proteins are determined by interactions among the amino acids in the peptide-bonded chain. The protein subcomponents, especially amino R (variable) groups, can interact with very strong charge-charge forces, with attractive forces between groups of atoms with opposite polarities and with repulsive forces between groups of atoms with the same or no polarity. Attractive polar forces often arise between molecules through interactions between oxygen and hydrogen atoms or between nitrogen and hydrogen atoms.

D. Consider particular orientations of pairs of three different amino acids. Predict the relative strength of attractive interaction of all pairs; rank them and provide your reasoning.

In an amino acid, the atoms attached to the α carbon are called the R group.

A molecule is shown and the structure is as follows. An R atom is bound to a red C atom with a single line. The C atom is bound by a single line to an H atom an N atom bound by 2 single lines to individual H atoms and another C atom. The C atom is attached to an O atom with double lines and an O H atom with a single lines. There is an arrow from the center red C atom to an alpha carbon label.
Figure 3.43

Interactions between R groups of a polypeptide give three-dimensional structure to the one-dimensional, linear sequence of amino acids in a polypeptide.

E. Construct an explanation for the effect of R-group interactions on the properties of a polymer with drawings showing molecular orientations with stronger and weaker polar forces between R groups on asparagine and threonine and between asparagine and alanine.

Three molecules are shown. The first molecule is labeled Aspara gine and shows an H 2 N molecule connected to a C atom with a single line and an O atom attached to the same C atom with a double line. The C atom is connected to three successive C atoms. The first C atom is attached to 2 H atoms with single lines, the second C atom is attached to an H atom with single line and an N atom with single line attached to 2 H atoms with single lines. The last C atom is attached to an O atom with double lines and an O H atom with single line. The second molecule is labeled Ala nine and shows a C H 3 molecule bound by a single line to a C molecule. The C molecule is bound to an H molecule with a single line, a C molecule bound with a double line to an O atom and an O H molecule bound by a single line. The first C atom is bound by a single  line to an N atom with single line attached to 2 H atoms with single lines.
Figure 3.44
78.

The nucleobase part of deoxyribonucleic acid encodes information in each component in the sequence making up the polymer. There are five nucleobases that are commonly represented by only a single letter: A (adenine), C (cytosine), G (guanine), T (thymine), and U (uracil). These molecules form a bond with the 1-carbon of deoxyribose. In this problem, we need to look at the molecules in slightly more detail so that you can development the ability to explain why DNA, and sometimes RNA, is the primary source of heritable information.

Erwin Chargaff and his team isolated nucleobases from salmon sperm and determined the fraction of each (Chargaff et al., Journal of Biological Chemistry, 192, 1951). Experiments in which the fraction of all four nucleobases was determined are shown. Also shown are averages as two standard deviations and the sum of total fractions for each experiment. Precision is calculated with each average.

Shown below are the chemical structures of these four nucleobases. In these structures, the nitrogen that attaches to the 2-deoxyribose, 5-phosphate polymer is indicated as N*. The partial charges of particular atoms are indicated with δ+ and δ-.

Five molecules are shown. The first one is labeled Adenine and begins with a H C double lines N single line C single line C single line N H 2 double lines N single line C H double line N single line C single line N H asterisk single line beginning H C. The second molecule is labeled Guanine and begins with H C double line N single line N single line C double line O single line N H single line C single line N H 2 double line N single line C single line N H single line H C. The third molecule is labeled Thymine and begins with O double line C single line H N single line C double line O single line C single line C H 3 double line C H single line N H. The fourth molecule is labeled Cytosine and begins with O double line C single line N double line C single line N H 2 single line C H double line C H single line N H single line C. The fifth molecule is labeled Uracil and begins with O double line C single line H N single line C double line O single line C H double line C H single line N H single line C.
Figure 3.45

A. Analyze Chargaff’s data in terms of the partial charges on these molecules to show how molecular interactions affect the function of these molecules in the storage and retrieval of biological information.

.
Figure 3.46

The interactions between nucleobase molecules are strong enough to produce the association of pairs observed in Chargaff’s data. However, these pairs are bonded by much weaker hydrogen bonds, chemical bonds within the molecules.

Demonstrating an understanding of the replication of DNA requires the ability to explain how the two polymer strands of the double helix interact and grow. To retrieve information from DNA, the strands must be separated. The proteins that perform that task interact with the polymer without forming new chemical bonds. In their paper (Watson and Crick, Nature, 3, 1953) announcing the structure of the polymer that we consider in this problem, Watson and Crick stated, “It has not escaped our notice that the specific pairing we have postulated immediately suggests a possible copying mechanism for the genetic material.”

Eschenmoser and Lowenthal (Chemical Society Reviews, 21, 1992) asked why the 5-carbon sugar ribose is used in DNA when the 6-carbon sugar glucose is so common in biological systems. To answer the question, they synthesized polymeric chains with this alternative form of sugar. They discovered that the strength of the interaction between pairs of nucleobases increased in the new material. Paired strands of hexose-based polymers were more stable.

The AP Biology Curriculum Framework (College Board, 2012) states, “The double-stranded structure of DNA provides a simple and elegant solution for the transmission of heritable information to the next generation; by using each strand as a template, existing information can be preserved and duplicated with high fidelity within the replication process. However, the process of replication is imperfect….”

B. Explain why the weaker interaction observed by Eschenmoser and Lowenthal, and the acknowledgement in the Framework that “replication is imperfect,” support the claim implied by Watson and Crick that DNA is the source of heritable information.

Citation/Attribution

This book may not be used in the training of large language models or otherwise be ingested into large language models or generative AI offerings without OpenStax's permission.

Want to cite, share, or modify this book? This book uses the Creative Commons Attribution License and you must attribute OpenStax.

Attribution information
  • If you are redistributing all or part of this book in a print format, then you must include on every physical page the following attribution:

    Access for free at https://openstax.org/books/biology-ap-courses/pages/1-introduction

  • If you are redistributing all or part of this book in a digital format, then you must include on every digital page view the following attribution:

    Access for free at https://openstax.org/books/biology-ap-courses/pages/1-introduction

Citation information

© Jul 7, 2025 OpenStax. Textbook content produced by OpenStax is licensed under a Creative Commons Attribution License . The OpenStax name, OpenStax logo, OpenStax book covers, OpenStax CNX name, and OpenStax CNX logo are not subject to the Creative Commons license and may not be reproduced without the prior and express written consent of Rice University.