Skip to ContentGo to accessibility pageKeyboard shortcuts menu
OpenStax Logo
Algebra 1

4.9.2 Interpreting Graphs Without Units

Algebra 14.9.2 Interpreting Graphs Without Units
Search for key terms or text.

4.9.2 • Interpreting Graphs Without Units

Activity

A flag ceremony is held at a Fourth of July event. The height of the flag is a function of time.

Here are some graphs that could each be a possible representation of the function.

a.

Line graph showing height increasing steadily over time, forming a straight upward diagonal line from the origin (0,0) to the point (5,6) with axes labeled height (vertical) and time (horizontal).

b.

A graph with time on the x-axis and height on the y-axis. The height remains constant at 3 units as time increases from 0 to 6.

c.

A graph showing height increasing over time. The curve starts slowly, levels off briefly, then rises steeply after time 3. The x-axis is labeled time (0 to 6), and the y-axis is labeled height (0 to 6).

d.

A graph showing a wave that oscillates with decreasing amplitude over time. The x-axis is labeled time and the y-axis is labeled height, both ranging from 0 to 6.

e.

A line graph showing height increasing over time in a step-like pattern, with both axes labeled: height (vertical, 0 to 6) and time (horizontal, 0 to 6).

f.

Line graph showing height over time; height rises steadily from 0 to 6 between time 0 and 3, then drops to 3 at time 5, and remains constant at height 3 from time 5 to 6.

After you examine the graphs, discuss with a partner how each graph could be used to describe the movement of the flag as it is raised on the flagpole.

1. Either select one of the graphs above or use the one assigned to you by your teacher. Explain what the graph tells us about the flag and its height over time.

2. Which graph seems the most realistic and likely to happen at a flag ceremony? Be prepared to explain your reasoning.

3. Which graphs seem most unrealistic or least likely to happen at a flag ceremony? Be prepared to explain your reasoning.

4. Which graphs might be possible, but seem unlikely? Be prepared to explain your reasoning.

Use the following graph to answer questions 5 – 6. Note that the graph also relates time and height.

A graph with time on the x-axis and height on the y-axis shows a vertical line at time 3, extending from height 0 to 6. Both axes are labeled, and the vertical line is the only data on the graph.

5. Can this graph represent the time and height of the flag? Be prepared to show your reasoning.

6. Is this a graph of a function? Be prepared to show your reasoning.

Are you ready for more?

Extending Your Thinking

Suppose an ant is moving at a rate of 1 millimeter per second and keeps going at that rate for a long time. If time, xx, is measured in seconds, then the distance the ant has traveled in millimeters, yy, is y=1xy=1x. If time, xx, is measured in minutes, the distance in millimeters is y=60xy=60x.

1. Explain why the equation y=(365·24·3600)xy=(365·24·3600)x gives the distance the ant has traveled, in millimeters, as a function of time, xx, in years.

2. Use the Desmos graphing tool or technology outside the course to graph the equation.

3. Does the graph look like that of a function? Why do you think it looks this way?

4. Using graphing technology, adjust the graphing window until the graph no longer looks this way. If you manage to do so, describe the graphing window that you use.

5. Do you think the last graph in the flag activity, Graph F, could represent a function relating time and height of a flag? Explain your reasoning.

Video: Interpreting Graphs Without Units

Watch the following video to learn more about how to determine if a graph is realistic when it doesn’t have units.

Self Check

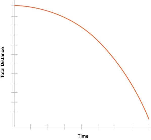
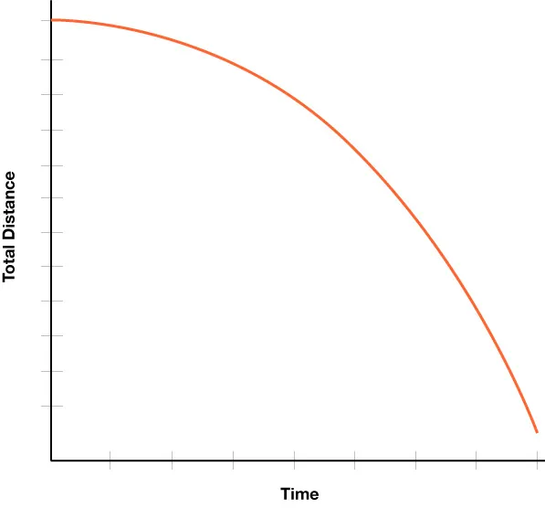
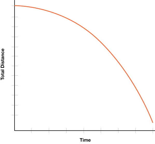
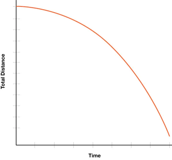
Shannon is running on a flat, rocky trail that eventually rises up a steep mountain. Which graph below represents the total distance she covers with respect to time?
  1. GRAPH THAT SHOWS TOTAL DISTANCE IN MILES AS A FUNCTION OF TIME IN MINUTES. THE GRAPH IS A CURVE THAT DECREASES FROM LEFT TO RIGHT.
  2. GRAPH THAT SHOWS TOTAL DISTANCE IN MILES AS A FUNCTION OF TIME IN MINUTES. THE GRAPH IS A STRAIGHT LINE WITH A NEGATIVE SLOPE
  3. GRAPH THAT SHOWS TOTAL DISTANCE IN MILES AS A FUNCTION OF TIME IN MINUTES. THE GRAPH IS A STRAIGHT LINE WITH A POSITIVE SLOPE.
  4. GRAPH THAT SHOWS TOTAL DISTANCE IN MILES AS A FUNCTION OF TIME IN MINUTES. THE GRAPH IS A CURVE THAT INCREASES FROM LEFT TO RIGHT.

Additional Resources

Interpreting Graphs of Functions

The graph below represents the total number of smartphones that are shipped to a retail store over the course of days.

Graph that shows number of smartphones as a function of time in days x-axis goes from 0 to 50 in increments of 10 y-axis goes from 0 to 4000 in increments of 1000 the graph increases linearly from x equals 0 to x equals 20, (section a), remains constant from x equals 20 to x equals 25 (section b), and increases linearly again but with a less steep slope (section c).

Match each part of the graph (A, B, and C) to its verbal description. Be prepared to explain the reasoning behind your choice.

Description Details
Description 1 Half of the factory workers went on strike, and not enough smartphones were produced for normal shipments.
Description 2 The production schedule was normal, and smartphones were shipped to the retail store at a constant rate.
Description 3 A defective electronic chip was found, and the factory had to shut down, so no smartphones were shipped.

Description 1 best matches part C of the graph. If half of the workers went on strike, then the number of smartphones produced would be less than normal. The rate of change for C is less than the rate of change for A.

Description 3 best matches part B of the graph. If no smartphones are shipped to the sore, the total number remains constant during that time.

Part A of the graph best matches description 2. If the production schedule is normal, the rate of change of interval A is greater than the rate of change of interval C.

Try it

Interpreting Graphs of Functions

The relationship between Jameson’s account balance and time is modeled by the graph below.

Graph that shows account balance in dollars as a function of time in days. The x-axis goes from 0 to 14 in increments of 2 and the y-axis goes from 0 to 100 in increments of 20. The graph remains constant from x equals 0 to x equals 6, increases from x equals 6 to x equals 9, and then decreases.

Write a story that models the situation represented by the graph.

Citation/Attribution

This book may not be used in the training of large language models or otherwise be ingested into large language models or generative AI offerings without OpenStax's permission.

Want to cite, share, or modify this book? This book uses the Creative Commons Attribution-NonCommercial-ShareAlike License and you must attribute OpenStax.

Attribution information
  • If you are redistributing all or part of this book in a print format, then you must include on every physical page the following attribution:

    Access for free at https://openstax.org/books/algebra-1/pages/about-this-course

  • If you are redistributing all or part of this book in a digital format, then you must include on every digital page view the following attribution:

    Access for free at https://openstax.org/books/algebra-1/pages/about-this-course

Citation information

© Aug 26, 2025 OpenStax. Textbook content produced by OpenStax is licensed under a Creative Commons Attribution-NonCommercial-ShareAlike License . The OpenStax name, OpenStax logo, OpenStax book covers, OpenStax CNX name, and OpenStax CNX logo are not subject to the Creative Commons license and may not be reproduced without the prior and express written consent of Rice University.