Skip to ContentGo to accessibility pageKeyboard shortcuts menu
OpenStax Logo
Algebra 1

4.7.2 Finding Slope From Tables, Graphs, and Points

Algebra 14.7.2 Finding Slope From Tables, Graphs, and Points
Search for key terms or text.

4.7.2 • Finding Slope From Tables, Graphs, and Points

Activity

Recall that the slope of a line is the rate of change of the linear function. On the graph, it is the steepness of the line.

1. Find the slope of the line that connects ( 0 , 0 ) ( 0 , 0 ) and ( 3 , 2 ) ( 3 , 2 )

2. Find the slope of the line that connects ( 4 , 2 ) ( 4 , 2 ) and ( 10 , 7 ) ( 10 , 7 )

3. Find the slope of the line that connects ( 1 , 2 ) ( 1 , 2 ) and ( 2 , 5 ) ( 2 , 5 )

4. Find the slope of the line that connects ( 3 , 4 ) ( 3 , 4 ) and ( 5 , 2 ) ( 5 , 2 )

5. Find the slope of the line that connects ( 8 , 3 ) ( 8 , 3 ) and ( 10 , 9 ) ( 10 , 9 )

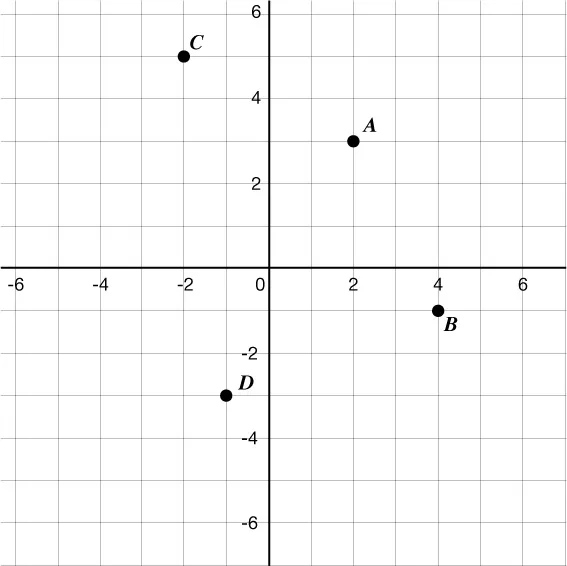
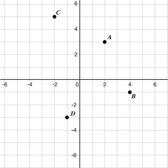
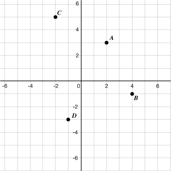
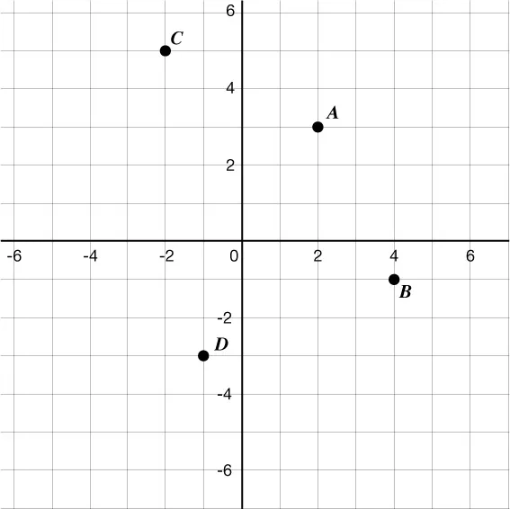
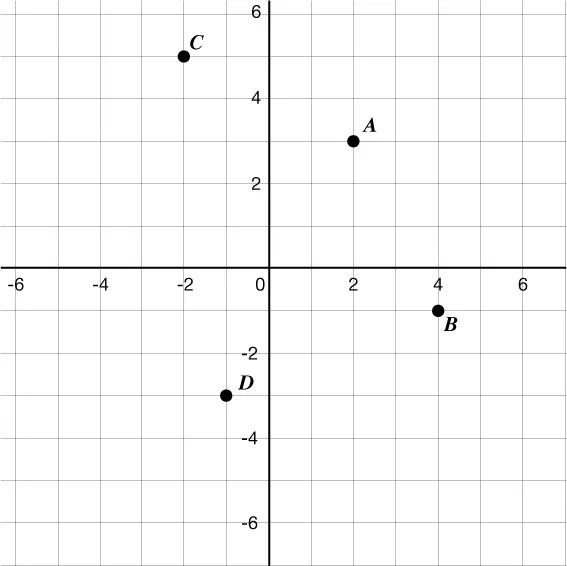
For questions 6 – 9, use the graph to find the slope of the line that goes through the two points.

A coordinate plane with four labeled points: A at (2, 3), B at (4, negative 2), C at (negative 2, 5), and D at (negative 2, negative 3), with standard grid lines and axes shown.

6. A and B

7. A and D

8. B and C

9. C and D

10. Determine the slope of the equation whose values are in the given table.

x x 1 3 5 7
y y 5 10 15 20

11. Determine the slope of the equation whose values are in the given table. Simplify your answer.

x x 2 5 8 11
y y 4 1 -3 -6

Self Check

Find the slope of the line that goes through ( 1 , 5 ) and ( 6 , 2 ) .
  1. 3 7
  2. 3 7
  3. 7 3
  4. 3 5

Additional Resources

Slope of a Line

Here’s how to find the slope of a line from its graph using m = r i s e r u n m = r i s e r u n .

Finding Slope from a Graph

Step 1 - Locate two points on the line whose coordinates are integers.

Step 2 - Starting with one point, sketch a right triangle, going from the first point to the second point.

Step 3 - Count the rise and the run on the legs of the triangle.

Step 4 - Take the ratio of rise to run to find the slope: m = r i s e r u n m = r i s e r u n .

Example 1

A graph with an orange downward-sloping line starting at (0, 5) and ending at (7.5, 0) on a grid.

Step 1 - Locate two points on the line whose coordinates are integers. ( 0 , 5 ) ( 0 , 5 ) and ( 3 , 3 ) ( 3 , 3 )

Step 2 - Starting with one point, sketch a right triangle, going from the first point to the second point.

A graph showing a downward-sloping orange line. Rise is labeled vertically from y equals 3 to y equals 6, and run is labeled horizontally from x equals 0 to x equals 3, illustrating slope calculation.

Step 3 - Count the rise and the run on the legs of the triangle.

The rise is -2.

The run is 3.

Step 4 - Take the ratio of rise to run to find the slope: m = r i s e r u n m = r i s e r u n .

m = 2 3 m = 2 3

Here’s how to find the slope of a line when given two points on the line.

Finding Slope from Two Points

Step 1 - Label the points ( x 1 , y 1 ) x 1 , y 1 ) and ( x 2 , y 2 ) x 2 , y 2 ) .

Step 2 - Substitute the values into the slope formula: m = y 2 y 1 x 2 x 1 m = y 2 y 1 x 2 x 1

Step 3 - Simplify the slope expression.

Example 2

Use the slope formula to find the slope of the line through the points ( 2 , 3 ) ( 2 , 3 ) and ( 7 , 4 ) ( 7 , 4 ) .

Step 1 - Label the points ( x 1 , y 1 ) ( x 1 , y 1 ) and ( x 2 , y 2 ) ( x 2 , y 2 ) .

( 2 , 3 ) ( 2 , 3 ) ( 7 , 4 ) ( 7 , 4 )

( x 1 , y 1 ) ( x 1 , y 1 ) ( x 2 , y 2 ) ( x 2 , y 2 )

Step 2 - Substitute into the slope formula.

m = y 2 y 1 x 2 x 1 = 4 ( 3 ) 7 ( 2 ) m = y 2 y 1 x 2 x 1 = 4 ( 3 ) 7 ( 2 )

Step 3 - Simplify

m = 4 ( 3 ) 7 ( 2 ) = 4 + 3 7 + 2 = 7 5 m = 4 ( 3 ) 7 ( 2 ) = 4 + 3 7 + 2 = 7 5

You Try: Finding Slope from a Graph or Two Points

Find the slope of the line using the graph, then confirm your answer using the slope formula.

A straight line with negative slope crosses the y-axis at 1 and the x-axis at between 1 and 2, extending from the top left to the bottom right of the coordinate grid.

Step 1 - Locate two points on the line whose coordinates are integers.

( 0 , 1 ) ( 0 , 1 ) and ( 5 , 2 ) ( 5 , 2 )

Step 2 - Starting with one point, sketch a right triangle, going from the first point to the second point.

A straight line with negative slope crosses the y-axis at 1 and the x-axis at between 1 and 2, extending from the top left to the bottom right of the coordinate grid.

Step 3 - Count the rise and the run on the legs of the triangle.

The rise is 3.

The run is -5.

Step 4 - Take the ratio of rise to run to find the slope: m = r i s e r u n m = r i s e r u n .

m = 3 5 m = 3 5

Now, using the slope formula:

Step 1 - Label the points ( x 1 , y 1 ) ( x 1 , y 1 ) and ( x 2 , y 2 ) ( x 2 , y 2 ) .

( 0 , 1 ) ( 0 , 1 ) ( 5 , 2 ) ( 5 , 2 )

( x 1 , y 1 ) ( x 1 , y 1 ) ( x 2 , y 2 ) ( x 2 , y 2 )

Step 2 - Substitute into the slope formula.

m = y 2 y 1 x 2 x 1 = 2 1 5 0 m = y 2 y 1 x 2 x 1 = 2 1 5 0

Step 3 - Simplify.

m = 2 1 5 0 = 3 5 m = 2 1 5 0 = 3 5

The slope of the line is 3 5 3 5 .

Here’s how to find the slope of a line, given a table of values.

Example 3

Find the slope of the line whose table of values is shown:

x x 3 5 7 9 11
y y 4 7 10 13 16

Step 1 - Locate two points on the line whose coordinates are integers.

( 3 , 4 ) ( 3 , 4 ) ( 5 , 7 ) ( 5 , 7 )

Step 2 - Label the points ( x 1 , y 1 ) ( x 1 , y 1 ) and ( x 2 , y 2 ) ( x 2 , y 2 ) .

( 3 , 4 ) ( 3 , 4 ) ( 5 , 7 ) ( 5 , 7 )

( x 1 , y 1 ) ( x 1 , y 1 ) ( x 2 , y 2 ) ( x 2 , y 2 )

Step 3 - Substitute into the slope formula.

m = y 2 y 1 x 2 x 1 = 7 4 5 3 m = y 2 y 1 x 2 x 1 = 7 4 5 3

Step 4 - Simplify.

m = 7 4 5 3 = 3 2 m = 7 4 5 3 = 3 2

Try it

Finding Slope from a Table

Find the slope of the line whose table of values is shown:

x x -3 -1 1 3
y y 2 4 6 8
Citation/Attribution

This book may not be used in the training of large language models or otherwise be ingested into large language models or generative AI offerings without OpenStax's permission.

Want to cite, share, or modify this book? This book uses the Creative Commons Attribution-NonCommercial-ShareAlike License and you must attribute OpenStax.

Attribution information
  • If you are redistributing all or part of this book in a print format, then you must include on every physical page the following attribution:

    Access for free at https://openstax.org/books/algebra-1/pages/about-this-course

  • If you are redistributing all or part of this book in a digital format, then you must include on every digital page view the following attribution:

    Access for free at https://openstax.org/books/algebra-1/pages/about-this-course

Citation information

© Aug 26, 2025 OpenStax. Textbook content produced by OpenStax is licensed under a Creative Commons Attribution-NonCommercial-ShareAlike License . The OpenStax name, OpenStax logo, OpenStax book covers, OpenStax CNX name, and OpenStax CNX logo are not subject to the Creative Commons license and may not be reproduced without the prior and express written consent of Rice University.