Skip to ContentGo to accessibility pageKeyboard shortcuts menu
OpenStax Logo
University Physics Volume 2

2.3 Heat Capacity and Equipartition of Energy

University Physics Volume 22.3 Heat Capacity and Equipartition of Energy
Search for key terms or text.

Learning Objectives

By the end of this section, you will be able to:

  • Solve problems involving heat transfer to and from ideal monatomic gases whose volumes are held constant
  • Solve similar problems for non-monatomic ideal gases based on the number of degrees of freedom of a molecule
  • Estimate the heat capacities of metals using a model based on degrees of freedom

In the chapter on temperature and heat, we defined the specific heat capacity with the equation Q=mcΔT,Q=mcΔT, or c=(1/m)Q/ΔTc=(1/m)Q/ΔT. However, the properties of an ideal gas depend directly on the number of moles in a sample, so here we define specific heat capacity in terms of the number of moles, not the mass. Furthermore, when talking about solids and liquids, we ignored any changes in volume and pressure with changes in temperature—a good approximation for solids and liquids, but for gases, we have to make some condition on volume or pressure changes. Here, we focus on the heat capacity with the volume held constant. We can calculate it for an ideal gas.

Heat Capacity of an Ideal Monatomic Gas at Constant Volume

We define the molar heat capacity at constant volume CVCV as

CV=1nQΔT,withVheld constant.CV=1nQΔT,withVheld constant.

This is often expressed in the form

Q=nCVΔT.Q=nCVΔT.
2.13

If the volume does not change, there is no overall displacement, so no work is done, and the only change in internal energy is due to the heat flow ΔEint=Q.ΔEint=Q. (This statement is discussed further in the next chapter.) We use the equation Eint=3nRT/2Eint=3nRT/2 to write ΔEint=3nRΔT/2ΔEint=3nRΔT/2 and substitute ΔEΔE for Q to find Q=3nRΔT/2Q=3nRΔT/2, which gives the following simple result for an ideal monatomic gas:

CV=32R.CV=32R.

It is independent of temperature, which justifies our use of finite differences instead of a derivative. This formula agrees well with experimental results.

In the next chapter we discuss the molar specific heat at constant pressure Cp,Cp, which is always greater than CV.CV.

Example 2.8

Calculating Temperature

A sample of 0.125 kg of xenon is contained in a rigid metal cylinder, big enough that the xenon can be modeled as an ideal gas, at a temperature of 20.0°C20.0°C. The cylinder is moved outside on a hot summer day. As the xenon comes into equilibrium by reaching the temperature of its surroundings, 180 J of heat are conducted to it through the cylinder walls. What is the equilibrium temperature? Ignore the expansion of the metal cylinder.

Solution

  1. Identify the knowns: We know the initial temperature T1T1 is 20.0°C20.0°C, the heat Q is 180 J, and the mass m of the xenon is 0.125 kg.
  2. Identify the unknown. We need the final temperature, so we’ll need ΔTΔT.
  3. Determine which equations are needed. Because xenon gas is monatomic, we can use Q=3nRΔT/2.Q=3nRΔT/2. Then we need the number of moles, n=m/M.n=m/M.
  4. Substitute the known values into the equations and solve for the unknowns.
    The molar mass of xenon is 131.3 g, so we obtain
    n=125g131.3g/mol=0.952mol,n=125g131.3g/mol=0.952mol,
    ΔT=2Q3nR=2(180J)3(0.952mol)(8.31J/mol·°C)=15.2°C.ΔT=2Q3nR=2(180J)3(0.952mol)(8.31J/mol·°C)=15.2°C.
    Therefore, the final temperature is 35.2°C35.2°C. The problem could equally well be solved in kelvin; as a kelvin is the same size as a degree Celsius of temperature change, you would get ΔT=15.2K.ΔT=15.2K.

Significance

The heating of an ideal or almost ideal gas at constant volume is important in car engines and many other practical systems.

Check Your Understanding 2.6

Suppose 2 moles of helium gas at 200 K are mixed with 2 moles of krypton gas at 400 K in a calorimeter. What is the final temperature?

We would like to generalize our results to ideal gases with more than one atom per molecule. In such systems, the molecules can have other forms of energy beside translational kinetic energy, such as rotational kinetic energy and vibrational kinetic and potential energies. We will see that a simple rule lets us determine the average energies present in these forms and solve problems in much the same way as we have for monatomic gases.

Degrees of Freedom

In the previous section, we found that 12mv2=32kBT12mv2=32kBT and v2=3vx2v2=3vx2, from which it follows that 12mvx2=12kBT12mvx2=12kBT. The same equation holds for vy2vy2 and for vz2vz2. Thus, we can look at our energy of 32kBT32kBT as the sum of contributions of 12kBT12kBT from each of the three dimensions of translational motion. Shifting to the gas as a whole, we see that the 3 in the formula CV=32RCV=32R also reflects those three dimensions. We define a degree of freedom as an independent possible motion of a molecule, such as each of the three dimensions of translation. Then, letting d represent the number of degrees of freedom, the molar heat capacity at constant volume of a monatomic ideal gas is CV=d2R,CV=d2R, where d=3d=3.

The branch of physics called statistical mechanics tells us, and experiment confirms, that CVCV of any ideal gas is given by this equation, regardless of the number of degrees of freedom. This fact follows from a more general result, the equipartition theorem, which holds in classical (non-quantum) thermodynamics for systems in thermal equilibrium under technical conditions that are beyond our scope. Here, we mention only that in a system, the energy is shared among the degrees of freedom by collisions.

Equipartition Theorem

The energy of a thermodynamic system in equilibrium is partitioned equally among its degrees of freedom. Accordingly, the molar heat capacity of an ideal gas is proportional to its number of degrees of freedom, d:

CV=d2R.CV=d2R.
2.14

This result is due to the Scottish physicist James Clerk Maxwell (1831−1879), whose name will appear several more times in this book.

For example, consider a diatomic ideal gas (a good model for nitrogen, N2,N2, and oxygen, O2).O2). Such a gas has more degrees of freedom than a monatomic gas. In addition to the three degrees of freedom for translation, it has two degrees of freedom for rotation perpendicular to its axis. Furthermore, the molecule can vibrate along its axis. This motion is often modeled by imagining a spring connecting the two atoms, and we know from simple harmonic motion that such motion has both kinetic and potential energy. Each of these forms of energy corresponds to a degree of freedom, giving two more.

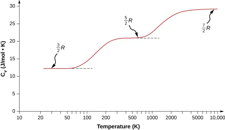
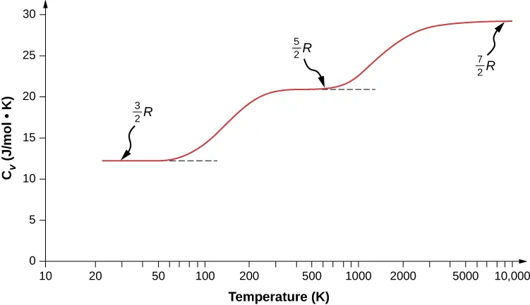
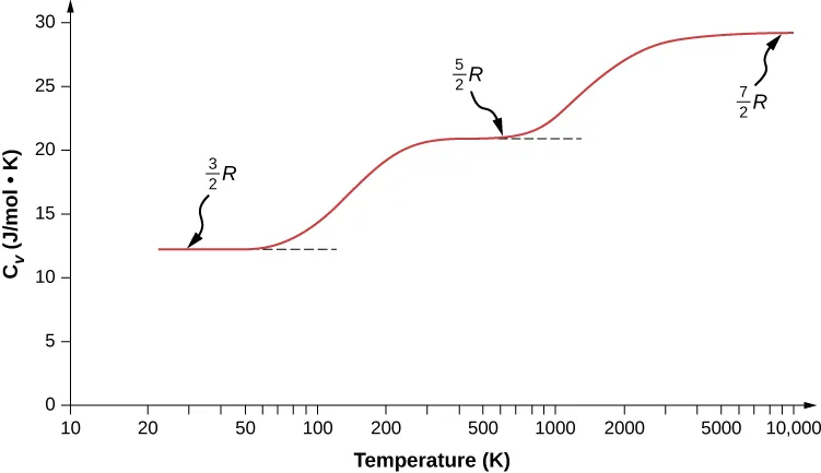
We might expect that for a diatomic gas, we should use 7 as the number of degrees of freedom; classically, if the molecules of a gas had only translational kinetic energy, collisions between molecules would soon make them rotate and vibrate. However, as explained in the previous module, quantum mechanics controls which degrees of freedom are active. The result is shown in Figure 2.13. Both rotational and vibrational energies are limited to discrete values. For temperatures below about 60 K, the energies of hydrogen molecules are too low for a collision to bring the rotational state or vibrational state of a molecule from the lowest energy to the second lowest, so the only form of energy is translational kinetic energy, and d=3d=3 or CV=3R/2CV=3R/2 as in a monatomic gas. Above that temperature, the two rotational degrees of freedom begin to contribute, that is, some molecules are excited to the rotational state with the second-lowest energy. (This temperature is much lower than that where rotations of monatomic gases contribute, because diatomic molecules have much higher rotational inertias and hence much lower rotational energies.) From about room temperature (a bit less than 300 K) to about 600 K, the rotational degrees of freedom are fully active, but the vibrational ones are not, and d=5d=5. Then, finally, above about 3000 K, the vibrational degrees of freedom are fully active, and d=7d=7 as the classical theory predicted.

A graph of the molar heat capacity C V in joules per mole Kelvin as a function of temperature in Kelvin. The horizontal scale is logarithmic and extends from 10 to 10,000. The vertical scale is linear and extends from 10 to 30. The graph shows three steps. The first extends from about 20 K to 50 K at a constant value of about 12.5 Joules per Mole Kelvin. This step is labeled three halves R. The graph rises gradually to another step that extends from about 300 K to about 500 K at a constant value of about 20 Joules per Mole Kelvin. This step is labeled five halves R. The graph again rises gradually and flattens to start a third step at around 3000 K at a constant value of just under 30 Joules per Mole Kelvin. This step is labeled seven halves R.
Figure 2.13 The molar heat capacity of hydrogen as a function of temperature (on a logarithmic scale). The three “steps” or “plateaus” show different numbers of degrees of freedom that the typical energies of molecules must achieve to activate. Translational kinetic energy corresponds to three degrees of freedom, rotational to another two, and vibrational to yet another two.

Polyatomic molecules typically have one additional rotational degree of freedom at room temperature, since they have comparable moments of inertia around any axis. Thus, at room temperature, they have d=6.d=6. At high temperatures, the number of degrees of freedom increases by 2 for each vibrational mode. We usually assume that gases have the theoretical room-temperature values of d.

As shown in Table 2.3, the results agree well with experiments for many monatomic and diatomic gases, but the agreement for triatomic gases is only fair. The differences arise from interactions that we have ignored between and within molecules.

Gas CV/RCV/R at 25°C25°C and 1 atm
Ar 1.50
He 1.50
Ne 1.50
CO 2.50
H2H2 2.47
N2N2 2.50
O2O2 2.53
F2F2 2.8
CO2CO2 3.48
H2SH2S 3.13
N2ON2O 3.66
Table 2.3 C V / R C V / R for Various Monatomic, Diatomic, and Triatomic Gases

What about internal energy for diatomic and polyatomic gases? For such gases, CVCV is a function of temperature (Figure 2.13), so we do not have the kind of simple result we have for monatomic ideal gases.

Molar Heat Capacity of Solid Elements

The idea of equipartition leads to an estimate of the molar heat capacity of solid elements at ordinary temperatures. We can model the atoms of a solid as attached to neighboring atoms by springs (Figure 2.14).

The figure is an illustration of a model of a solid. Seven atoms, one at the center and one on either side, above, below, in front and behind it, are represented as small spheres. The center atom is connected to each of the others by a spring, labeled as ideal springs. The neighboring atoms have additional springs to connect them to their nearest neighbors, which are not included in the drawing.
Figure 2.14 In a simple model of a solid element, each atom is attached to others by six springs, two for each possible motion: x, y, and z. Each of the three motions corresponds to two degrees of freedom, one for kinetic energy and one for potential energy. Thus d=6.d=6.

Analogously to the discussion of vibration in the previous module, each atom has six degrees of freedom: one kinetic and one potential for each of the x-, y-, and z-directions. Accordingly, the molar specific heat of a metal should be 3R. This result, known as the Law of Dulong and Petit, works fairly well experimentally at room temperature. (For every element, it fails at low temperatures for quantum-mechanical reasons. Since quantum effects are particularly important for low-mass particles, the Law of Dulong and Petit already fails at room temperature for some light elements, such as beryllium and carbon. It also fails for some heavier elements for various reasons beyond what we can cover.)

Problem-Solving Strategy

Heat Capacity and Equipartition

The strategy for solving these problems is the same as the one in Phase Changes for the effects of heat transfer. The only new feature is that you should determine whether the case just presented—ideal gases at constant volume—applies to the problem. (For solid elements, looking up the specific heat capacity is generally better than estimating it from the Law of Dulong and Petit.) In the case of an ideal gas, determine the number d of degrees of freedom from the number of atoms in the gas molecule and use it to calculate CVCV (or use CVCV to solve for d).

Example 2.9

Calculating Temperature: Calorimetry with an Ideal Gas

A 300-g piece of solid gallium (a metal used in semiconductor devices) at its melting point of only 30.0°C30.0°C is in contact with 12.0 moles of air (assumed diatomic) at 95.0°C95.0°C in an insulated container. When the air reaches equilibrium with the gallium, 202 g of the gallium have melted. Based on those data, what is the heat of fusion of gallium? Assume the volume of the air does not change and there are no other heat transfers.

Strategy

We’ll use the equation Qhot+Qcold=0.Qhot+Qcold=0. As some of the gallium doesn’t melt, we know the final temperature is still the melting point. Then the only QhotQhot is the heat lost as the air cools, Qhot=nairCVΔT,Qhot=nairCVΔT, where CV=5R/2.CV=5R/2. The only QcoldQcold is the latent heat of fusion of the gallium, Qcold=mGaLf.Qcold=mGaLf. It is positive because heat flows into the gallium.

Solution

  1. Set up the equation:
    nairCVΔT+mGaLf=0.nairCVΔT+mGaLf=0.
  2. Substitute the known values and solve:
    (12.0mol)(52)(8.31Jmol·°C)(30.0°C95.0°C)+(0.202kg)Lf=0.(12.0mol)(52)(8.31Jmol·°C)(30.0°C95.0°C)+(0.202kg)Lf=0.
    We solve to find that the heat of fusion of gallium is 80.2 kJ/kg.
Citation/Attribution

This book may not be used in the training of large language models or otherwise be ingested into large language models or generative AI offerings without OpenStax's permission.

Want to cite, share, or modify this book? This book uses the Creative Commons Attribution License and you must attribute OpenStax.

Attribution information
  • If you are redistributing all or part of this book in a print format, then you must include on every physical page the following attribution:

    Access for free at https://openstax.org/books/university-physics-volume-2/pages/1-introduction

  • If you are redistributing all or part of this book in a digital format, then you must include on every digital page view the following attribution:

    Access for free at https://openstax.org/books/university-physics-volume-2/pages/1-introduction

Citation information

© Jul 8, 2025 OpenStax. Textbook content produced by OpenStax is licensed under a Creative Commons Attribution License . The OpenStax name, OpenStax logo, OpenStax book covers, OpenStax CNX name, and OpenStax CNX logo are not subject to the Creative Commons license and may not be reproduced without the prior and express written consent of Rice University.