Omitir e ir al contenidoIr a la página de accesibilidadMenú de atajos de teclado
Logo de OpenStax
Química 2ed

4.4 Rendimiento de la reacción

Química 2ed4.4 Rendimiento de la reacción
Buscar términos clave o texto.

Objetivos de aprendizaje

Al final de esta sección, podrá:

  • Explicar los conceptos de rendimiento teórico y catalizadores/reactivos limitantes.
  • Deducir el rendimiento teórico de una reacción en condiciones específicas.
  • Calcular el porcentaje de rendimiento de una reacción.

Las cantidades relativas de reactivos y productos representadas en una ecuación química balanceada suelen denominarse cantidades estequiométricas. Todos los ejercicios del módulo anterior incluían cantidades estequiométricas de reactivos. Por ejemplo, al calcular la cantidad de producto generado a partir de una determinada cantidad de reactivo, se asumió que cualquier otro reactivo necesario estaba disponible en cantidades estequiométricas (o mayores). En este módulo se consideran situaciones más realistas, en las que los reactivos no están presentes en cantidades estequiométricas.

Reactivo limitante

Consideremos otra analogía alimenticia, la preparación de sándwiches de queso a la parrilla (Figura 4.13):

1 rebanada de queso+2 rebanadas de pan1 sándwich1 rebanada de queso+2 rebanadas de pan1 sándwich

Las cantidades estequiométricas de los ingredientes del sándwich para esta receta son pan y rebanadas de queso en un cociente de 2:1. Si se dispone de 28 rebanadas de pan y 11 rebanadas de queso, se pueden preparar 11 sándwiches de acuerdo con la receta proporcionada, utilizando todo el queso proporcionado y sobrándole seis rebanadas de pan. En este escenario, el número de sándwiches preparados ha sido limitado por el número de rebanadas de queso, y las rebanadas de pan se han proporcionado en exceso.

Esta figura tiene tres filas que muestran los ingredientes necesarios para hacer un sándwich. La primera fila dice: "1 sándwich = 2 rebanadas de pan + 1 rebanada de queso". Se muestran dos rebanadas de pan y una de queso. En la segunda fila se puede leer: "Provisto de: 28 rebanadas de pan + 11 rebanadas de queso". Se muestran 28 rebanadas de pan y 11 rebanadas de queso. La tercera fila dice: "Podemos hacer: 11 sándwiches + 6 rebanadas de pan sobrantes". Se muestran 11 sándwiches con seis rebanadas de pan adicionales.
Figura 4.13 La elaboración de sándwiches puede ilustrar los conceptos de reactivos limitantes y en exceso.

Consideremos ahora este concepto con respecto a un proceso químico, la reacción del hidrógeno con el cloro para producir cloruro de hidrógeno:

H2(g)+Cl2(g)2HCl(g)H2(g)+Cl2(g)2HCl(g)

La ecuación balanceada muestra que el hidrógeno y el cloro reaccionan en un cociente estequiométrico de 1:1. Si estos reactivos se suministran en cualquier otra cantidad, uno de los reactivos se consumirá casi siempre por completo, limitando así la cantidad de producto que puede generarse. Esta sustancia es el reactivo limitante, y la otra sustancia es el exceso de reactivo. La identificación de los reactivos limitantes y en exceso de reactivo para una situación dada requiere el cálculo de las cantidades molares de cada reactivo proporcionado y su comparación con las cantidades estequiométricas representadas en la ecuación química balanceada. Por ejemplo, imagine que combina 3 moles de H2 y 2 moles de Cl2. Esto representa un cociente 3:2 (o 1,5:1) entre el hidrógeno y el cloro presentes para la reacción, que es mayor que el cociente estequiométrico de 1:1. Por lo tanto, el hidrógeno está presente en exceso y el cloro es el reactivo limitante. La reacción de todo el cloro proporcionado (2 mol) consumirá 2 mol de los 3 mol de hidrógeno proporcionados, dejando 1 mol de hidrógeno sin reaccionar.

Un enfoque alternativo para identificar el reactivo limitante consiste en comparar la cantidad de producto esperada para la reacción completa de cada reactivo. Cada cantidad de reactivo se utiliza para calcular por separado la cantidad de producto que se formaría según la estequiometría de la reacción. El reactivo que da la menor cantidad de producto es el reactivo limitante. Para el ejemplo del párrafo anterior, la reacción completa del hidrógeno produciría

mol de HCl producido=3 mol deH2×2 mol de HCl1 mol deH2 =6 mol de HClmol de HCl producido=3 mol deH2×2 mol de HCl1 mol deH2 =6 mol de HCl

La reacción completa del cloro suministrado produciría

mol de HCl producido=2 mol deCl2×2 mol de HCl1 molCl2=4 mol de HClmol de HCl producido=2 mol deCl2×2 mol de HCl1 molCl2=4 mol de HCl

El cloro se consumirá completamente cuando se hayan producido 4 moles de HCl. Dado que se proporcionó suficiente hidrógeno para producir 6 moles de HCl, habrá hidrógeno sin reaccionar una vez que la reacción se haya completado. Por lo tanto, el cloro es el reactivo limitante y el hidrógeno es el exceso de reactivo (Figura 4.14).

La figura muestra una reacción de modelos moleculares de espacio lleno. Hay una flecha de reacción que apunta a la derecha en el centro. A la izquierda de la flecha de reacción hay tres moléculas formadas por dos esferas verdes unidas entre sí. También hay cinco moléculas, cada una de ellas formada por dos esferas blancas más pequeñas, unidas entre sí. Encima de estas moléculas está la etiqueta "Antes de la reacción" y debajo de estas moléculas está la etiqueta "6 H subíndice 2 y 4 C l subíndice 2". A la derecha de la flecha de reacción, hay ocho moléculas, cada una de ellas formada por una esfera verde unida a una esfera blanca más pequeña. También hay dos moléculas formadas por dos esferas blancas unidas entre sí. Encima de estas moléculas está la etiqueta "Después de la reacción" y debajo de estas moléculas está la etiqueta "8 H C l y 2 H subíndice 2".
Figura 4.14 Cuando el H2 y el Cl2 se combinan en cantidades no estequiométricas, uno de estos reactivos limitará la cantidad de HCl que puede producirse. Esta ilustración muestra una reacción en la que el hidrógeno está presente en exceso y el cloro es el reactivo limitante.

Ejemplo 4.12

Identificación del reactivo limitante

El nitruro de silicio es una cerámica muy dura y resistente a las altas temperaturas que se utiliza como componente de los álabes de las turbinas de los motores a reacción. Se prepara según la siguiente ecuación:
3Si(s)+2N2(g)Si3N4(s).3Si(s)+2N2(g)Si3N4(s).

¿Cuál es el reactivo limitante cuando reaccionan 2,00 g de Si y 1,50 g de N2?

Solución

Calcule las cantidades molares de reactivos proporcionadas y, a continuación, compare estas cantidades con la ecuación balanceada para identificar el reactivo limitante.
mol de Si=2,00g de Si×1 mol de Si28,09g de Si=0,0712 mol de Simol de Si=2,00g de Si×1 mol de Si28,09g de Si=0,0712 mol de Si
mol deN2 =1,50g deN2×1 molN228,02gN2 =0,0535 mol deN2mol deN2 =1,50g deN2×1 molN228,02gN2 =0,0535 mol deN2

El cociente molar Si:N2 proporcionado es:

0,0712 mol de Si0,0535 mol deN2 =1,33 mol de Si1 molN20,0712 mol de Si0,0535 mol deN2 =1,33 mol de Si1 molN2

El cociente estequiométrico Si:N2 es:

3 mol de Si2 molN2 =1,5 mol de Si1 molN23 mol de Si2 molN2 =1,5 mol de Si1 molN2

La comparación de estos cocientes muestra que el Si se aporta en una cantidad inferior a la estequiométrica, por lo que es el reactivo limitante.

Alternativamente, calcule la cantidad de producto esperada para la reacción completa de cada uno de los reactivos proporcionados. Los 0,0712 moles de silicio producirían

molSi3N4producido=0,0712 mol de Si×1molSi3N43 mol de Si=0,0237 mol deSi3N4molSi3N4producido=0,0712 mol de Si×1molSi3N43 mol de Si=0,0237 mol deSi3N4

mientras que los 0,0535 moles de nitrógeno producirían

molSi3N4producido=0,0535 mol deN2×1 molSi3N42 molN2 =0,0268 mol deSi3N4molSi3N4producido=0,0535 mol deN2×1 molSi3N42 molN2 =0,0268 mol deSi3N4

Dado que el silicio da la menor cantidad de producto, es el reactivo limitante.

Compruebe sus conocimientos

¿Cuál es el reactivo limitante cuando 5,00 g de H2 y 10,0 g de O2 reaccionan y forman agua?

Respuesta:

O2

Porcentaje de rendimiento

La cantidad de producto que puede producir una reacción en condiciones específicas, calculada según la estequiometría de una ecuación química balanceada adecuada, se denomina rendimiento teórico de la reacción. En la práctica, la cantidad de producto obtenida se denomina rendimiento real y suele ser inferior al rendimiento teórico por varias razones. Algunas reacciones son intrínsecamente ineficaces, ya que van acompañadas de reacciones secundarias que generan otros productos. Otras son, por naturaleza, incompletas (considere las reacciones parciales de las bases y ácidos débiles que se discutieron anteriormente en este capítulo). Algunos productos son difíciles de recoger sin que se produzcan algunas pérdidas, por lo que una recuperación no perfecta reducirá el rendimiento real. El grado en que se alcanza el rendimiento teórico de una reacción se suele expresar como su porcentaje de rendimiento:

porcentaje de rendimiento=rendimiento realrendimiento teórico×100 %porcentaje de rendimiento=rendimiento realrendimiento teórico×100 %

Los rendimientos reales y teóricos pueden expresarse como masas o cantidades molares (o cualquier otra propiedad apropiada; por ejemplo, el volumen, si el producto es un gas). Siempre que ambos rendimientos se expresen con las mismas unidades, estas se cancelarán cuando se calcule el porcentaje de rendimiento.

Ejemplo 4.13

Cálculo del porcentaje de rendimiento

Al reaccionar 1,274 g de sulfato de cobre con un exceso de zinc metálico, se obtuvieron 0,392 g de cobre metálico según la ecuación:
CuSO4(aq)+Zn(s)Cu(s)+ZnSO4(aq)CuSO4(aq)+Zn(s)Cu(s)+ZnSO4(aq)

¿Cuál es el porcentaje de rendimiento?

Solución

La información proporcionada identifica al sulfato de cobre como el reactivo limitante, por lo que el rendimiento teórico se encuentra mediante el enfoque ilustrado en el módulo anterior, como se muestra aquí:
1,274gCuSO4×1molCuSO4159,62gCuSO4×1mol de Cu1molCuSO4×63,55g de Cu1mol de Cu=0,5072 g de Cu1,274gCuSO4×1molCuSO4159,62gCuSO4×1mol de Cu1molCuSO4×63,55g de Cu1mol de Cu=0,5072 g de Cu

Utilizando este rendimiento teórico y el valor proporcionado para el rendimiento real, se calcula que el porcentaje de rendimiento es

porcentaje de rendimiento=(rendimiento realrendimiento teórico)×100porcentaje de rendimiento=(rendimiento realrendimiento teórico)×100
porcentaje de rendimiento=(0,392 g de Cu0,5072 g de Cu)×100=77,3%porcentaje de rendimiento=(0,392 g de Cu0,5072 g de Cu)×100=77,3%

Compruebe lo aprendido

¿Cuál es el porcentaje de rendimiento de una reacción que produce 12,5 g del gas freón CF2Cl2 a partir de 32,9 g de CCl4 y un exceso de HF?
CCl4+2HFCF2Cl2+2HClCCl4+2HFCF2Cl2+2HCl

Respuesta:

48,3 %

Cómo se interconectan las ciencias

Química sostenible y economía atómica

El diseño intencionado de productos y procesos químicos que minimizan el uso de sustancias peligrosas para el medio ambiente y la generación de residuos se conoce como química sostenible. La química sostenible es un enfoque filosófico que se está aplicando a muchos ámbitos de la ciencia y la tecnología, y su práctica se resume en unas directrices conocidas como los "Doce Principios de la Química Sostenible" (consulte los detalles en este sitio web). Uno de los 12 principios está dirigido específicamente a maximizar la eficiencia de los procesos de síntesis de productos químicos. La economía atómica de un proceso es una medida de esta eficiencia, definida como el porcentaje en masa del producto final de una síntesis en relación con las masas de todos los reactivos utilizados:

economía atómica=masa del productomasa de los reactivos×100 %economía atómica=masa del productomasa de los reactivos×100 %

Aunque la definición de economía atómica parece a primera vista muy similar a la del porcentaje de rendimiento, hay que tener en cuenta que esta propiedad representa una diferencia en las eficiencias teóricas de los distintos procesos químicos. El porcentaje de rendimiento de un proceso químico determinado, por otra parte, evalúa la eficiencia de un proceso comparando el rendimiento del producto realmente obtenido con el rendimiento máximo previsto por la estequiometría.

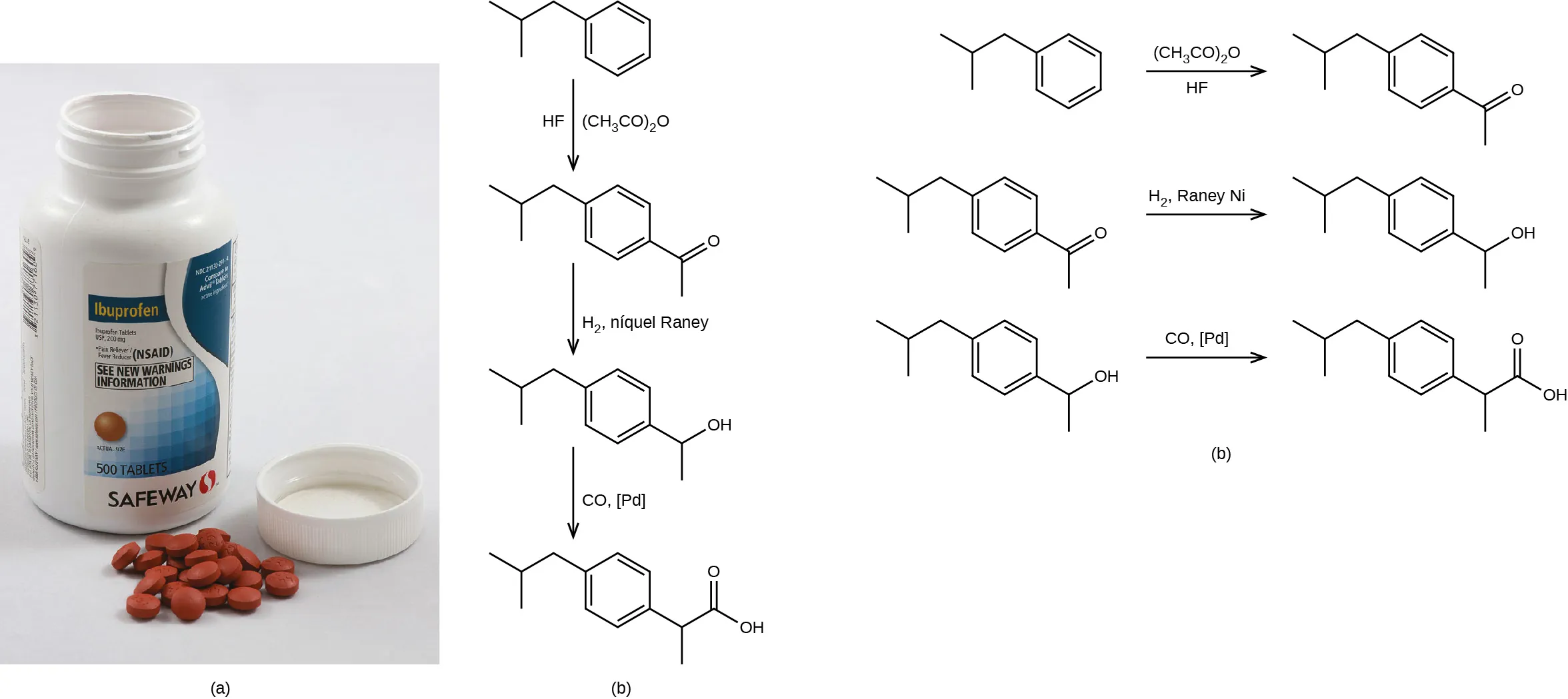
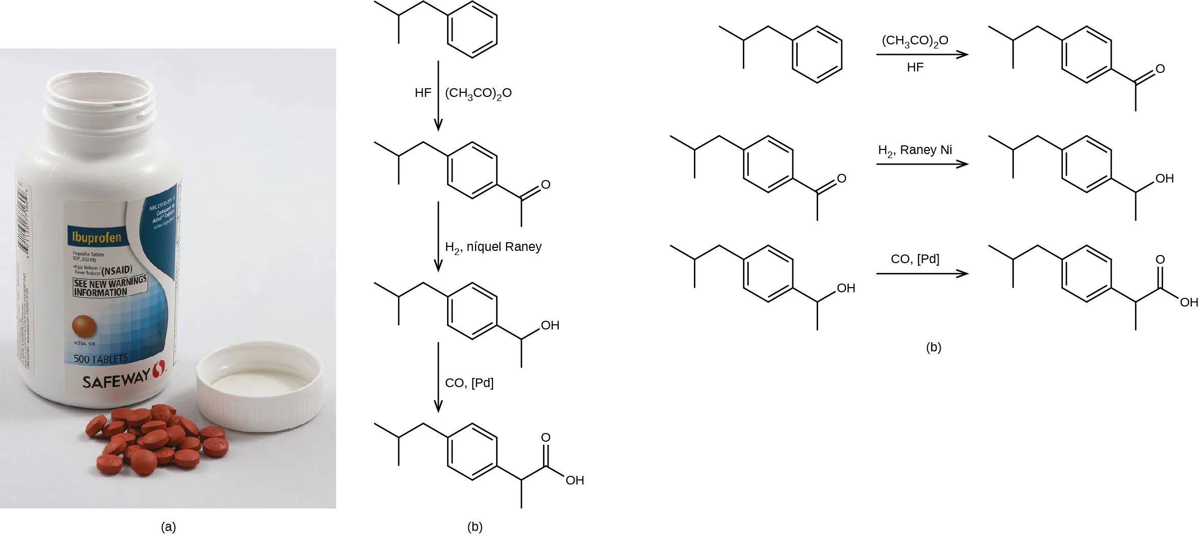
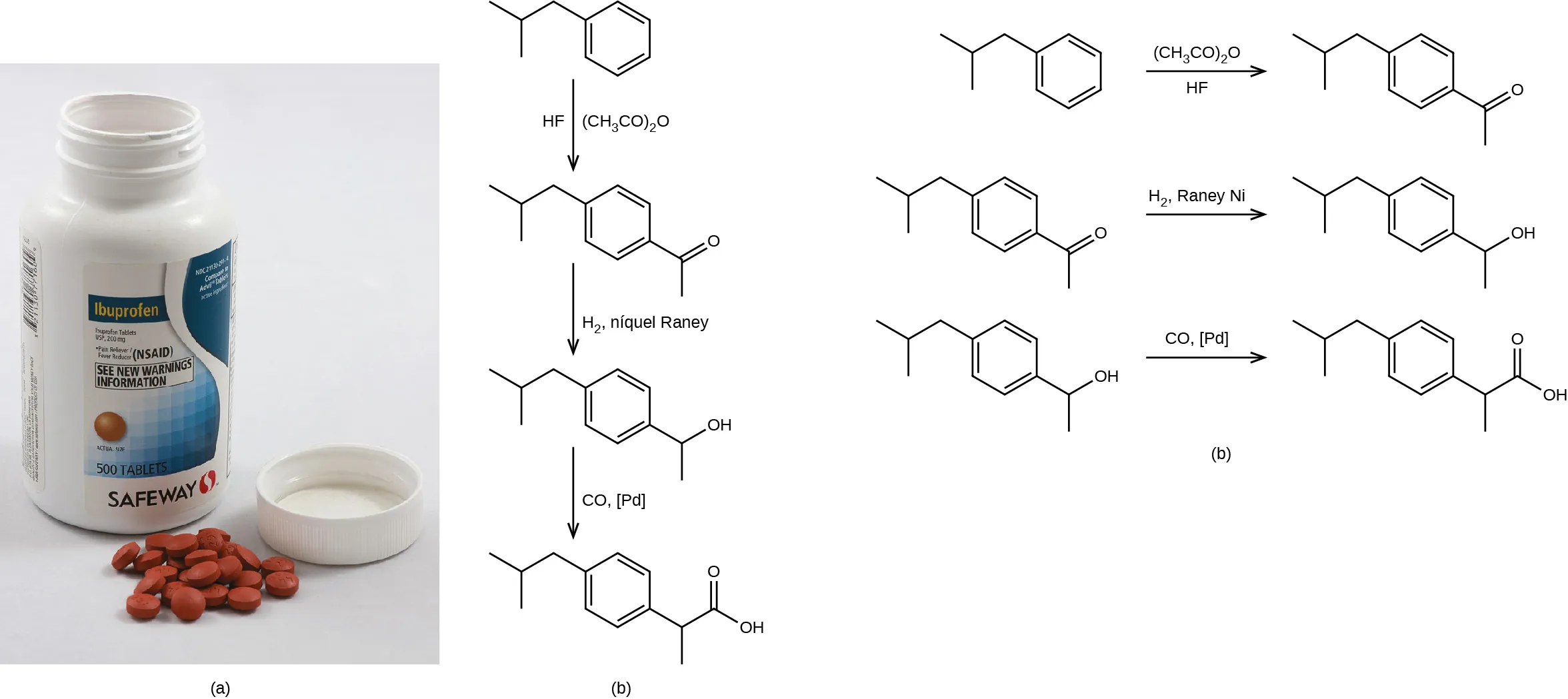
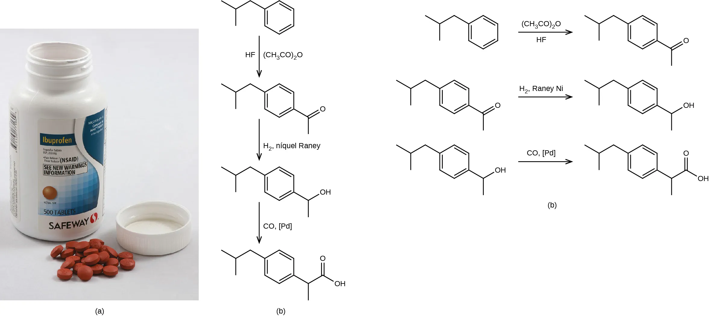
La síntesis del analgésico común de venta libre, el ibuprofeno, ilustra muy bien el éxito de un enfoque de química sostenible (Figura 4.15). Comercializado por primera vez a principios de la década de 1960, el ibuprofeno se producía mediante una síntesis de seis pasos que requería 514 g de reactivos para generar cada mol (206 g) de ibuprofeno, lo que supone una economía atómica del 40%. En la década de 1990, la empresa BHC (ahora BASF Corporation) desarrolló un proceso alternativo que solo requiere tres pasos y tiene una economía atómica de ~80%, casi el doble que el proceso original. El proceso BHC genera muchos menos residuos químicos, utiliza materiales menos peligrosos y reciclables y supone un importante ahorro de costos para el fabricante (y, posteriormente, para el consumidor). En reconocimiento al impacto medioambiental positivo del proceso BHC, la empresa recibió el premio Greener Synthetic Pathways de la Agencia de Protección Medioambiental en 1997.

Esta figura está etiquetada como "a" y "b". La parte a muestra un frasco abierto de ibuprofeno y una pequeña pila de pastillas de ibuprofeno al lado. La parte b muestra una reacción junto con estructuras lineales. La primera estructura lineal parece una línea diagonal que apunta hacia abajo y hacia la derecha, luego hacia arriba y hacia la derecha y luego hacia abajo y hacia la derecha. En este punto se conecta a un hexágono con dobles enlaces alternos. En la primera inserción hay una línea que apunta hacia abajo. Desde esta estructura, hay una flecha que apunta hacia abajo. La flecha está etiquetada, "H F", a la izquierda y "( C H subíndice 3 C O ) subíndice 2 O", a la derecha. La siguiente estructura lineal es exactamente igual que la primera, pero tiene una línea en ángulo hacia abajo y hacia la derecha desde el punto inferior derecho del hexágono. Esta línea está conectada a otra línea que apunta directamente hacia abajo. Donde estas dos líneas se encuentran, hay un doble enlace con un átomo de O. Hay otra flecha que apunta hacia abajo, y está etiquetada como "H subíndice 2, Raney N i". La siguiente estructura es muy similar a la segunda estructura anterior, excepto que en lugar del O de doble enlace, hay un grupo O H de enlace simple. Hay una flecha de reacción final que apunta hacia abajo, y está etiquetada, "C O, [ P d ]". La estructura final es similar a la tercera estructura anterior, excepto que en lugar del grupo O H, hay otra línea que apunta hacia abajo y hacia la derecha a un grupo O H. En estas dos líneas, hay un doble enlace O.
Figura 4.15 (a) El ibuprofeno es un popular analgésico de venta libre que se suele vender en forma de comprimidos de 200 mg. (b) El proceso BHC para sintetizar ibuprofeno solo requiere tres pasos y presenta una impresionante economía atómica (créditos a: modificación del trabajo de Derrick Coetzee).
Cita/Atribución

Este libro no puede ser utilizado en la formación de grandes modelos de lenguaje ni incorporado de otra manera en grandes modelos de lenguaje u ofertas de IA generativa sin el permiso de OpenStax.

¿Desea citar, compartir o modificar este libro? Este libro utiliza la Creative Commons Attribution License y debe atribuir a OpenStax.

Información de atribución
  • Si redistribuye todo o parte de este libro en formato impreso, debe incluir en cada página física la siguiente atribución:
    Acceso gratis en https://openstax.org/books/qu%C3%ADmica-2ed/pages/1-introduccion
  • Si redistribuye todo o parte de este libro en formato digital, debe incluir en cada vista de la página digital la siguiente atribución:
    Acceso gratuito en https://openstax.org/books/qu%C3%ADmica-2ed/pages/1-introduccion
Información sobre citas

© 19 may. 2022 OpenStax. El contenido de los libros de texto que produce OpenStax tiene una licencia de Creative Commons Attribution License . El nombre de OpenStax, el logotipo de OpenStax, las portadas de libros de OpenStax, el nombre de OpenStax CNX y el logotipo de OpenStax CNX no están sujetos a la licencia de Creative Commons y no se pueden reproducir sin el previo y expreso consentimiento por escrito de Rice University.