Omitir e ir al contenidoIr a la página de accesibilidadMenú de atajos de teclado
Logo de OpenStax
Química 2ed

18.5 Incidencia, preparación y compuestos de hidrógeno

Química 2ed18.5 Incidencia, preparación y compuestos de hidrógeno
Buscar términos clave o texto.

Objetivos de aprendizaje

Al final de esta sección, podrá:

  • Describir las propiedades, la preparación y los compuestos del hidrógeno

El hidrógeno es el elemento más abundante del universo. El sol y otras estrellas están compuestas en gran parte por hidrógeno. Los astrónomos estiman que el 90 % de los átomos del universo son átomos de hidrógeno. El hidrógeno es un componente de más compuestos que cualquier otro elemento. El agua es el compuesto de hidrógeno más abundante que se encuentra en la Tierra. El hidrógeno es una parte importante del petróleo, de muchos minerales, de la celulosa y el almidón, del azúcar, de las grasas, de los aceites, de los alcoholes, de los ácidos y de miles de otras sustancias.

A temperaturas normales, el hidrógeno es un gas incoloro, inodoro, insípido y no venenoso, formado por la molécula diatómica H2. El hidrógeno se compone de tres isótopos y, a diferencia de otros elementos, estos isótopos tienen nombres y símbolos químicos diferentes: protio, 1H, deuterio, 2H (o "D"), y tritio 3H (o "T"). En una muestra natural de hidrógeno, hay un átomo de deuterio por cada 7.000 átomos de H y un átomo de tritio radiactivo por cada 1018 átomos de H. Las propiedades químicas de los distintos isótopos son muy similares porque tienen estructuras electrónicas idénticas, pero difieren en algunas propiedades físicas debido a sus diferentes masas atómicas. El deuterio y el tritio elementales tienen una presión de vapor inferior a la del hidrógeno ordinario. En consecuencia, cuando el hidrógeno líquido se evapora, los isótopos más pesados se concentran en las últimas porciones a evaporarse. La electrólisis del agua pesada, D2O, produce deuterio. La mayor parte del tritio se origina en reacciones nucleares.

Preparación del hidrógeno

El hidrógeno elemental debe prepararse a partir de los compuestos rompiendo los enlaces químicos. Los métodos más comunes para preparar el hidrógeno son los siguientes.

De vapor y carbono o hidrocarburos

El agua es la fuente más barata y abundante de hidrógeno. Al pasar el vapor sobre el coque (una forma impura de carbono elemental) a 1.000 °C se produce una mezcla de monóxido de carbono e hidrógeno conocida como gas de agua:

C(s)+H2O(g)1.000°CCO(g)+H2(g)gas de aguaC(s)+H2O(g)1.000°CCO(g)+H2(g)gas de agua

El gas de agua se utiliza como combustible industrial. Es posible producir hidrógeno adicional mezclando el gas de agua con vapor en presencia de un catalizador para convertir el CO en CO2. Esta reacción es la reacción de desplazamiento de gas de agua.

También es posible preparar una mezcla de hidrógeno y monóxido de carbono haciendo pasar hidrocarburos del gas natural o del petróleo y vapor sobre un catalizador a base de níquel. El propano es un ejemplo de reactivo de hidrocarburo:

C3H8(g)+3H2O(g)catalizador900°C3CO(g)+7H2(g)C3H8(g)+3H2O(g)catalizador900°C3CO(g)+7H2(g)

Electrólisis

El hidrógeno se forma cuando la electricidad de corriente continua pasa por el agua que contiene un electrolito como el H2SO4, como se ilustra en la Figura 18.26. En el cátodo se forman burbujas de hidrógeno y en el ánodo se desprende oxígeno. La reacción neta es:

2H2O(l)+energía eléctrica2H2(g)+O2(g)2H2O(l)+energía eléctrica2H2(g)+O2(g)
Un diagrama muestra un vaso de precipitados que contiene un líquido, una batería sumergida en el líquido y dos probetas. La batería tiene marcados los terminales positivo y negativo. El líquido está conectado por una flecha hacia la derecha con una imagen de dos moléculas formadas por un átomo rojo y dos blancos. Está marcada como "Agua" y "2 H subíndice 2 O (l)". La probeta de la izquierda sobre el signo negativo está conectada por una flecha hacia la derecha a una imagen de dos pares de átomos blancos. La imagen está marcada como "Hidrógeno" y "2 H subíndice 2 (g)" La probeta de la derecha, sobre el signo positivo, está conectada por una flecha hacia la derecha con una imagen de un par de átomos rojos. La imagen está marcada como "Oxígeno" y "O subíndice 2 (g)".
Figura 18.26 La electrólisis del agua produce hidrógeno y oxígeno. Como hay el doble de átomos de hidrógeno que de oxígeno y ambos elementos son diatómicos, se produce el doble de volumen de hidrógeno en el cátodo que de oxígeno en el ánodo.

Reacción de los metales con los ácidos

Este es el método de laboratorio más conveniente para producir hidrógeno. Los metales con potenciales de reducción más bajos reducen el ion de hidrógeno en los ácidos diluidos para producir hidrógeno gaseoso y sales metálicas. Por ejemplo, como se muestra en la Figura 18.27, el hierro en ácido clorhídrico diluido produce hidrógeno gaseoso y cloruro de hierro(II):

Fe(s)+2H3O+(aq)+2Cl(aq)Fe2+(aq)+2Cl(aq)+H2(g)+2H2O(l)Fe(s)+2H3O+(aq)+2Cl(aq)Fe2+(aq)+2Cl(aq)+H2(g)+2H2O(l)
Una foto muestra un vaso de precipitados que contiene un líquido transparente e incoloro. Está marcado como "H C l (a q)". Al lado del vaso de precipitados hay un vidrio de reloj con un gotero encima. El gotero libera líquido en un líquido efervescente. El líquido efervescente libera un gas blanco.
Figura 18.27 La reacción del hierro con un ácido produce hidrógeno. Aquí, el hierro reacciona con el ácido clorhídrico (créditos: Mark Ott).

Reacción de los hidruros metálicos iónicos con el agua

Es posible producir hidrógeno a partir de la reacción de los hidruros de los metales activos, que contienen el anión fuertemente básico H-, con el agua:

CaH2(s)+2H2O(l)Ca2+(aq)+2OH(aq)+2H2(g)CaH2(s)+2H2O(l)Ca2+(aq)+2OH(aq)+2H2(g)

Los hidruros metálicos son fuentes de hidrógeno caras pero convenientes, especialmente cuando el espacio y el peso son factores importantes. Son importantes en el inflado de chalecos salvavidas, balsas salvavidas y globos militares.

Reacciones

En condiciones normales, el hidrógeno es relativamente inactivo químicamente, pero cuando se calienta, entra en muchas reacciones químicas.

Dos tercios de la producción mundial de hidrógeno se dedican a la fabricación de amoníaco, que es un fertilizante y se utiliza en la fabricación de ácido nítrico. Las grandes cantidades de hidrógeno también son importantes en el proceso de hidrogenación, que se trata en el capítulo de química orgánica.

Es posible utilizar el hidrógeno como combustible no contaminante. La reacción del hidrógeno con el oxígeno es una reacción muy exotérmica, que libera 286 kJ de energía por mol de agua formada. El hidrógeno se quema sin explosión en condiciones controladas. El soplete de oxígeno-hidrógeno, debido al elevado calor de combustión del hidrógeno, puede alcanzar temperaturas de hasta 2800 °C. La llama caliente de este soplete es útil para cortar chapas gruesas de muchos metales. El hidrógeno líquido es también un importante combustible para cohetes (Figura 18.28).

Se muestra el despegue de un cohete.
Figura 18.28 Antes de la retirada de la flota en 2011, se utilizaba hidrógeno líquido y oxígeno líquido en los tres motores principales de un transbordador espacial. Dos compartimentos en el gran tanque contenían estos líquidos hasta el lanzamiento del transbordador (créditos: "reynermedia"/Flickr).

Un átomo de hidrógeno sin combinar está formado por un núcleo y un electrón de valencia en el orbital 1s. La capa de valencia n = 1 tiene capacidad para dos electrones, y el hidrógeno puede ocupar legítimamente dos lugares en la tabla periódica. Es posible considerar al hidrógeno como un elemento del grupo 1 porque el hidrógeno puede perder un electrón para formar el catión, H+. También se puede considerar que el hidrógeno es un elemento del grupo 17 porque solo necesita un electrón para llenar su orbital de valencia para formar un ion de hidruro, H-, o puede compartir un electrón para formar un enlace simple y covalente. En realidad, el hidrógeno es un elemento único que casi merece su propia ubicación en la tabla periódica.

Reacciones con elementos

Cuando se calienta, el hidrógeno reacciona con los metales del grupo 1 y con el Ca, Sr y Ba (los metales más activos del grupo 2). Los compuestos formados son hidruros iónicos cristalinos que contienen el anión hidruro, H-, un fuerte agente reductor y una base fuerte, que reacciona vigorosamente con el agua y otros ácidos para formar hidrógeno gaseoso.

Las reacciones del hidrógeno con los no metales generalmente producen compuestos acídicos de hidrógeno con el hidrógeno en el estado de oxidación 1+. Las reacciones se vuelven más exotérmicas y vigorosas a medida que aumenta la electronegatividad del no metal. El hidrógeno reacciona con el nitrógeno y el azufre solo cuando se calienta, pero reacciona de forma explosiva con el flúor (formando HF) y, en algunas condiciones, con el cloro (formando HCl). Una mezcla de hidrógeno y oxígeno explota si se enciende. Debido a la naturaleza explosiva de la reacción, es necesario tener precaución al manipular el hidrógeno (o cualquier otro gas combustible) para evitar la formación de una mezcla explosiva en un espacio confinado. Aunque la mayoría de los hidruros de los no metales son acídicos, el amoníaco y la fosfina (PH3) son ácidos muy, muy débiles y generalmente funcionan como bases. Hay un resumen de estas reacciones del hidrógeno con los elementos en la Tabla 18.1.

Reacciones químicas del hidrógeno con otros elementos
Ecuación general Comentarios
MH o MH2MOH o M(OH)2 +H2MH o MH2MOH o M(OH)2 +H2 hidruros iónicos del grupo 1 y Ca, Sr y Ba
H2+C(sin reacción)H2+C(sin reacción)
3H2+N22NH33H2+N22NH3 requiere alta presión y temperatura; bajo rendimiento
2H2+O22H2O2H2+O22H2O exotérmico y potencialmente explosivo
H2+SH2SH2+SH2S requiere calentamiento; bajo rendimiento
H2+X22HXH2+X22HX X = F, Cl, Br e I; explosivo con F2; bajo rendimiento con I2
Tabla 18.1

Reacción con compuestos

El hidrógeno reduce los óxidos calentados de muchos metales, con la formación del metal y del vapor de agua. Por ejemplo, al pasar el hidrógeno sobre el CuO calentado se forma cobre y agua.

El hidrógeno también puede reducir los iones metálicos de algunos óxidos metálicos a estados de oxidación más bajos:

H2(g)+MnO2(s)ΔMnO(s)+H2O(g)H2(g)+MnO2(s)ΔMnO(s)+H2O(g)

Compuestos de hidrógeno

Aparte de los gases nobles, cada uno de los no metales forma compuestos con el hidrógeno. Para ser breves, aquí solo hablaremos de algunos compuestos de hidrógeno de los no metales.

Compuestos de hidrógeno y nitrógeno

El amoníaco, NH3, se forma de manera natural cuando cualquier materia orgánica que contenga nitrógeno se descompone en ausencia de aire. La preparación del amoníaco en el laboratorio se realiza mediante la reacción de una sal de amonio con una base fuerte como el hidróxido de sodio. La reacción ácido-base con el ion de amonio débilmente acídico da lugar al amoníaco, ilustrado en la Figura 18.29. El amoníaco también se forma cuando los nitruros iónicos reaccionan con el agua. El ion de nitruro es una base mucho más fuerte que el ion de hidróxido:

Mg3N2(s)+6H2O(l)3Mg(OH)2 (s)+2NH3(g)Mg3N2(s)+6H2O(l)3Mg(OH)2 (s)+2NH3(g)

La producción comercial de amoníaco se realiza mediante la combinación directa de los elementos del proceso de Haber:

N2(g)+3H2(g)catalizador2NH3(g)ΔH°=−92 kJN2(g)+3H2(g)catalizador2NH3(g)ΔH°=−92 kJ
Un modelo de barras y esferas muestra un átomo de nitrógeno que tiene un enlace simple con tres átomos de hidrógeno. Hay un par solitario de puntos de electrones que aparece sobre el átomo de nitrógeno.
Figura 18.29 La estructura del amoníaco se muestra con un átomo de nitrógeno central y tres átomos de hidrógeno.

El amoníaco es un gas incoloro con un olor penetrante. Las sales aromáticas utilizan este poderoso olor. El amoníaco gaseoso se licua fácilmente para dar lugar a un líquido incoloro que hierve a -33 °C. Debido al enlace de hidrógeno intermolecular, la entalpía de vaporización del amoníaco líquido es mayor que la de cualquier otro líquido, excepto el agua, por lo que el amoníaco es útil como refrigerante. El amoníaco es bastante soluble en agua (658 L a condiciones estándar de temperatura y presión [Standard Conditions for Temperature and Pressure, STP] se disuelven en 1 L de H2O).

Las propiedades químicas del amoníaco son las siguientes:

  1. El amoníaco actúa como una base de Brønsted, tal y como se ha comentado en el capítulo dedicado a la química de ácidos y bases. El ion de amonio tiene un tamaño similar al ion de potasio; los compuestos de ambos iones presentan muchas similitudes en sus estructuras y solubilidades.
  2. El amoníaco puede mostrar un comportamiento acídico, aunque es un ácido mucho más débil que el agua. Al igual que otros ácidos, el amoníaco reacciona con los metales, aunque es tan débil que son necesarias altas temperaturas. Se forma hidrógeno y (dependiendo de la estequiometría) amidas (sales de NH2),NH2),, imidas (sales de NH2-), o nitruros (sales de N3-).
  3. El átomo de nitrógeno del amoníaco tiene su estado de oxidación más bajo posible (3-) y, por lo tanto, no es susceptible de reducción. Sin embargo, puede oxidarse. El amoníaco se quema en el aire, produciendo NO y agua. El amoníaco caliente y el ion de amonio son agentes reductores activos. Son especialmente interesantes las oxidaciones del ion de amonio por el ion de nitrito, NO2,NO2, para producir nitrógeno puro y por el ion de nitrato para producir óxido nitroso, N2O.
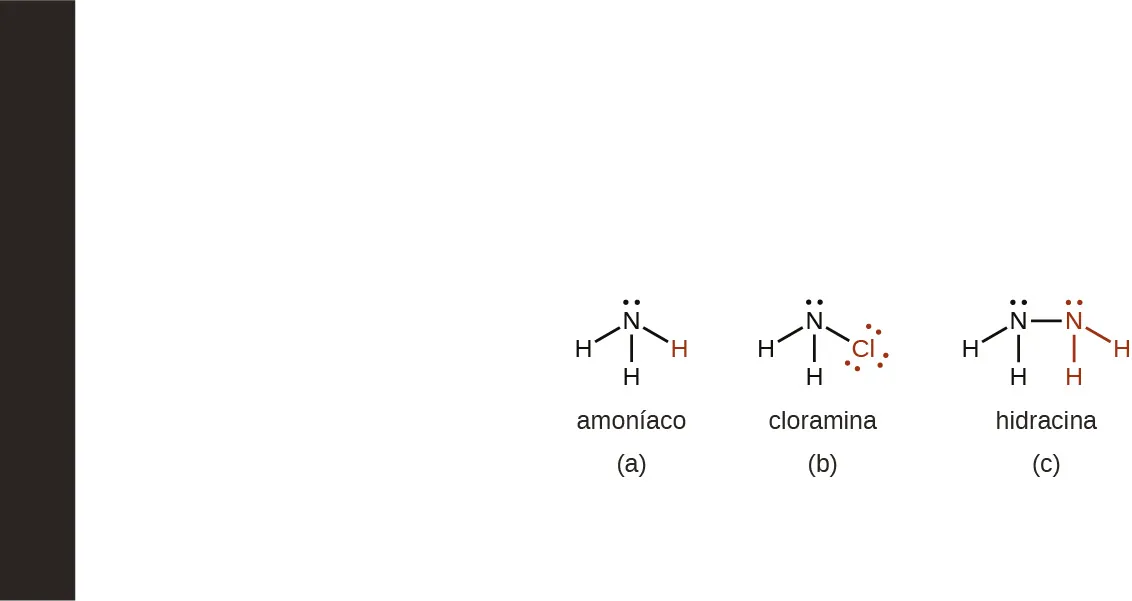
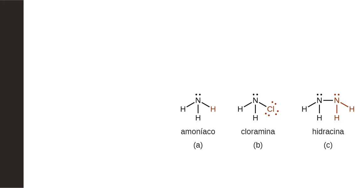
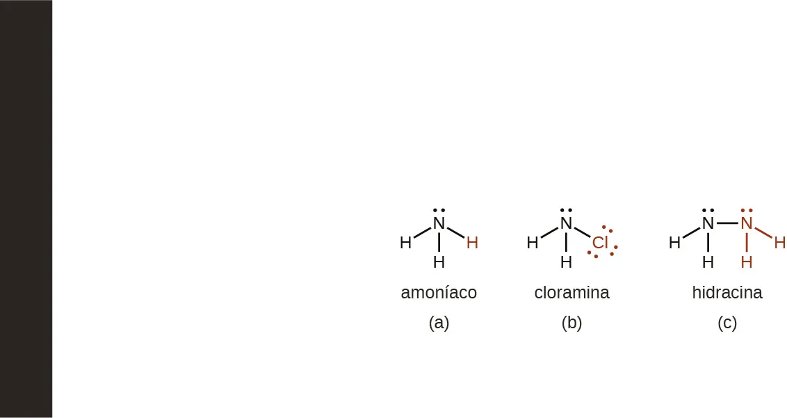
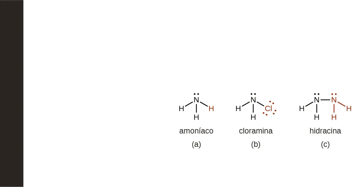
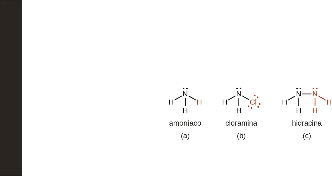
  4. Hay una serie de compuestos que podemos considerar derivados del amoníaco mediante la sustitución de uno o varios átomos de hidrógeno por algún otro átomo o grupo de átomos. Las derivaciones inorgánicas incluyen la cloramina, NH2Cl, y la hidracina, N2H4:
Se muestran tres estructuras de Lewis marcadas como "a", "b" y "c". La estructura a muestra un átomo de nitrógeno con un par solitario de electrones que tiene un enlace simple con tres átomos de hidrógeno. La estructura está marcada como "amoníaco". La estructura b muestra un átomo de nitrógeno con un par solitario de electrones que tiene un enlace simple con dos átomos de hidrógeno y un átomo de cloro con tres pares solitarios de electrones. La estructura está marcada como "cloramina". La estructura c muestra dos átomos de nitrógeno, cada uno con un par solitario de electrones, que tienen un enlace simple entre ellos y cada uno con un enlace simple a dos átomos de hidrógeno. La estructura está marcada como "hidracina".

La cloramina, NH2Cl, resulta de la reacción del hipoclorito de sodio, NaOCl, con el amoníaco en solución básica. En presencia de un gran exceso de amoníaco a baja temperatura, la cloramina reacciona aún más para producir hidracina, N2H4:

NH3(aq)+OCl(aq)NH2Cl(aq)+OH(aq)NH3(aq)+OCl(aq)NH2Cl(aq)+OH(aq)
NH2Cl(aq)+NH3(aq)+OH(aq)N2H4(aq)+Cl(aq)+H2O(l)NH2Cl(aq)+NH3(aq)+OH(aq)N2H4(aq)+Cl(aq)+H2O(l)

La hidracina anhidra es relativamente estable a pesar de su energía libre de formación positiva:

N2(g)+2H2(g)N2H4(l)ΔGf°=149,2kJmol1N2(g)+2H2(g)N2H4(l)ΔGf°=149,2kJmol1

La hidracina es un líquido incoloro y humeante que tiene algunas propiedades físicas muy similares a las del H2O (se funde a 2 °C, hierve a 113,5 °C y tiene una densidad a 25 °C de 1,00 g/mL). Se quema rápida y completamente en el aire con una importante evolución del calor:

N2H4(l)+O2(g)N2(g)+2H2O(l)ΔH°=-621,5kJmol1N2H4(l)+O2(g)N2(g)+2H2O(l)ΔH°=-621,5kJmol1

Al igual que el amoníaco, la hidracina es una base de Brønsted y una base de Lewis, aunque es más débil que el amoníaco. Reacciona con ácidos fuertes y forma dos series de sales que contienen los iones de N2H5+N2H5+ y N2H62+N2H62+, respectivamente. Algunos cohetes utilizan hidracina como combustible.

Compuestos de hidrógeno y fósforo

El hidruro de fósforo más importante es la fosfina, PH3, un análogo gaseoso del amoníaco tanto en términos de fórmula como de estructura. A diferencia del amoníaco, no es posible formar fosfina por unión directa de los elementos. Existen dos métodos para la preparación de la fosfina. Un método es por la acción de un ácido sobre un fosfuro iónico. El otro método es la desproporción del fósforo blanco con base concentrada caliente para producir fosfina y el ion de fosfito de hidrógeno:

AlP(s)+3H3O+(aq)PH3(g)+Al3+(aq)+3H2O(l)AlP(s)+3H3O+(aq)PH3(g)+Al3+(aq)+3H2O(l)
P4(s)+4OH(aq)+2H2O(l)2HPO32−(aq)+2PH3(g)P4(s)+4OH(aq)+2H2O(l)2HPO32−(aq)+2PH3(g)

La fosfina es un gas incoloro, muy venenoso, que tiene un olor parecido al del pescado en descomposición. El calor descompone fácilmente la fosfina (4PH3P4+6H2),(4PH3P4+6H2), y el compuesto arde con el aire. Los principales usos de la fosfina son la fumigación de granos y el procesamiento de semiconductores. Al igual que el amoníaco, la fosfina gaseosa se une a los haluros de hidrógeno gaseosos, formando compuestos de fosfonio como el PH4l y el PH4I. La fosfina es una base mucho más débil que el amoníaco; por lo tanto, estos compuestos se descomponen en el agua, y el PH3 insoluble se escapa de la solución.

Compuestos de hidrógeno y azufre

El sulfuro de hidrógeno, H2S, es un gas incoloro responsable del olor desagradable de los huevos podridos y de muchas aguas termales. El sulfuro de hidrógeno es tan tóxico como el cianuro de hidrógeno; por lo tanto, es necesario tener mucho cuidado al manipularlo. El sulfuro de hidrógeno es especialmente engañoso porque paraliza los nervios olfativos; tras una breve exposición, uno no lo huele.

La producción de sulfuro de hidrógeno por la reacción directa de los elementos (H2 + S) es insatisfactoria porque el rendimiento es bajo. Un método de preparación más eficaz es la reacción de un sulfuro metálico con un ácido diluido. Por ejemplo:

FeS(s)+2H3O+(aq)Fe2+(aq)+H2S(g)+2H2O(l)FeS(s)+2H3O+(aq)Fe2+(aq)+H2S(g)+2H2O(l)

Es fácil oxidar el azufre en los sulfuros metálicos y en el sulfuro de hidrógeno, por lo que los sulfuros metálicos y el H2S son buenos agentes reductores. En soluciones acídicas, el sulfuro de hidrógeno reduce el Fe3+ a Fe2+, MnO4MnO4 a Mn2+, Cr2O72−Cr2O72− a Cr3+, y HNO3 a NO2. El azufre del H2S suele oxidarse a azufre elemental, a menos que haya un gran exceso del agente oxidante. En este caso, el sulfuro puede oxidarse a SO32−SO32− o SO42−SO42− (o a SO2 o SO3 en ausencia de agua):

2H2S(g)+O2(g)2S(s)+2H2O(l)2H2S(g)+O2(g)2S(s)+2H2O(l)

Este proceso de oxidación conduce a la eliminación del sulfuro de hidrógeno que se encuentra en muchas fuentes de gas natural. Los depósitos de azufre en las regiones volcánicas pueden ser el resultado de la oxidación del H2S presente en los gases volcánicos.

El sulfuro de hidrógeno es un ácido diprótico débil que se disuelve en agua para formar ácido hidrosulfúrico. El ácido se ioniza en dos etapas, dando lugar a iones de sulfuro de hidrógeno, HS-, en la primera etapa y a iones de sulfuro, S2-, en la segunda. Dado que el sulfuro de hidrógeno es un ácido débil, las soluciones acuosas de sulfuros solubles y sulfuros de hidrógeno son básicas:

S2−(aq)+H2O(l)HS(aq)+OH(aq)S2−(aq)+H2O(l)HS(aq)+OH(aq)
HS(aq)+H2O(l)H2S(g)+OH(aq)HS(aq)+H2O(l)H2S(g)+OH(aq)

Compuestos de hidrógeno y halógenos

Los compuestos binarios que solo contienen hidrógeno y un halógeno son haluros de hidrógeno. A temperatura ambiente, los haluros de hidrógeno puros HF, HCl, HBr y HI son gases.

En general, es posible preparar los haluros mediante las técnicas generales utilizadas para preparar otros ácidos. El flúor, el cloro y el bromo reaccionan directamente con el hidrógeno para formar el haluro de hidrógeno correspondiente. Esta es una reacción comercialmente importante para preparar cloruro de hidrógeno y bromuro de hidrógeno.

La reacción ácido-base entre un ácido fuerte no volátil y un haluro metálico dará lugar a un haluro de hidrógeno. El escape del haluro de hidrógeno gaseoso impulsa la reacción hasta su finalización. Por ejemplo, el método habitual para preparar el fluoruro de hidrógeno es calentar una mezcla de fluoruro de calcio, CaF2, y ácido sulfúrico concentrado:

CaF2(s)+H2SO4(aq)CaSO4(s)+2HF(g)CaF2(s)+H2SO4(aq)CaSO4(s)+2HF(g)

El fluoruro de hidrógeno gaseoso es también un subproducto en la preparación de fertilizantes fosfatados por la reacción de la fluoroapatita, Ca5(PO4)3F, con el ácido sulfúrico. La reacción del ácido sulfúrico concentrado con una sal de cloruro produce cloruro de hidrógeno tanto comercialmente como en el laboratorio.

En la mayoría de los casos, el cloruro de sodio es el cloruro elegido porque es el menos caro. El bromuro de hidrógeno y el yoduro de hidrógeno no pueden prepararse con ácido sulfúrico porque este ácido es un agente oxidante capaz de oxidar tanto el bromuro como el yoduro. Sin embargo, es posible preparar tanto el bromuro de hidrógeno como el yoduro de hidrógeno utilizando un ácido como el fosfórico porque es un agente oxidante más débil. Por ejemplo:

H3PO4(l)+Br(aq)HBr(g)+H2PO4(aq)H3PO4(l)+Br(aq)HBr(g)+H2PO4(aq)

Todos los haluros de hidrógeno son muy solubles en agua, formando ácidos hidráulicos. A excepción del fluoruro de hidrógeno, que tiene un fuerte enlace hidrógeno-fluoruro, son ácidos fuertes. Las reacciones de los ácidos hidrohalicos con metales, hidróxidos metálicos, óxidos o carbonatos producen sales de los haluros. La mayoría de las sales de cloruro son solubles en agua. AgCl, PbCl2 y Hg2Cl2 son las excepciones más comunes.

Los iones de haluro confieren a las sustancias las propiedades asociadas a X-(aq). Los iones de haluro más pesados (Cl-, Br- y I-) pueden actuar como agentes reductores, y los halógenos más ligeros u otros agentes oxidantes los oxidarán:

Cl2(aq)+2e2Cl(aq)E°=1,36VCl2(aq)+2e2Cl(aq)E°=1,36V
Br2(aq)+2e2Br(aq)E°=1,09VBr2(aq)+2e2Br(aq)E°=1,09V
I2(aq)+2e2I(aq)E°=0,54VI2(aq)+2e2I(aq)E°=0,54V

Por ejemplo, el bromo oxida el yodo:

Br2(aq)+2HI(aq)2HBr(aq)+I2(aq)E°=0,55VBr2(aq)+2HI(aq)2HBr(aq)+I2(aq)E°=0,55V

El ácido fluorhídrico es único en sus reacciones con la arena (dióxido de silicio) y con el vidrio, que es una mezcla de silicatos:

SiO2(s)+4HF(aq)SiF4(g)+2H2O(l)SiO2(s)+4HF(aq)SiF4(g)+2H2O(l)
CaSiO3(s)+6HF(aq)CaF2(s)+SiF4(g)+3H2O(l)CaSiO3(s)+6HF(aq)CaF2(s)+SiF4(g)+3H2O(l)

El tetrafluoruro de silicio volátil se escapa de estas reacciones. Dado que el fluoruro de hidrógeno ataca al vidrio, puede escarchar o grabar el vidrio y se utiliza para grabar marcas en termómetros, buretas y otros objetos de vidrio.

El mayor uso del fluoruro de hidrógeno es la producción de hidroclorofluorocarbonos para refrigerantes, en plásticos y en propulsores. El segundo uso más importante es la fabricación de criolita, Na3AlF6, que es importante en la producción de aluminio. El ácido también es importante en la producción de otros fluoruros inorgánicos (como el BF3), que sirven como catalizadores en la síntesis industrial de ciertos compuestos orgánicos.

El ácido clorhídrico es relativamente barato. Es un ácido importante y versátil en la industria y es importante para la fabricación de cloruros metálicos, tintes, pegamento, glucosa y otros productos químicos. Una cantidad considerable también es importante para la activación de pozos de petróleo y como licor de pasivado, un ácido utilizado para eliminar el revestimiento de óxido del hierro o el acero que se va a galvanizar, estañar o esmaltar. Las cantidades de ácido bromhídrico e hidródico utilizadas comercialmente son insignificantes en comparación.

Cita/Atribución

Este libro no puede ser utilizado en la formación de grandes modelos de lenguaje ni incorporado de otra manera en grandes modelos de lenguaje u ofertas de IA generativa sin el permiso de OpenStax.

¿Desea citar, compartir o modificar este libro? Este libro utiliza la Creative Commons Attribution License y debe atribuir a OpenStax.

Información de atribución
  • Si redistribuye todo o parte de este libro en formato impreso, debe incluir en cada página física la siguiente atribución:
    Acceso gratis en https://openstax.org/books/qu%C3%ADmica-2ed/pages/1-introduccion
  • Si redistribuye todo o parte de este libro en formato digital, debe incluir en cada vista de la página digital la siguiente atribución:
    Acceso gratuito en https://openstax.org/books/qu%C3%ADmica-2ed/pages/1-introduccion
Información sobre citas

© 19 may. 2022 OpenStax. El contenido de los libros de texto que produce OpenStax tiene una licencia de Creative Commons Attribution License . El nombre de OpenStax, el logotipo de OpenStax, las portadas de libros de OpenStax, el nombre de OpenStax CNX y el logotipo de OpenStax CNX no están sujetos a la licencia de Creative Commons y no se pueden reproducir sin el previo y expreso consentimiento por escrito de Rice University.