Omitir e ir al contenidoIr a la página de accesibilidadMenú de atajos de teclado
Logo de OpenStax
Química 2ed

14.1 Ácidos y Bases de Brønsted-Lowry

Química 2ed14.1 Ácidos y Bases de Brønsted-Lowry
Buscar términos clave o texto.

Objetivos de aprendizaje

Al final de esta sección, podrá:

  • Identificar los ácidos, las bases y los pares ácido-base conjugados según la definición de Brønsted-Lowry
  • Escribir ecuaciones para reacciones de ionización de ácidos y bases
  • Utilizar la constante de producto iónico del agua para calcular las concentraciones de iones de hidronio e hidróxido
  • Describir el comportamiento ácido-base de las sustancias anfipróticas

La clase de reacción ácido-base se ha estudiado durante bastante tiempo. En 1680, Robert Boyle informó sobre las características de las soluciones ácidas, entre ellas su capacidad de disolver muchas sustancias, cambiar los colores de ciertos tintes naturales y perder estas características tras entrar en contacto con soluciones alcalinas (básicas). En el siglo XVIII se reconoció que los ácidos tienen un sabor agrio, reaccionan con la piedra caliza para liberar una sustancia gaseosa (que ahora se conoce como CO2) e interactúan con los álcalis para formar sustancias neutras. En 1815, Humphry Davy contribuyó en gran medida al desarrollo del concepto moderno de ácido-base al demostrar que el hidrógeno es el constituyente esencial de los ácidos. Por esa misma época, Joseph Louis Gay-Lussac llegó a la conclusión de que los ácidos son sustancias que pueden neutralizar las bases y que estas dos clases de sustancias solo pueden definirse entre sí. La importancia del hidrógeno se reafirmó en 1884, cuando Svante Arrhenius definió un ácido como un compuesto que se disuelve en el agua para producir cationes de hidrógeno (ahora reconocidos como iones de hidronio) y una base como un compuesto que se disuelve en el agua para producir aniones de hidróxido.

Johannes Brønsted y Thomas Lowry propusieron en 1923 una descripción más general en la que los ácidos y las bases se definían en términos de transferencia de iones de hidrógeno, H+. (Observe que estos iones de hidrógeno suelen denominarse simplemente protones, ya que esa partícula subatómica es el único componente de los cationes derivados del isótopo más abundante del hidrógeno, 1H.) Un compuesto que dona un protón a otro compuesto se llama ácido de Brønsted-Lowry, y un compuesto que acepta un protón se llama base de Brønsted-Lowry. Una reacción ácido-base es, por tanto, la transferencia de un protón de un donante (ácido) a un aceptor (base).

El concepto de pares conjugados es útil para describir las reacciones ácido-base de Brønsted-Lowry (y también otras reacciones reversibles). Cuando un ácido dona H+, la especie que queda se llama base conjugada del ácido porque reacciona como aceptor de protones en la reacción inversa. Así mismo, cuando una base acepta H+, se convierte en su ácido conjugado. La reacción entre el agua y el amoníaco ilustra esta idea. En la reacción directa, el agua actúa como un ácido donando un protón al amoníaco y convirtiéndose posteriormente en un ion de hidróxido, OH, la base conjugada del agua. El amoníaco actúa como una base al aceptar este protón, convirtiéndose en un ion de amonio, NH4+,NH4+, el ácido conjugado del amoníaco. En sentido inverso, un ion de hidróxido actúa como base al aceptar un protón del ion de amonio, que actúa como ácido.

Esta figura tiene dos filas. En ambas filas se muestra una reacción química. En la primera, se proporcionan fórmulas estructurales. En este modelo, en rojo, un átomo de H está conectado a un átomo de F con un enlace simple. El átomo de F tiene pares de puntos de electrones en la parte superior, derecha e inferior. A esto le sigue un signo de suma, que es seguido en azul por un átomo de O que tiene enlaces simples con átomos de H por encima y a la derecha. El átomo de O tiene pares de puntos de electrones en sus lados izquierdo e inferior. Sigue una flecha doble. A la derecha, entre paréntesis, hay una estructura con un átomo de O central en azul que tiene enlaces simples con átomos de H azules por encima y a la derecha. Un par de puntos de electrones azules se encuentran en la parte inferior del átomo de O. A la izquierda del átomo de O azul, un átomo de H rojo tiene un enlace simple. A continuación aparece un signo de suma y un átomo de F en rojo con pares de puntos de electrones arriba, a la derecha, abajo y a la izquierda. Este átomo también tiene un superíndice de signo negativo. La reacción está escrita en forma simbólica a continuación. El H F está etiquetado en rojo abajo como "Ácido". A esto le sigue el signo más H subíndice 2 O, que está etiquetado en azul abajo como "Base". Sigue una flecha de doble punta. A la derecha aparece H subíndice 3 O superíndice signo más, que está etiquetado en azul abajo como "Ácido". A esto le sigue el signo más y F superíndice negativo. La etiqueta de abajo en rojo dice: "Base".

La reacción entre un ácido de Brønsted-Lowry y el agua se denomina ionización de ácidos. Por ejemplo, cuando el fluoruro de hidrógeno se disuelve en el agua y se ioniza, los protones se transfieren de las moléculas de fluoruro de hidrógeno a las moléculas de agua, formando iones de hidronio e iones de fluoruro:

Esta figura tiene dos filas. En ambas filas se muestra una reacción química. En la primera, se proporcionan fórmulas estructurales. En este modelo, en rojo, hay un átomo de O que tiene enlaces simples con átomos de H por encima y a la derecha. El átomo de O tiene pares de electrones solitarios en sus lados izquierdo e inferior. Esto va seguido de un signo de suma. El signo de suma va seguido, en azul, de un átomo de N con un par de electrones solitarios. El átomo de N forma un doble enlace con un átomo de C, que forma un enlace simple con un átomo de C. El segundo átomo de C forma un doble enlace con otro átomo de C, que forma un enlace simple con otro átomo de C. El cuarto átomo de C forma un doble enlace con un quinto átomo de C, que forma un enlace simple con el átomo de N. Esto crea una estructura de anillo. Cada átomo de C también tiene un enlace con un átomo de H. Una flecha de equilibrio sigue esta estructura. A la derecha, entre paréntesis, hay una estructura en la que aparece un átomo de N que tiene un enlace con un átomo de H, que es de color rojo. El átomo de N forma un doble enlace con un átomo de C, que forma un enlace simple con un átomo de C. El segundo átomo de C forma un doble enlace con otro átomo de C, que forma un enlace simple con otro átomo de C. El cuarto átomo de C forma un doble enlace con un quinto átomo de C, que forma un enlace simple con el átomo de N. Esto crea una estructura de anillo. Cada átomo de C también tiene un enlace con un átomo de H. Fuera de los paréntesis, a la derecha, hay un superíndice de signo positivo. Esta estructura va seguida de un signo de suma. También aparece otra estructura entre paréntesis. Un átomo de O con tres pares de electrones solitarios que tiene un enlace con átomo de H. Hay un superíndice de signo negativo fuera de los paréntesis. Bajo la ecuación inicial, aparece esta ecuación: H subíndice 2 más C subíndice 5 N H subíndice 5 flecha de equilibrio C subíndice 5 N H subíndice 6 signo positivo más O H signo negativo. H subíndice 2 O está etiquetado como "ácido" en rojo. C subíndice 5 N H subíndice 5 está etiquetado como "base" en azul. C subíndice 5 N H subíndice 6 superíndice signo positivo está etiquetado como "ácido" en azul. O H superíndice negativo está etiquetado como "base" en rojo.

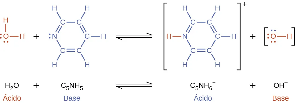
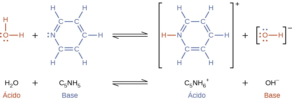
La ionización de la base de una especie se produce cuando acepta protones de las moléculas de agua. En el siguiente ejemplo, las moléculas de piridina, C5NH5, sufren una ionización de la base cuando se disuelven en agua, formando iones de hidróxido y piridinio:

Esta figura tiene dos filas. En ambas filas se muestra una reacción química. En la primera, se proporcionan fórmulas estructurales. En este modelo, en rojo, hay un átomo de O que tiene enlaces simples con átomos de H por encima y a la derecha. El átomo de O tiene pares de electrones solitarios en sus lados izquierdo e inferior. Esto va seguido de un signo de suma. El signo de suma va seguido, en azul, de un átomo de N con un par de electrones solitarios. El átomo de N forma un doble enlace con un átomo de C, que forma un enlace simple con un átomo de C. El segundo átomo de C forma un doble enlace con otro átomo de C, que forma un enlace simple con otro átomo de C. El cuarto átomo de C forma un doble enlace con un quinto átomo de C, que forma un enlace simple con el átomo de N. Esto crea una estructura de anillo. Cada átomo de C también tiene un enlace con un átomo de H. Una flecha de equilibrio sigue esta estructura. A la derecha, entre paréntesis, hay una estructura en la que aparece un átomo de N que tiene un enlace con un átomo de H, que es de color rojo. El átomo de N forma un doble enlace con un átomo de C, que forma un enlace simple con un átomo de C. El segundo átomo de C forma un doble enlace con otro átomo de C, que forma un enlace simple con otro átomo de C. El cuarto átomo de C forma un doble enlace con un quinto átomo de C, que forma un enlace simple con el átomo de N. Esto crea una estructura de anillo. Cada átomo de C también tiene un enlace con un átomo de H. Fuera de los paréntesis, a la derecha, hay un superíndice de signo positivo. Esta estructura va seguida de un signo de suma. También aparece otra estructura entre paréntesis. Un átomo de O con tres pares de electrones solitarios que tiene un enlace con átomo de H. Hay un superíndice de signo negativo fuera de los paréntesis. A la derecha aparece la ecuación: k es igual a [ C subíndice 5 N H subíndice 6 superíndice signo positivo ] [ O H superíndice signo negativo] todo dividido entre [ C subíndice 5 N H subíndice 5 ]. Bajo la ecuación inicial, aparece esta ecuación: H subíndice 2 más C subíndice 5 N H subíndice 5 flecha de equilibrio C subíndice 5 N H subíndice 6 signo positivo más O H signo negativo. H subíndice 2 O está etiquetado como "ácido" en rojo. C subíndice 5 N H subíndice 5 está etiquetado como "base" en azul. C subíndice 5 N H subíndice 6 superíndice signo positivo está etiquetado como "ácido" en azul. O H superíndice negativo está etiquetado como "base" en rojo.

Las reacciones de ionización anteriores sugieren que el agua puede funcionar como base (como en su reacción con el fluoruro de hidrógeno) y como ácido (como en su reacción con el amoníaco). Las especies capaces de donar o aceptar protones se denominan anfipáticas o, más generalmente, anfóteras, término que puede utilizarse para los ácidos y las bases según definiciones distintas a la de Brønsted-Lowry. Las siguientes ecuaciones muestran las dos posibles reacciones ácido-base para dos especies anfipróticas, el ion de bicarbonato y el agua:

HCO3(aq)+H2O(l) CO32–(aq)+H3O+(aq) HCO3(aq)+H2O(l) CO32–(aq)+H3O+(aq)
HCO3(aq)+H2O(l) H2CO3(aq)+OH(aq) HCO3(aq)+H2O(l) H2CO3(aq)+OH(aq)

La primera ecuación representa la reacción del bicarbonato como ácido con el agua como base, mientras que la segunda representa la reacción del bicarbonato como base con el agua como ácido. Cuando se añade bicarbonato al agua, estos dos equilibrios se establecen simultáneamente y la composición de la solución resultante puede determinarse mediante cálculos de equilibrio adecuados, como se describe más adelante en este capítulo.

En estado líquido, las moléculas de una sustancia anfiprótica pueden reaccionar entre sí, como se ilustra para el agua en las siguientes ecuaciones:

Esta figura tiene dos filas. En ambas filas se muestra una reacción química. En la primera, se proporcionan fórmulas estructurales. En este modelo, en púrpura, hay un átomo de O que tiene enlaces simples con átomos de H por encima y a la derecha. El átomo de O tiene pares de puntos de electrones en sus lados izquierdo e inferior. A esto le sigue un signo de suma, que es seguido en verde por un átomo de O que tiene enlaces simples con átomos de H por encima y a la derecha. El átomo de O tiene pares de puntos de electrones en sus lados izquierdo e inferior. Sigue una flecha doble. A la derecha, entre paréntesis, hay una estructura con un átomo de O central en verde que tiene enlaces simples con átomos de H verdes por encima y a la derecha. Un par de puntos de electrones verdes se encuentran en la parte inferior del átomo de O. A la izquierda del átomo de O verde, un átomo de H púrpura tiene un enlace simple. Fuera de los paréntesis, a la derecha, hay un superíndice de signo más. A continuación aparece un signo de suma y un átomo de O en púrpura con pares de puntos de electrones arriba, a la izquierda y abajo. Un átomo de H tiene un enlace simple a la derecha. Este átomo tiene un superíndice de signo negativo. La reacción está escrita en forma simbólica a continuación. H subíndice 2 O está etiquetado en púrpura abajo como "Ácido subíndice 1". A esto le sigue el signo más H subíndice 2 O, que está etiquetado en verde abajo como "Base subíndice 2". Sigue una flecha de doble punta. A la derecha aparece H subíndice 3 O superíndice signo más, que está etiquetado en verde abajo como "Ácido subíndice 2". A esto le siguen el más y O con pares de puntos por encima, por debajo y a la izquierda con un H de enlace simple a la derecha con un superíndice negativo. La etiqueta de abajo, en púrpura, dice: "Base subíndice 1".

El proceso en el que moléculas similares reaccionan para formar iones se denomina autoionización. El agua líquida sufre una autoionización muy leve; a 25 °C, aproximadamente dos de cada mil millones de moléculas de agua están ionizadas. El alcance del proceso de autoionización del agua se refleja en el valor de su constante de equilibrio, el producto iónico del agua, Kw:

H2O(l)+H2O(l)H3O+(aq)+OH(aq)Kw=[H3O+][OH]H2O(l)+H2O(l)H3O+(aq)+OH(aq)Kw=[H3O+][OH]

La ligera ionización del agua pura se refleja en el valor pequeño de la constante de equilibrio; a 25 °C, Kw tiene un valor de 1,0 ×× 10−14. El proceso es endotérmico, por lo que el grado de ionización y las concentraciones resultantes de iones de hidronio e iones de hidróxido aumentan con la temperatura. Por ejemplo, a 100 °C, el valor de Kw es de aproximadamente 5,6 ×× 10−13, aproximadamente 50 veces mayor que el valor a 25 °C.

Ejemplo 14.1

Concentraciones de iones en el agua pura

¿Cuál es la concentración de iones de hidronio y de iones de hidróxido en el agua pura a 25 °C?

Solución

La autoionización del agua produce el mismo número de iones de hidronio e hidróxido. Por lo tanto, en el agua pura, [H3O+] = [OH] = x. A 25 °C:
Kw=[H3O+][OH]=(x)(x)=x2 =1,0×10-14Kw=[H3O+][OH]=(x)(x)=x2 =1,0×10-14

Así que:

x=[H3O+]=[OH]=1,0×10-14=1,0×10-7Mx=[H3O+]=[OH]=1,0×10-14=1,0×10-7M

La concentración de iones de hidronio y de iones de hidróxido es la misma, 1,0 ×× 10−7 M.

Compruebe lo aprendido

El producto iónico del agua a 80 °C es de 2,4 ×× 10−13. ¿Cuáles son las concentraciones de los iones de hidronio e hidróxido en el agua pura a 80 °C?

Respuesta:

[H3O+] = [OH] = 4,9 ×× 10−7 M

Ejemplo 14.2

La relación inversa entre [H3O+] y [OH]

Una solución de un ácido en agua tiene una concentración de iones de hidronio de 2,0 ×× 10−6 M. ¿Cuál es la concentración del ion de hidróxido a 25 °C?

Solución

Utilice el valor del producto iónico del agua a 25 °C
2H2O(l)H3O+(aq)+OH(aq)Kw=[H3O+][OH]=1,0×10-142H2O(l)H3O+(aq)+OH(aq)Kw=[H3O+][OH]=1,0×10-14

para calcular la concentración de equilibrio que falta.

El reordenamiento de la expresión de Kw muestra que [OH] es inversamente proporcional a [H3O+]:

[OH]=Kw[H3O+]=1,0×10-142,0×10-6=5,0×10-9[OH]=Kw[H3O+]=1,0×10-142,0×10-6=5,0×10-9

En comparación con el agua pura, una solución de ácido presenta una mayor concentración de iones de hidronio (debido a la ionización del ácido) y una concentración proporcionalmente menor de iones de hidróxido. Esto puede explicarse a través del principio de Le Châtelier como un desplazamiento a la izquierda del equilibrio de autoionización del agua resultante de la perturbación por el aumento de la concentración de iones de hidronio.

La sustitución de las concentraciones de iones en la expresión Kw confirma este cálculo, dando como resultado el valor esperado:

Kw=[H3O+][OH]=(2,0×10-6)(5,0×10-9)=1,0×10-14Kw=[H3O+][OH]=(2,0×10-6)(5,0×10-9)=1,0×10-14

Compruebe lo aprendido

¿Cuál es la concentración de iones de hidronio en una solución acuosa con una concentración de iones de hidróxido de 0,001 M a 25 °C?

Respuesta:

[H3O+] = 1 ×× 10−11 M

Ejemplo 14.3

Representación del comportamiento ácido-base de una sustancia anfotérica

Escriba ecuaciones separadas que representen la reacción de HSO3HSO3

(a) como un ácido con OH

(b) como base con HI

Solución

(a) HSO3(aq)+OH(aq)SO32−(aq)+H2O(l)HSO3(aq)+OH(aq)SO32−(aq)+H2O(l)

(b) HSO3(aq)+HI(aq)H2SO3(aq)+I(aq)HSO3(aq)+HI(aq)H2SO3(aq)+I(aq)

Compruebe lo aprendido

Escriba ecuaciones separadas que representen la reacción de H2PO4H2PO4

(a) como base con HBr

(b) como un ácido con OH

Respuesta:

(a) H2PO4(aq)+HBr(aq)H3PO4(aq)+Br(aq);H2PO4(aq)+HBr(aq)H3PO4(aq)+Br(aq); (b) H2PO4(aq)+OH(aq)HPO42−(aq)+H2O(l)H2PO4(aq)+OH(aq)HPO42−(aq)+H2O(l)

Cita/Atribución

Este libro no puede ser utilizado en la formación de grandes modelos de lenguaje ni incorporado de otra manera en grandes modelos de lenguaje u ofertas de IA generativa sin el permiso de OpenStax.

¿Desea citar, compartir o modificar este libro? Este libro utiliza la Creative Commons Attribution License y debe atribuir a OpenStax.

Información de atribución
  • Si redistribuye todo o parte de este libro en formato impreso, debe incluir en cada página física la siguiente atribución:
    Acceso gratis en https://openstax.org/books/qu%C3%ADmica-2ed/pages/1-introduccion
  • Si redistribuye todo o parte de este libro en formato digital, debe incluir en cada vista de la página digital la siguiente atribución:
    Acceso gratuito en https://openstax.org/books/qu%C3%ADmica-2ed/pages/1-introduccion
Información sobre citas

© 19 may. 2022 OpenStax. El contenido de los libros de texto que produce OpenStax tiene una licencia de Creative Commons Attribution License . El nombre de OpenStax, el logotipo de OpenStax, las portadas de libros de OpenStax, el nombre de OpenStax CNX y el logotipo de OpenStax CNX no están sujetos a la licencia de Creative Commons y no se pueden reproducir sin el previo y expreso consentimiento por escrito de Rice University.