Skip to ContentGo to accessibility pageKeyboard shortcuts menu
OpenStax Logo
Precalculus

11.6 Binomial Theorem

Precalculus11.6 Binomial Theorem
Search for key terms or text.

Learning Objectives

In this section, you will:

  • Apply the Binomial Theorem.

A polynomial with two terms is called a binomial. We have already learned to multiply binomials and to raise binomials to powers, but raising a binomial to a high power can be tedious and time-consuming. In this section, we will discuss a shortcut that will allow us to find (x+y) n (x+y) n without multiplying the binomial by itself n n times.

Identifying Binomial Coefficients

In Counting Principles, we studied combinations. In the shortcut to finding (x+y) n , (x+y) n , we will need to use combinations to find the coefficients that will appear in the expansion of the binomial. In this case, we use the notation ( n r ) ( n r ) instead of C(n,r), C(n,r), but it can be calculated in the same way. So

( n r )=C(n,r)= n! r!(nr)! ( n r )=C(n,r)= n! r!(nr)!

The combination ( n r ) ( n r ) is called a binomial coefficient. An example of a binomial coefficient is ( 5 2 )=C(5,2)=10. ( 5 2 )=C(5,2)=10.

Binomial Coefficients

If n n and r r are integers greater than or equal to 0 with nr, nr, then the binomial coefficient is

( n r )=C(n,r)= n! r!(nr)! ( n r )=C(n,r)= n! r!(nr)!

Q&A

Is a binomial coefficient always a whole number?

Yes. Just as the number of combinations must always be a whole number, a binomial coefficient will always be a whole number.

Example 1

Finding Binomial Coefficients

Find each binomial coefficient.

  1. ( 5 3 ) ( 5 3 )
  2. ( 9 2 ) ( 9 2 )
  3. ( 9 7 ) ( 9 7 )

Analysis

Notice that we obtained the same result for parts (b) and (c). If you look closely at the solution for these two parts, you will see that you end up with the same two factorials in the denominator, but the order is reversed, just as with combinations.

( n r )=( n nr ) ( n r )=( n nr )

Try It #1

Find each binomial coefficient.

  1. ( 7 3 ) ( 7 3 )
  2. ( 11 4 ) ( 11 4 )

Using the Binomial Theorem

When we expand (x+y) n (x+y) n by multiplying, the result is called a binomial expansion, and it includes binomial coefficients. If we wanted to expand (x+y) 52 , (x+y) 52 , we might multiply (x+y) (x+y) by itself fifty-two times. This could take hours! If we examine some simple binomial expansions, we can find patterns that will lead us to a shortcut for finding more complicated binomial expansions.

(x+y) 2 = x 2 +2xy+ y 2 (x+y) 3 = x 3 +3 x 2 y+3x y 2 + y 3 (x+y) 4 = x 4 +4 x 3 y+6 x 2 y 2 +4x y 3 + y 4 (x+y) 2 = x 2 +2xy+ y 2 (x+y) 3 = x 3 +3 x 2 y+3x y 2 + y 3 (x+y) 4 = x 4 +4 x 3 y+6 x 2 y 2 +4x y 3 + y 4

First, let’s examine the exponents. With each successive term, the exponent for x x decreases and the exponent for y y increases. The sum of the two exponents is n n for each term.

Next, let’s examine the coefficients. Notice that the coefficients increase and then decrease in a symmetrical pattern. The coefficients follow a pattern:

( n 0 ),( n 1 ),( n 2 ),...,( n n ). ( n 0 ),( n 1 ),( n 2 ),...,( n n ).

These patterns lead us to the Binomial Theorem, which can be used to expand any binomial.

(x+y) n = k=0 n ( n k ) x nk y k = x n +( n 1 ) x n1 y+( n 2 ) x n2 y 2 +...+( n n1 )x y n1 + y n (x+y) n = k=0 n ( n k ) x nk y k = x n +( n 1 ) x n1 y+( n 2 ) x n2 y 2 +...+( n n1 )x y n1 + y n

Another way to see the coefficients is to examine the expansion of a binomial in general form, x+y, x+y, to successive powers 1, 2, 3, and 4.

(x+y) 1 =x+y (x+y) 2 = x 2 +2xy+ y 2 (x+y) 3 = x 3 +3 x 2 y+3x y 2 + y 3 (x+y) 4 = x 4 +4 x 3 y+6 x 2 y 2 +4x y 3 + y 4 (x+y) 1 =x+y (x+y) 2 = x 2 +2xy+ y 2 (x+y) 3 = x 3 +3 x 2 y+3x y 2 + y 3 (x+y) 4 = x 4 +4 x 3 y+6 x 2 y 2 +4x y 3 + y 4

Can you guess the next expansion for the binomial (x+y) 5 ? (x+y) 5 ?

Graph of the function f_2.
Figure 1

See Figure 1, which illustrates the following:

  • There are n+1 n+1 terms in the expansion of (x+y) n . (x+y) n .
  • The degree (or sum of the exponents) for each term is n. n.
  • The powers on x x begin with n n and decrease to 0.
  • The powers on y y begin with 0 and increase to n. n.
  • The coefficients are symmetric.

To determine the expansion on (x+y) 5 , (x+y) 5 , we see n=5, n=5, thus, there will be 5+1 = 6 terms. Each term has a combined degree of 5. In descending order for powers of x, x, the pattern is as follows:

  • Introduce x 5 , x 5 , and then for each successive term reduce the exponent on x x by 1 until x 0 =1 x 0 =1 is reached.
  • Introduce y 0 =1, y 0 =1, and then increase the exponent on y y by 1 until y 5 y 5 is reached.
    x 5 , x 4 y, x 3 y 2 , x 2 y 3 ,x y 4 , y 5 x 5 , x 4 y, x 3 y 2 , x 2 y 3 ,x y 4 , y 5

The next expansion would be

(x+y) 5 = x 5 +5 x 4 y+10 x 3 y 2 +10 x 2 y 3 +5x y 4 + y 5 . (x+y) 5 = x 5 +5 x 4 y+10 x 3 y 2 +10 x 2 y 3 +5x y 4 + y 5 .

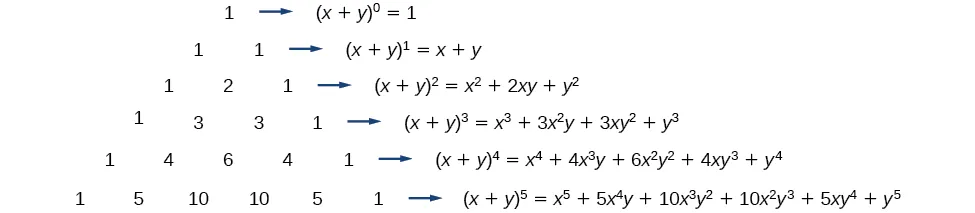
But where do those coefficients come from? The binomial coefficients are symmetric. We can see these coefficients in an array known as Pascal's Triangle, shown in Figure 2.

Pascal's Triangle
Figure 2

To generate Pascal’s Triangle, we start by writing a 1. In the row below, row 2, we write two 1’s. In the 3rd row, flank the ends of the rows with 1’s, and add 1+1 1+1 to find the middle number, 2. In the nth nth row, flank the ends of the row with 1’s. Each element in the triangle is the sum of the two elements immediately above it.

To see the connection between Pascal’s Triangle and binomial coefficients, let us revisit the expansion of the binomials in general form.

Pascal's Triangle expanded to show the values of the triangle as x and y terms with exponents

The Binomial Theorem

The Binomial Theorem is a formula that can be used to expand any binomial.

(x+y) n = k=0 n ( n k ) x nk y k = x n +( n 1 ) x n1 y+( n 2 ) x n2 y 2 +...+( n n1 )x y n1 + y n (x+y) n = k=0 n ( n k ) x nk y k = x n +( n 1 ) x n1 y+( n 2 ) x n2 y 2 +...+( n n1 )x y n1 + y n

How To

Given a binomial, write it in expanded form.

  1. Determine the value of n n according to the exponent.
  2. Evaluate the k=0 k=0 through k=n k=n using the Binomial Theorem formula.
  3. Simplify.

Example 2

Expanding a Binomial

Write in expanded form.

  1. (x+y) 5 (x+y) 5
  2. ( 3xy ) 4 ( 3xy ) 4

Analysis

Notice the alternating signs in part b. This happens because (y) (y) raised to odd powers is negative, but (y) (y) raised to even powers is positive. This will occur whenever the binomial contains a subtraction sign.

Try It #2

Write in expanded form.

  1. (xy) 5 (xy) 5
  2. (2x+5y) 3 (2x+5y) 3

Using the Binomial Theorem to Find a Single Term

Expanding a binomial with a high exponent such as (x+2y) 16 (x+2y) 16 can be a lengthy process.

Sometimes we are interested only in a certain term of a binomial expansion. We do not need to fully expand a binomial to find a single specific term.

Note the pattern of coefficients in the expansion of (x+y) 5 . (x+y) 5 .

(x+y) 5 = x 5 +( 5 1 ) x 4 y+( 5 2 ) x 3 y 2 +( 5 3 ) x 2 y 3 +( 5 4 )x y 4 + y 5 (x+y) 5 = x 5 +( 5 1 ) x 4 y+( 5 2 ) x 3 y 2 +( 5 3 ) x 2 y 3 +( 5 4 )x y 4 + y 5

The second term is ( 5 1 ) x 4 y. ( 5 1 ) x 4 y. The third term is ( 5 2 ) x 3 y 2 . ( 5 2 ) x 3 y 2 . We can generalize this result.

( n r ) x nr y r ( n r ) x nr y r

The (r+1)th Term of a Binomial Expansion

The (r+1)th (r+1)th term of the binomial expansion of (x+y) n (x+y) n is:

( n r ) x nr y r ( n r ) x nr y r

How To

Given a binomial, write a specific term without fully expanding.

  1. Determine the value of n n according to the exponent.
  2. Determine (r+1). (r+1).
  3. Determine r. r.
  4. Replace r r in the formula for the (r+1)th (r+1)th term of the binomial expansion.

Example 3

Writing a Given Term of a Binomial Expansion

Find the tenth term of (x+2y) 16 (x+2y) 16 without fully expanding the binomial.

Try It #3

Find the sixth term of (3xy) 9 (3xy) 9 without fully expanding the binomial.

Media

Access these online resources for additional instruction and practice with binomial expansion.

11.6 Section Exercises

Verbal

1.

What is a binomial coefficient, and how it is calculated?

2.

What role do binomial coefficients play in a binomial expansion? Are they restricted to any type of number?

3.

What is the Binomial Theorem and what is its use?

4.

When is it an advantage to use the Binomial Theorem? Explain.

Algebraic

For the following exercises, evaluate the binomial coefficient.

5.

( 6 2 ) ( 6 2 )

6.

( 5 3 ) ( 5 3 )

7.

( 7 4 ) ( 7 4 )

8.

( 9 7 ) ( 9 7 )

9.

( 10 9 ) ( 10 9 )

10.

( 25 11 ) ( 25 11 )

11.

( 17 6 ) ( 17 6 )

12.

( 200 199 ) ( 200 199 )

For the following exercises, use the Binomial Theorem to expand each binomial.

13.

(4ab) 3 (4ab) 3

14.

(5a+2) 3 (5a+2) 3

15.

(3a+2b) 3 (3a+2b) 3

16.

(2x+3y) 4 (2x+3y) 4

17.

(4x+2y) 5 (4x+2y) 5

18.

(3x2y) 4 (3x2y) 4

19.

(4x3y) 5 (4x3y) 5

20.

( 1 x +3y ) 5 ( 1 x +3y ) 5

21.

( x 1 +2 y 1 ) 4 ( x 1 +2 y 1 ) 4

22.

( x y ) 5 ( x y ) 5

For the following exercises, use the Binomial Theorem to write the first three terms of each binomial.

23.

(a+b) 17 (a+b) 17

24.

(x1) 18 (x1) 18

25.

(a2b) 15 (a2b) 15

26.

(x2y) 8 (x2y) 8

27.

(3a+b) 20 (3a+b) 20

28.

(2a+4b) 7 (2a+4b) 7

29.

( x 3 y ) 8 ( x 3 y ) 8

For the following exercises, find the indicated term of each binomial without fully expanding the binomial.

30.

The fourth term of (2x3y) 4 (2x3y) 4

31.

The fourth term of (3x2y) 5 (3x2y) 5

32.

The third term of (6x3y) 7 (6x3y) 7

33.

The eighth term of (7+5y) 14 (7+5y) 14

34.

The seventh term of (a+b) 11 (a+b) 11

35.

The fifth term of (xy) 7 (xy) 7

36.

The tenth term of (x1) 12 (x1) 12

37.

The ninth term of (a3 b 2 ) 11 (a3 b 2 ) 11

38.

The fourth term of ( x 3 1 2 ) 10 ( x 3 1 2 ) 10

39.

The eighth term of ( y 2 + 2 x ) 9 ( y 2 + 2 x ) 9

Graphical

For the following exercises, use the Binomial Theorem to expand the binomial f(x)= (x+3) 4 . f(x)= (x+3) 4 . Then find and graph each indicated sum on one set of axes.

40.

Find and graph f 1 (x), f 1 (x), such that f 1 (x) f 1 (x) is the first term of the expansion.

41.

Find and graph f 2 (x), f 2 (x), such that f 2 (x) f 2 (x) is the sum of the first two terms of the expansion.

42.

Find and graph f 3 (x), f 3 (x), such that f 3 (x) f 3 (x) is the sum of the first three terms of the expansion.

43.

Find and graph f 4 (x), f 4 (x), such that f 4 (x) f 4 (x) is the sum of the first four terms of the expansion.

44.

Find and graph f 5 (x), f 5 (x), such that f 5 (x) f 5 (x) is the sum of the first five terms of the expansion.

Extensions

45.

In the expansion of (5x+3y) n , (5x+3y) n , each term has the form ( n k ) a nk b k ( n k ) a nk b k , where k k successively takes on the value 0,1,2,...,n. 0,1,2,...,n. If ( n k )=( 7 2 ), ( n k )=( 7 2 ), what is the corresponding term?

46.

In the expansion of ( a+b ) n , ( a+b ) n , the coefficient of a nk b k a nk b k is the same as the coefficient of which other term?

47.

Consider the expansion of (x+b) 40 . (x+b) 40 . What is the exponent of b b in the kth kth term?

48.

Find ( n k1 )+( n k ) ( n k1 )+( n k ) and write the answer as a binomial coefficient in the form ( n k ). ( n k ). Prove it. Hint: Use the fact that, for any integer p, p, such that p1,p!=p(p1)!. p1,p!=p(p1)!.

49.

Which expression cannot be expanded using the Binomial Theorem? Explain.

  • ( x 2 2x+1) ( x 2 2x+1)
  • ( a +4 a 5) 8 ( a +4 a 5) 8
  • ( x 3 +2 y 2 z) 5 ( x 3 +2 y 2 z) 5
  • (3 x 2 2 y 3 ) 12 (3 x 2 2 y 3 ) 12
Citation/Attribution

This book may not be used in the training of large language models or otherwise be ingested into large language models or generative AI offerings without OpenStax's permission.

Want to cite, share, or modify this book? This book uses the Creative Commons Attribution License and you must attribute OpenStax.

Attribution information
  • If you are redistributing all or part of this book in a print format, then you must include on every physical page the following attribution:

    Access for free at https://openstax.org/books/precalculus/pages/1-introduction-to-functions

  • If you are redistributing all or part of this book in a digital format, then you must include on every digital page view the following attribution:

    Access for free at https://openstax.org/books/precalculus/pages/1-introduction-to-functions

Citation information

© Dec 8, 2021 OpenStax. Textbook content produced by OpenStax is licensed under a Creative Commons Attribution License . The OpenStax name, OpenStax logo, OpenStax book covers, OpenStax CNX name, and OpenStax CNX logo are not subject to the Creative Commons license and may not be reproduced without the prior and express written consent of Rice University.