Skip to ContentGo to accessibility pageKeyboard shortcuts menu
OpenStax Logo
Prealgebra 2e

7.2 Commutative and Associative Properties

Prealgebra 2e7.2 Commutative and Associative Properties
Search for key terms or text.

Learning Objectives

By the end of this section, you will be able to:

  • Use the commutative and associative properties
  • Evaluate expressions using the commutative and associative properties
  • Simplify expressions using the commutative and associative properties

Be Prepared 7.4

Before you get started, take this readiness quiz.

Simplify: 7y+2+y+13.7y+2+y+13.
If you missed this problem, review Example 2.22.

Be Prepared 7.5

Multiply: 23·18.23·18.
If you missed this problem, review Example 4.28.

Be Prepared 7.6

Find the opposite of 15.15.
If you missed this problem, review Example 3.3.

In the next few sections, we will take a look at the properties of real numbers. Many of these properties will describe things you already know, but it will help to give names to the properties and define them formally. This way we’ll be able to refer to them and use them as we solve equations in the next chapter.

Use the Commutative and Associative Properties

Think about adding two numbers, such as 55 and 3.3.

5+33+5885+33+588

The results are the same. 5+3=3+55+3=3+5

Notice, the order in which we add does not matter. The same is true when multiplying 55 and 3.3.

5·33·515155·33·51515

Again, the results are the same! 5·3=3·5.5·3=3·5. The order in which we multiply does not matter.

These examples illustrate the commutative properties of addition and multiplication.

Commutative Properties

Commutative Property of Addition: if aa and bb are real numbers, then

a+b=b+aa+b=b+a

Commutative Property of Multiplication: if aa and bb are real numbers, then

a·b=b·aa·b=b·a

The commutative properties have to do with order. If you change the order of the numbers when adding or multiplying, the result is the same.

Example 7.5

Use the commutative properties to rewrite the following expressions:

  1. −1+3=_____−1+3=_____

  2. 4·9=_____4·9=_____

Try It 7.9

Use the commutative properties to rewrite the following:

  1. −4+7=_____−4+7=_____
  2. 6·12=_____6·12=_____

Try It 7.10

Use the commutative properties to rewrite the following:

  1. 14+(−2)=_____14+(−2)=_____
  2. 3(−5)=_____3(−5)=_____

What about subtraction? Does order matter when we subtract numbers? Does 7373 give the same result as 37?37?

7337444−47337444−4
The results are not the same.7337The results are not the same.7337

Since changing the order of the subtraction did not give the same result, we can say that subtraction is not commutative.

Let’s see what happens when we divide two numbers. Is division commutative?

12÷44÷1212441231331312÷44÷12124412313313
The results are not the same. So12÷44÷12The results are not the same. So12÷44÷12

Since changing the order of the division did not give the same result, division is not commutative.

Addition and multiplication are commutative. Subtraction and division are not commutative.

Suppose you were asked to simplify this expression.

7+8+27+8+2

How would you do it and what would your answer be?

Some people would think 7+8is157+8is15 and then 15+2is17.15+2is17. Others might start with 8+2makes108+2makes10 and then 7+10makes17.7+10makes17.

Both ways give the same result, as shown in Figure 7.3. (Remember that parentheses are grouping symbols that indicate which operations should be done first.)

The image shows an equation. The left side of the equation shows the quantity 7 plus 8 in parentheses plus 2. The right side of the equation show 7 plus the quantity 8 plus 2. Each side of the equation is boxed separately in red. Each box has an arrow pointing from the box to the number 17 below.
Figure 7.3

When adding three numbers, changing the grouping of the numbers does not change the result. This is known as the Associative Property of Addition.

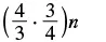
The same principle holds true for multiplication as well. Suppose we want to find the value of the following expression:

5·13·35·13·3

Changing the grouping of the numbers gives the same result, as shown in Figure 7.4.

The image shows an equation. The left side of the equation shows the quantity 5 times 1 third in parentheses times 3. The right side of the equation show 5 times the quantity 1 third times 3. Each side of the equation is boxed separately in red. Each box has an arrow pointing from the box to the number 5 below.
Figure 7.4

When multiplying three numbers, changing the grouping of the numbers does not change the result. This is known as the Associative Property of Multiplication.

If we multiply three numbers, changing the grouping does not affect the product.

You probably know this, but the terminology may be new to you. These examples illustrate the Associative Properties.

Associative Properties

Associative Property of Addition: if a,b,a,b, and cc are real numbers, then

(a+b)+c=a+(b+c)(a+b)+c=a+(b+c)

Associative Property of Multiplication: if a,b,a,b, and cc are real numbers, then

(a·b)·c=a·(b·c)(a·b)·c=a·(b·c)

Example 7.6

Use the associative properties to rewrite the following:

  1. (3+0.6)+0.4=__________(3+0.6)+0.4=__________

  2. (−4·25)·15=__________(−4·25)·15=__________

Try It 7.11

Use the associative properties to rewrite the following:
(1+0.7)+0.3=__________(1+0.7)+0.3=__________ (−9·8)·34=__________(−9·8)·34=__________

Try It 7.12

Use the associative properties to rewrite the following:
(4+0.6)+0.4=__________(4+0.6)+0.4=__________ (−2·12)·56=__________(−2·12)·56=__________

Besides using the associative properties to make calculations easier, we will often use it to simplify expressions with variables.

Example 7.7

Use the Associative Property of Multiplication to simplify: 6(3x).6(3x).

Try It 7.13

Use the Associative Property of Multiplication to simplify the given expression: 8(4x).8(4x).

Try It 7.14

Use the Associative Property of Multiplication to simplify the given expression: −9(7y).−9(7y).

Evaluate Expressions using the Commutative and Associative Properties

The commutative and associative properties can make it easier to evaluate some algebraic expressions. Since order does not matter when adding or multiplying three or more terms, we can rearrange and re-group terms to make our work easier, as the next several examples illustrate.

Example 7.8

Evaluate each expression when x=78.x=78.

  1. x+0.37+(x)x+0.37+(x)
  2. x+(x)+0.37x+(x)+0.37

Try It 7.15

Evaluate each expression when y=38:y=38: y+0.84+(y)y+0.84+(y) y+(y)+0.84.y+(y)+0.84.

Try It 7.16

Evaluate each expression when f=1720:f=1720: f+0.975+(f)f+0.975+(f) f+(f)+0.975.f+(f)+0.975.

Let’s do one more, this time with multiplication.

Example 7.9

Evaluate each expression when n=17.n=17.

  1. 43(34n)43(34n)

  2. (43·34)n(43·34)n

Try It 7.17

Evaluate each expression when p=24:p=24: 59(95p)59(95p) (59·95)p.(59·95)p.

Try It 7.18

Evaluate each expression when q=15:q=15: 711(117q)711(117q) (711·117)q(711·117)q

Simplify Expressions Using the Commutative and Associative Properties

When we have to simplify algebraic expressions, we can often make the work easier by applying the Commutative or Associative Property first instead of automatically following the order of operations. Notice that in Example 7.8 part was easier to simplify than part because the opposites were next to each other and their sum is 0.0. Likewise, part in Example 7.9 was easier, with the reciprocals grouped together, because their product is 1.1. In the next few examples, we’ll use our number sense to look for ways to apply these properties to make our work easier.

Example 7.10

Simplify: −84n+(−73n)+84n.−84n+(−73n)+84n.

Try It 7.19

Simplify: −27a+(−48a)+27a.−27a+(−48a)+27a.

Try It 7.20

Simplify: 39x+(−92x)+(−39x).39x+(−92x)+(−39x).

Now we will see how recognizing reciprocals is helpful. Before multiplying left to right, look for reciprocals—their product is 1.1.

Example 7.11

Simplify: 715·823·157.715·823·157.

Try It 7.21

Simplify: 916·549·169.916·549·169.

Try It 7.22

Simplify: 617·1125·176.617·1125·176.

In expressions where we need to add or subtract three or more fractions, combine those with a common denominator first.

Example 7.12

Simplify: (513+34)+14.(513+34)+14.

Try It 7.23

Simplify: (715+58)+38.(715+58)+38.

Try It 7.24

Simplify: (29+712)+512.(29+712)+512.

When adding and subtracting three or more terms involving decimals, look for terms that combine to give whole numbers.

Example 7.13

Simplify: (6.47q+9.99q)+1.01q.(6.47q+9.99q)+1.01q.

Try It 7.25

Simplify: (5.58c+8.75c)+1.25c.(5.58c+8.75c)+1.25c.

Try It 7.26

Simplify: (8.79d+3.55d)+5.45d.(8.79d+3.55d)+5.45d.

No matter what you are doing, it is always a good idea to think ahead. When simplifying an expression, think about what your steps will be. The next example will show you how using the Associative Property of Multiplication can make your work easier if you plan ahead.

Example 7.14

Simplify the expression: [ 1.67(8) ] (0.25).[ 1.67(8) ] (0.25).

Try It 7.27

Simplify: [1.17(4)](2.25).[1.17(4)](2.25).

Try It 7.28

Simplify: [3.52(8)](2.5).[3.52(8)](2.5).

When simplifying expressions that contain variables, we can use the commutative and associative properties to re-order or regroup terms, as shown in the next pair of examples.

Example 7.15

Simplify: 6(9x).6(9x).

Try It 7.29

Simplify: 8(3y).8(3y).

Try It 7.30

Simplify: 12(5z).12(5z).

In The Language of Algebra, we learned to combine like terms by rearranging an expression so the like terms were together. We simplified the expression 3x+7+4x+53x+7+4x+5 by rewriting it as 3x+4x+7+53x+4x+7+5 and then simplified it to 7x+12.7x+12. We were using the Commutative Property of Addition.

Example 7.16

Simplify: 18p+6q+(−15p)+5q.18p+6q+(−15p)+5q.

Try It 7.31

Simplify: 23r+14s+9r+(−15s).23r+14s+9r+(−15s).

Try It 7.32

Simplify: 37m+21n+4m+(−15n).37m+21n+4m+(−15n).

Section 7.2 Exercises

Practice Makes Perfect

Use the Commutative and Associative Properties

In the following exercises, use the commutative properties to rewrite the given expression.

20.

8 + 9 = ___ 8 + 9 = ___

21.

7 + 6 = ___ 7 + 6 = ___

22.

8 ( −12 ) = ___ 8 ( −12 ) = ___

23.

7 ( −13 ) = ___ 7 ( −13 ) = ___

24.

( −19 ) ( −14 ) = ___ ( −19 ) ( −14 ) = ___

25.

( −12 ) ( −18 ) = ___ ( −12 ) ( −18 ) = ___

26.

−11 + 8 = ___ −11 + 8 = ___

27.

−15 + 7 = ___ −15 + 7 = ___

28.

x + 4 = ___ x + 4 = ___

29.

y + 1 = ___ y + 1 = ___

30.

−2 a = ___ −2 a = ___

31.

−3 m = ___ −3 m = ___

In the following exercises, use the associative properties to rewrite the given expression.

32.

( 11 + 9 ) + 14 = ___ ( 11 + 9 ) + 14 = ___

33.

( 21 + 14 ) + 9 = ___ ( 21 + 14 ) + 9 = ___

34.

( 12 · 5 ) · 7 = ___ ( 12 · 5 ) · 7 = ___

35.

( 14 · 6 ) · 9 = ___ ( 14 · 6 ) · 9 = ___

36.

( −7 + 9 ) + 8 = ___ ( −7 + 9 ) + 8 = ___

37.

( −2 + 6 ) + 7 = ___ ( −2 + 6 ) + 7 = ___

38.

( 16 · 4 5 ) · 15 = ___ ( 16 · 4 5 ) · 15 = ___

39.

( 13 · 2 3 ) · 18 = ___ ( 13 · 2 3 ) · 18 = ___

40.

3 ( 4 x ) = ___ 3 ( 4 x ) = ___

41.

4 ( 7 x ) = ___ 4 ( 7 x ) = ___

42.

( 12 + x ) + 28 = ___ ( 12 + x ) + 28 = ___

43.

( 17 + y ) + 33 = ___ ( 17 + y ) + 33 = ___

Evaluate Expressions using the Commutative and Associative Properties

In the following exercises, evaluate each expression for the given value.

44.

If y=58,y=58, evaluate:

  1. y+0.49+(y)y+0.49+(y)
  2. y+(y)+0.49y+(y)+0.49
45.

If z=78,z=78, evaluate:

  1. z+0.97+(z)z+0.97+(z)
  2. z+(z)+0.97z+(z)+0.97
46.

If c=114,c=114, evaluate:

  1. c+3.125+(c)c+3.125+(c)
  2. c+(c)+3.125c+(c)+3.125
47.

If d=94,d=94, evaluate:

  1. d+2.375+(d)d+2.375+(d)
  2. d+(d)+2.375d+(d)+2.375
48.

If j=11,j=11, evaluate:

  1. 56(65j)56(65j)
  2. (56·65)j(56·65)j
49.

If k=21,k=21, evaluate:

  1. 413(134k)413(134k)
  2. (413·134)k(413·134)k
50.

If m=−25,m=−25, evaluate:

  1. 37(73m)37(73m)
  2. (37·73)m(37·73)m
51.

If n=−8,n=−8, evaluate:

  1. 521(215n)521(215n)
  2. (521·215)n(521·215)n

Simplify Expressions Using the Commutative and Associative Properties

In the following exercises, simplify.

52.

−45 a + 15 + 45 a −45 a + 15 + 45 a

53.

9 y + 23 + ( −9 y ) 9 y + 23 + ( −9 y )

54.

1 2 + 7 8 + ( 1 2 ) 1 2 + 7 8 + ( 1 2 )

55.

2 5 + 5 12 + ( 2 5 ) 2 5 + 5 12 + ( 2 5 )

56.

3 20 · 49 11 · 20 3 3 20 · 49 11 · 20 3

57.

13 18 · 25 7 · 18 13 13 18 · 25 7 · 18 13


58.

7 12 · 9 17 · 24 7 7 12 · 9 17 · 24 7

59.

3 10 · 13 23 · 50 3 3 10 · 13 23 · 50 3

60.

−24 · 7 · 3 8 −24 · 7 · 3 8

61.

−36 · 11 · 4 9 −36 · 11 · 4 9

62.

( 5 6 + 8 15 ) + 7 15 ( 5 6 + 8 15 ) + 7 15

63.

( 1 12 + 4 9 ) + 5 9 ( 1 12 + 4 9 ) + 5 9

64.

5 13 + 3 4 + 1 4 5 13 + 3 4 + 1 4

65.

8 15 + 5 7 + 2 7 8 15 + 5 7 + 2 7

66.

( 4.33 p + 1.09 p ) + 3.91 p ( 4.33 p + 1.09 p ) + 3.91 p

67.

( 5.89 d + 2.75 d ) + 1.25 d ( 5.89 d + 2.75 d ) + 1.25 d

68.

17 ( 0.25 ) ( 4 ) 17 ( 0.25 ) ( 4 )

69.

36 ( 0.2 ) ( 5 ) 36 ( 0.2 ) ( 5 )

70.

[ 2.48 ( 12 ) ] ( 0.5 ) [ 2.48 ( 12 ) ] ( 0.5 )

71.

[ 9.731 ( 4 ) ] ( 0.75 ) [ 9.731 ( 4 ) ] ( 0.75 )

72.

7 ( 4 a ) 7 ( 4 a )

73.

9 ( 8 w ) 9 ( 8 w )

74.

−15 ( 5 m ) −15 ( 5 m )

75.

−23 ( 2 n ) −23 ( 2 n )

76.

12 ( 5 6 p ) 12 ( 5 6 p )

77.

20 ( 3 5 q ) 20 ( 3 5 q )

78.

14 x + 19 y + 25 x + 3 y 14 x + 19 y + 25 x + 3 y

79.

15 u + 11 v + 27 u + 19 v 15 u + 11 v + 27 u + 19 v

80.

43 m + ( −12 n ) + ( −16 m ) + ( −9 n ) 43 m + ( −12 n ) + ( −16 m ) + ( −9 n )

81.

−22 p + 17 q + ( −35 p ) + ( −27 q ) −22 p + 17 q + ( −35 p ) + ( −27 q )

82.

3 8 g + 1 12 h + 7 8 g + 5 12 h 3 8 g + 1 12 h + 7 8 g + 5 12 h

83.

5 6 a + 3 10 b + 1 6 a + 9 10 b 5 6 a + 3 10 b + 1 6 a + 9 10 b

84.

6.8 p + 9.14 q + ( −4.37 p ) + ( −0.88 q ) 6.8 p + 9.14 q + ( −4.37 p ) + ( −0.88 q )

85.

9.6 m + 7.22 n + ( −2.19 m ) + ( −0.65 n ) 9.6 m + 7.22 n + ( −2.19 m ) + ( −0.65 n )

Everyday Math

86.

Stamps Allie and Loren need to buy stamps. Allie needs four $0.49$0.49 stamps and nine $0.02$0.02 stamps. Loren needs eight $0.49$0.49 stamps and three $0.02$0.02 stamps.

  1. How much will Allie’s stamps cost?

  2. How much will Loren’s stamps cost?

  3. What is the total cost of the girls’ stamps?

  4. How many $0.49$0.49 stamps do the girls need altogether? How much will they cost?

  5. How many $0.02$0.02 stamps do the girls need altogether? How much will they cost?

87.

Counting Cash Grant is totaling up the cash from a fundraising dinner. In one envelope, he has twenty-three $5$5 bills, eighteen $10$10 bills, and thirty-four $20$20 bills. In another envelope, he has fourteen $5$5 bills, nine $10$10 bills, and twenty-seven $20$20 bills.

  1. How much money is in the first envelope?

  2. How much money is in the second envelope?

  3. What is the total value of all the cash?

  4. What is the value of all the $5$5 bills?

  5. What is the value of all $10$10 bills?

  6. What is the value of all $20$20 bills?

Writing Exercises

88.

In your own words, state the Commutative Property of Addition and explain why it is useful.

89.

In your own words, state the Associative Property of Multiplication and explain why it is useful.

Self Check

After completing the exercises, use this checklist to evaluate your mastery of the objectives of this section.

.

After reviewing this checklist, what will you do to become confident for all objectives?

Citation/Attribution

This book may not be used in the training of large language models or otherwise be ingested into large language models or generative AI offerings without OpenStax's permission.

Want to cite, share, or modify this book? This book uses the Creative Commons Attribution License and you must attribute OpenStax.

Attribution information
  • If you are redistributing all or part of this book in a print format, then you must include on every physical page the following attribution:

    Access for free at https://openstax.org/books/prealgebra-2e/pages/1-introduction

  • If you are redistributing all or part of this book in a digital format, then you must include on every digital page view the following attribution:

    Access for free at https://openstax.org/books/prealgebra-2e/pages/1-introduction

Citation information

© Jul 8, 2025 OpenStax. Textbook content produced by OpenStax is licensed under a Creative Commons Attribution License . The OpenStax name, OpenStax logo, OpenStax book covers, OpenStax CNX name, and OpenStax CNX logo are not subject to the Creative Commons license and may not be reproduced without the prior and express written consent of Rice University.