Skip to ContentGo to accessibility pageKeyboard shortcuts menu
OpenStax Logo
Organic Chemistry

9.5 Reduction of Alkynes

Organic Chemistry9.5 Reduction of Alkynes
Search for key terms or text.

9.5 • Reduction of Alkynes

Alkynes are reduced to alkanes by addition of H2 over a metal catalyst. The reaction occurs in two steps through an alkene intermediate, and measurements show that the first step in the reaction is more exothermic than the second.

Acetylene reacts with hydrogen and catalyst to form ethene. Ethene reacts with hydrogen and catalyst to form ethane. The standard enthalpy of hydrogen for both reactions is given.

Complete reduction to the alkane occurs when palladium on carbon (Pd/C) is used as catalyst, but hydrogenation can be stopped at the alkene stage if the less active Lindlar catalyst is used. The Lindlar catalyst is a finely divided palladium metal that has been precipitated onto a calcium carbonate support and then deactivated by treatment with lead acetate and quinoline, an aromatic amine. The hydrogenation occurs with syn stereochemistry (Section 8.5), giving a cis alkene product.

The reaction shows 4-octyne reacting with hydrogen and Lindlar's catalyst to give cis-4-octene. This reacts with hydrogen, and palladium catalyst to form octane. Quinoline is also used in the process.

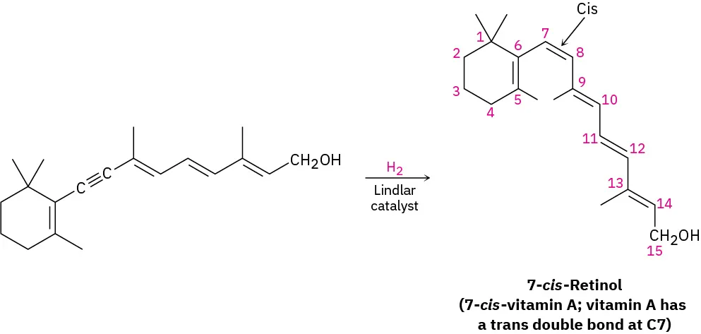
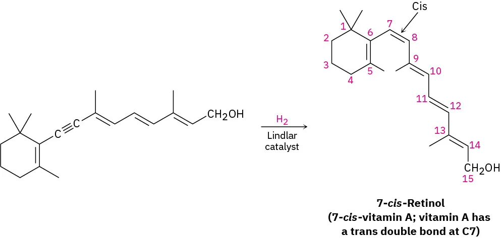
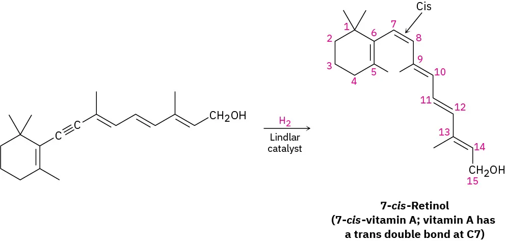
The alkyne hydrogenation reaction has been explored extensively by the Hoffmann–LaRoche pharmaceutical company, where it is used in the commercial synthesis of vitamin A. The cis isomer of vitamin A produced initially on hydrogenation is converted to the trans isomer by heating.

An alkyne reacts with hydrogen and Lindlar catalyst to give 7-cis-retinol (7-cis-vitamin A; vitamin A has a trans double bond at C7).

An alternative method for the conversion of an alkyne to an alkene uses sodium or lithium metal as the reducing agent in liquid ammonia as solvent. This method is complementary to the Lindlar reduction because it produces trans rather than cis alkenes. For example, 5-decyne gives trans-5-decene on treatment with lithium in liquid ammonia. The mechanism is explained below.

The figure shows 5-decyne reacting with lithium and ammonia to form trans-5-decene (78%).

Alkali metals dissolve in liquid ammonia at −33 °C to produce a deep blue solution containing the metal cation and ammonia-solvated electrons. When an alkyne is then added to the solution, reduction occurs by the mechanism shown in Figure 9.5. An electron first adds to the triple bond to yield an intermediate anion radical—a species that is both an anion (has a negative charge) and a radical (has an odd number of electrons). This anion radical is a strong base, able to remove H+ from ammonia to give a vinylic radical. Addition of a second electron to the vinylic radical gives a vinylic anion, which abstracts a second H+ from ammonia to give trans alkene product.

Figure 9.5 MECHANISM
Mechanism of the lithium/ammonia reduction of an alkyne to produce a trans alkene.
The figure shows the mechanism of reduction of an alkyne in the presence of lithium and ammonium in four steps to give a trans alkene.

Trans stereochemistry of the alkene product is established during the second reduction step (3) when the less-hindered trans vinylic anion is formed from the vinylic radical. Vinylic radicals undergo rapid cis–trans equilibration, but vinylic anions equilibrate much less rapidly. Thus, the more stable trans vinylic anion is formed rather than the less stable cis anion and is then protonated without equilibration.

Problem 9-8
Using any alkyne needed, how would you prepare the following alkenes?
(a)
trans-2-Octene
(b)
cis-3-Heptene
(c)
3-Methyl-1-pentene
Citation/Attribution

This book may not be used in the training of large language models or otherwise be ingested into large language models or generative AI offerings without OpenStax's permission.

Want to cite, share, or modify this book? This book uses the Creative Commons Attribution-NonCommercial-ShareAlike License and you must attribute OpenStax.

Attribution information
  • If you are redistributing all or part of this book in a print format, then you must include on every physical page the following attribution:

    Access for free at https://openstax.org/books/organic-chemistry/pages/1-why-this-chapter

  • If you are redistributing all or part of this book in a digital format, then you must include on every digital page view the following attribution:

    Access for free at https://openstax.org/books/organic-chemistry/pages/1-why-this-chapter

Citation information

© Jul 9, 2025 OpenStax. Textbook content produced by OpenStax is licensed under a Creative Commons Attribution-NonCommercial-ShareAlike License . The OpenStax name, OpenStax logo, OpenStax book covers, OpenStax CNX name, and OpenStax CNX logo are not subject to the Creative Commons license and may not be reproduced without the prior and express written consent of Rice University.