Skip to ContentGo to accessibility pageKeyboard shortcuts menu
OpenStax Logo
Organic Chemistry

Additional Problems

Organic ChemistryAdditional Problems
Search for key terms or text.

7 • Additional Problems

7 • Additional Problems

Visualizing Chemistry

Problem 7-22
Name the following alkenes, and convert each drawing into a skeletal structure:
(a)
The ball-and-stick model has a 6-carbon chain. C2 is double bonded to C3. C2, C4, and C5 are each bonded to a methyl group.
(b)
The ball-and-stick model has a cyclohexene ring. C1 is bonded to an ethyl group. C3 is bonded to two methyl groups.
Problem 7-23
Assign E or Z stereochemistry to the double bonds in each of the following alkenes, and convert each drawing into a skeletal structure (red = O, green = Cl):
(a)
The ball-and-stick model has a 2-carbon chain with double bond. C1 is bonded to chlorine and methyl. C2 is bonded to an aldehyde and an isopropyl group.
(b)
The ball-and-stick model has 5-carbon chain with alternate double bonds. C2 and C3 are each bonded to methyl. C4 is bonded to methoxy. C5 is carboxylic acid.
Problem 7-24

The following carbocation is an intermediate in the electrophilic addition reaction of HCl with two different alkenes. Identify both, and tell which C−H bonds in the carbocation are aligned for hyperconjugation with the vacant p orbital on the positively charged carbon.

The ball-and-stick model has a cyclopentane ring. C1 is bonded to an ethyl group. The gray and white spheres represent carbon and hydrogen atoms, respectively.
Problem 7-25

The following alkyl bromide can be made by HBr addition to three different alkenes. Show their structures.

The ball-and-stick model has a cyclohexane ring. C1 is bonded to bromine and ethyl group. C3 is bonded to a methyl group.

Mechanism Problems

Problem 7-26
Predict the major product and show the complete mechanism for each of the following electrophilic addition reactions.
(a)
An incomplete reaction shows vinylcyclohexane reacting with hydrogen chloride to form unknown product(s) indicated by a question mark.
(b)
An incomplete reaction shows 4-methyl-1-pentene reacting with hydrogen bromide to form unknown product(s) indicated by a question mark.
(c)
An incomplete reaction shows 1-methylcyclopentene reacting with K I and phosphoric acid to form unknown product(s) indicated by a question mark.
Problem 7-27
Each of the following electrophilic addition reactions involves a carbocation rearrangement. Predict the product and draw the complete mechanism of each using curved arrows.
(a)
An incomplete reaction shows 3-methyl-1-pentene reacting with hydrogen chloride to form unknown product(s) indicated by a question mark.
(b)
An incomplete reaction shows 3,6-dimethylcyclohexene reacting with hydrogen bromide to form unknown product(s) indicated by a question mark.
(c)
An incomplete reaction shows vinylcyclobutane reacting with K I and phosphoric acid to form unknown product(s) indicated by a question mark. Text says two different rearrangement products.
Problem 7-28

When 1,3-butadiene reacts with 1 mol of HBr, two isolable products result. Propose mechanisms for both.

A reaction shows 1,3-butadiene reacting with hydrogen bromide to form 3-bromo-1-butene and trans-1-bromo-2-butene.
Problem 7-29

When methyl vinyl ether reacts with a strong acid, H+ adds to C2 instead of C1 or the oxygen atom. Explain.

The structure of methyl vinyl ether shows C1 bonded to a methoxy group and a hydrogen atom. C2 is bonded to two hydrogen atoms.
Problem 7-30

Addition of HCl to 1-isopropylcyclohexene yields a rearranged product. Propose a mechanism, showing the structures of the intermediates and using curved arrows to indicate electron flow in each step.

Cyclohexene with an isopropyl group at C1 reacts with hydrogen chloride to form a product that has a central carbon bonded to two methyl groups, chlorine, and cyclohexane.
Problem 7-31

Addition of HCl to 1-isopropenyl-1-methylcyclopentane yields 1-chloro-1,2,2-trimethylcyclohexane. Propose a mechanism, showing the structures of the intermediates and using curved arrows to indicate electron flow in each step.

Cyclopentane bonded to a methyl group and C2 of propene reacts with hydrogen chloride to form 1-chloro-1,2,2-trimethylcyclohexane.
Problem 7-32

Limonene, a fragrant hydrocarbon found in lemons and oranges, is biosynthesized from geranyl diphosphate by the following pathway. Add curved arrows to show the mechanism of each step. Which step involves an alkene electrophilic addition? (The ion OP2O64− is the diphosphate ion, and “Base” is an unspecified base in the enzyme that catalyzes the reaction.)

A 3-step biosynthesis reaction shows the formation of limonene from geranyl diphosphate.
Problem 7-33

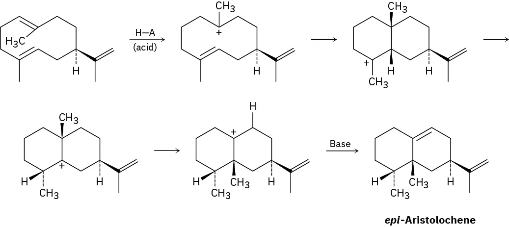
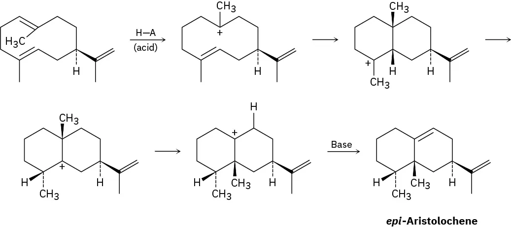
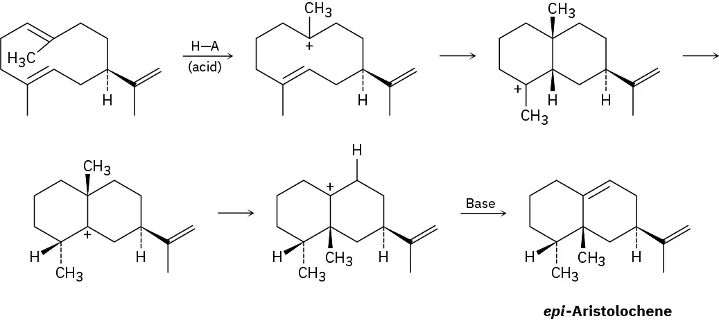
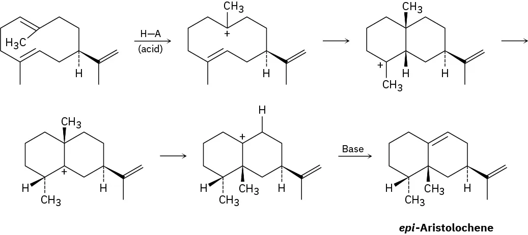
epi-Aristolochene, a hydrocarbon found in both pepper and tobacco, is biosynthesized by the following pathway. Add curved arrows to show the mechanism of each step. Which steps involve alkene electrophilic addition(s), and which involve carbocation rearrangement(s)? (The abbreviation H—A stands for an unspecified acid, and “Base” is an unspecified base in the enzyme.)

A 5-step reaction shows the formation of epi-Aristolochene. H-A (acid) is used in first step and base in the last step.

Calculating a Degree of Unsaturation

Problem 7-34
Calculate the degree of unsaturation in the following formulas, and draw five possible structures for each:
(a)
C10H16
(b)
C8H8O
(c)
C7H10Cl2
(d)
C10H16O2
(e)
C5H9NO2
(f)
C8H10ClNO
Problem 7-35
How many hydrogens does each of the following compounds have?
(a)
C8H?O2, has two rings and one double bond
(b)
C7H?N, has two double bonds
(c)
C9H?NO, has one ring and three double bonds
Problem 7-36

Loratadine, marketed as an antiallergy medication under the brand name Claritin, has four rings, eight double bonds, and the formula C22H?ClN2O2. How many hydrogens does loratadine have? (Calculate your answer; don’t count hydrogens in the structure.)

The structure of Loratadine.

Naming Alkenes

Problem 7-37
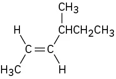
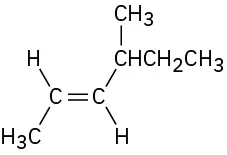
Name the following alkenes:
(a)
A double bond with hydrogen (up) and methyl (down) substituents on the left and s-butyl (up) and hydrogen (down) substituents on the right.
(b)
A double bond with 2-methylheptane connected by C 5 (up) and methyl (down) substituents on the left and methyl (up) and hydrogen (down) substituents on the right.
(c)
A double bond withtwo hydrogen substituents on the left and two ethyl substituents on the right.
(d)
A double bond with H (up) and 3-methyl-1-pentene connected by C 4 (down) substituents on the left and methyl (up) and hydrogen (down) substituents on the right.
(e)
An 8-carbon chain with double bonds between C2-C3 and C4-C5. C4 and C5 are each bonded to a methyl group (opposite sides).
(f)
The structure has a methylene group double bonded to carbon, which is double bonded to C H C H 3.
Problem 7-38
Draw structures corresponding to the following systematic names:
(a)
(4E)-2,4-Dimethyl-1,4-hexadiene
(b)
cis-3,3-Dimethyl-4-propyl-1,5-octadiene
(c)
4-Methyl-1,2-pentadiene
(d)
(3E,5Z)-2,6-Dimethyl-1,3,5,7-octatetraene
(e)
3-Butyl-2-heptene
(f)
trans-2,2,5,5-Tetramethyl-3-hexene
Problem 7-39
Name the following cycloalkenes:
(a)
A six-membered ring with one double bond. There is a methyl group one carbon from the double bond.
(b)
A five-membered ring with one double bond. There are methyl groups on a double-bonded carbon and on the single-bonded carbon next to it.
(c)
A four-membered ring with two double bonds. There is one ethyl substituent.
(d)
A six-membered ring with two double bonds opposite one another on the ring. There are methyl groups at each end of one double bond.
(e)
A six-membered ring with two double bonds separated by one single bond. There is one methyl group one carbon away from the end of one double bond.
(f)
An eight-membered ring with two double bonds opposite one another on the ring.
Problem 7-40

Ocimene is a triene found in the essential oils of many plants. What is its IUPAC name, including stereochemistry?

An eight-carbon chain with bonds (from left) as: single, double, single, single, double, single, double. There are methyl groups at the second and sixth carbons from the left.
Problem 7-41

α-Farnesene is a constituent of the natural wax found on apples. What is its IUPAC name, including stereochemistry?

Twelve-carbon chain with bonds (from left) as: single, double, single, single, single, double, single, single, double, single, double. Methyl groups at the second, sixth, and tenth carbons from the left.
Problem 7-42
Menthene, a hydrocarbon found in mint plants, has the systematic name 1-isopropyl-4-methylcyclohexene. Draw its structure.
Problem 7-43
Draw and name the six alkene isomers, C5H10, including E,Z isomers.
Problem 7-44
Draw and name the 17 alkene isomers, C6H12, including E,Z isomers.

Alkene Isomers and Their Stability

Problem 7-45
Rank the following sets of substituents according to the Cahn–Ingold–Prelog sequence rules:
(a)
The figure shows four sets of substituents. Methyl, bromine, hydrogen, and iodine each with an open single bond.
(b)
The figure shows four sets of substituents. A hydroxyl group, methoxy group, hydrogen atom, and carboxylic acid group each with an open single bond.
(c)
The figure shows four sets of substituents. Carboxyl, methyl ester, hydroxymethyl, and methyl each with an open single bond.
(d)
The figure shows three sets of substituents. Methyl, ethyl, C H 2 C H 2 O H, and acetyl group bonded to methyl each with an open single bond.
(e)
The figure shows four sets of substituents. Vinyl, cyano, C H 2 N H 2, and bromomethyl each with an open single bond.
(f)
The figure shows four sets of substituents. Vinyl, ethyl, C H 2 O C H 3, and hydroxymethyl with open single bonds.
Problem 7-46
Assign E or Z configuration to each of the following compounds:
(a)
A double bond with hydroxymethyl (up) and methyl (down) substituents on the left and methyl (up) and hydrogen (down) substituents on the right.
(b)
A double bond with carbonyl (up) and chlorine (down) substituents on the left and hydrogen (up) and methoxy (down) substituents on the right.
(c)
A double bond with nitrile (up) and ethyl (down) substituents on the left and methyl (up) and hydroxymethyl (down) substituents on the right.
(d)
A double bond with methyl ester (up) and carboxyl (down) substituents on the left and vinyl (up) and ethyl (down) substituents on the right.
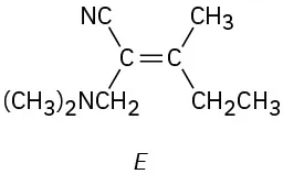
Problem 7-47
Which of the following E,Z designations are correct, and which are incorrect?
(a)
The structure labeled Z shows C1 of a cyclohexane ring double bonded to carbon, which is bonded to a carboxylic acid group (up). C3 (up) is bonded to a methyl group.
(b)
The structure labeled E has a double bond with hydrogen (up) and methyl (down) substituents on the left and allyl (up) and s-butyl (down) substituents on the right.
(c)
Structure labeled Z has double bond. C1 has bromine (up). C2 has C H 2 N H 2 (up) and C H 2 N H C H 3.
(d)
Structure labeled E has double bond. C1 has nitrile (up) and C H 2 N (C H 3) 2. C2 has methyl (up) and ethyl.
(e)
The structure labeled Z shows C1 of cyclopentane double bonded to carbon, which is single bonded to bromine and hydrogen atom.
(f)
Structure labeled E has double bond. C1 has hydroxymethyl (up) and C H 2 O C H 3. C2 has carboxyl (up) and acetyl.
Problem 7-48
Rank the double bonds according to their increasing stability.
(a)
Dimethylcyclopentane with double bond between C1-C6, dimethylcyclopentane with a double bond between C1-C2, and cyclopentane with double bonded methylene at C1 and methyl at C2.
(b)
Cyclohexane fused to cyclohexene with the double bond opposite the fusion, two cyclohexanes with a shared double bond, and cyclohexane fused to cyclohexene with the double bond adjacent to fusion.
(c)
Pent-2-ene with methyl at C3, a pentane with double-bonded methylene at C3, and 1-pentene with a methyl group at C3.
Problem 7-49
trans-2-Butene is more stable than cis-2-butene by only 4 kJ/mol, but trans-2,2,5,5-tetramethyl-3-hexene is more stable than its cis isomer by 39 kJ/mol. Explain.
Problem 7-50
Cyclodecene can exist in both cis and trans forms, but cyclohexene cannot. Explain.
Problem 7-51
Normally, a trans alkene is more stable than its cis isomer. trans-Cyclooctene, however, is less stable than cis-cyclooctene by 38.5 kJ/mol. Explain.
Problem 7-52
trans-Cyclooctene is less stable than cis-cyclooctene by 38.5 kJ/mol, but trans-cyclononene is less stable than cis-cyclononene by only 12.2 kJ/mol. Explain.
Problem 7-53

Tamoxifen, a drug used in the treatment of breast cancer, and clomiphene, a drug used in fertility treatment, have similar structures but very different effects. Assign E or Z configuration to the double bonds in both compounds.

The structures of Tamoxifen (anticancer) and Clomiphene (fertility treatment).

Carbocations and Electrophilic Addition Reactions

Problem 7-54
Rank the following carbocations according to their increasing stability.
(a)
Isopropyl with a positive charge at central carbon, a 4-carbon chain with a positive charge at C1, and another 4-carbon chain with a positive charge at C2.
(b)
Cyclopentane bonded to methyl with positive charge on it, cyclopentane with a positive charge at C1 bonded to methyl, and cyclopentane with a positive charge bonded to methyl group.
(c)
Three structures show cyclohexane fused to cyclopentane with shared methyl. Carbocation at carbon opposite fusion in cyclopentane, on methyl, and at a fusion site in first, second, and third structure.
Problem 7-55
Use the Hammond Postulate to determine which alkene in each pair would be expected to form a carbocation faster in an electrophilic addition reaction.
(a)
Structures of 3-methyl-1-pentene and E-3-methyl-2-pentene.
(b)
Structures of methylenecyclopentane and 4-methylcyclopentene.
(c)
Structures of 3-methyl-1-butene and 3-methyl-2-butene
Problem 7-56
The following carbocations can be stabilized by resonance. Draw all the resonance forms that would stabilize each carbocation.
(a)
2-methyl-1,4-pentadiene with carbocation on C 3 in resonance with an unknown compound indicated by question mark.
(b)
A cyclohexadiene ring with a positive charge at C 6 and a nitro group at C 5 in resonance with an unknown compound indicated by question mark.
(c)
3-methoxy-1-butene with carbocation on C 3 in resonance with an unknown compound indicated by question mark.
Problem 7-57
Predict the major product in each of the following reactions:
(a)
An incomplete reaction shows 3-methyl-3-hexene reacting with water and sulfuric acid to form unknown product(s) indicated by a question mark. Text says addition of H 2 O occurs.
(b)
An incomplete reaction shows 1-ethylcyclopentene reacting with H Br to form unknown product(s) indicated by a question mark.
(c)
An incomplete reaction shows 3-methylcyclohexene reacting with H Br to form unknown product(s) indicated by a question mark.
(d)
An incomplete reaction shows 1,6-heptadiene reacting with 2 equivalents of H Cl to form unknown product(s) indicated by a question mark.
Problem 7-58
Predict the major product from addition of HBr to each of the following alkenes:
(a)
A cyclohexane ring is double bonded to a methylene group.
(b)
A cyclohexane ring is fused to C1 and C6 of cyclohexene.
(c)
The condensed structure has a 5-carbon chain. C2 is double bonded to C3. C4 is bonded to a methyl group.
Problem 7-59
Alkenes can be converted into alcohols by acid-catalyzed addition of water. Assuming that Markovnikov’s rule is valid, predict the major alcohol product from each of the following alkenes.
(a)
The condensed structure has a 5-carbon chain. C2 is double bonded to C3. C3 is bonded to a methyl group.
(b)
A cyclohexane ring is double-bonded to a methylene group.
(c)
The condensed structure has a 5-carbon chain. C1 is double bonded to C2. C4 is bonded to a methyl group.
Problem 7-60
Each of the following carbocations can rearrange to a more stable ion. Propose structures for the likely rearrangement products.
(a)
A 4-carbon chain with a positive charge at C1.
(b)
A 4-carbon chain with a positive charge at C2 and a methyl group at C3.
(c)
A cyclobutane ring. C1 is bonded to a methyl group and a methylene group with a positive charge.

General Problems

Problem 7-61
Allene (1,2-propadiene), H2C = C = CH2, has two adjacent double bonds. What kind of hybridization must the central carbon have? Sketch the bonding π orbitals in allene. What shape do you predict for allene?
Problem 7-62
The heat of hydrogenation for allene (Problem 7-61) to yield propane is −295 kJ/mol, and the heat of hydrogenation for a typical monosubstituted alkene, such as propene, is −125 kJ/mol. Is allene more stable or less stable than you might expect for a diene? Explain.
Problem 7-63

Retin A, or retinoic acid, is a medication commonly used to reduce wrinkles and treat severe acne. How many different isomers arising from E,Z double-bond isomerizations are possible?

The structure of retin A (retinoic acid): one double bond in a ring, and four double bonds in a long substituent chain, each with two different substituents at each carbon.
Problem 7-64

Fucoserratene and ectocarpene are sex pheromones produced by marine brown algae. What are their systematic names? (Ectocarpene is difficult; make your best guess, and then check your answer in the Student Solutions Manual.)

The structures of fucoserratene and ectocarpene.
Problem 7-65

tert-Butyl esters [RCO2C(CH3)3] are converted into carboxylic acids (RCO2H) by reaction with trifluoroacetic acid, a reaction useful in protein synthesis (Section 26.7). Assign E,Z designation to the double bonds of both reactant and product in the following scheme, and explain why there is an apparent change in double-bond stereochemistry:

The figure shows tertiary-butyl ester reacts with trifluoroacetic acid to form a carboxylic acid and an alkene.
Problem 7-66

Vinylcyclopropane reacts with HBr to yield a rearranged alkyl bromide. Follow the flow of electrons as represented by the curved arrows, show the structure of the carbocation intermediate in brackets, and show the structure of the final product.

A 2-step reaction shows vinylcyclopropane reacting with hydrogen bromide via abstraction of hydrogen and alkyl shift. The intermediate and products are unknown.
Problem 7-67
Calculate the degree of unsaturation in each of the following formulas:
(a)
Cholesterol, C27H46O
(b)
DDT, C14H9Cl5
(c)
Prostaglandin E1, C20H34O5
(d)
Caffeine, C8H10N4O2
(e)
Cortisone, C21H28O5
(f)
Atropine, C17H23NO3
Problem 7-68

The isobutyl cation spontaneously rearranges to the tert-butyl cation by a hydride shift. Is the rearrangement exergonic or endergonic? Draw what you think the transition state for the hydride shift might look like according to the Hammond postulate.

The figure shows isobutyl cation converts to tertiary-butyl cation.
Problem 7-69
Draw an energy diagram for the addition of HBr to 1-pentene. Let one curve on your diagram show the formation of 1-bromopentane product and another curve on the same diagram show the formation of 2-bromopentane product. Label the positions for all reactants, intermediates, and products. Which curve has the higher-energy carbocation intermediate? Which curve has the higher-energy first transition state?
Problem 7-70
Sketch the transition-state structures involved in the reaction of HBr with 1-pentene (Problem 7-69). Tell whether each structure resembles reactant or product.
Problem 7-71

Aromatic compounds such as benzene react with alkyl chlorides in the presence of AlCl3 catalyst to yield alkylbenzenes. This reaction occurs through a carbocation intermediate, formed by reaction of the alkyl chloride with AlCl3 (R−Cl + AlCl3 ⟶ R+ + AlCl4). How can you explain the observation that reaction of benzene with 1-chloropropane yields isopropylbenzene as the major product?

Benzene reacts with propyl chloride in the presence of aluminum trichloride to form a benzene ring, in which C1 is bonded to an isopropyl group.
Problem 7-72
Reaction of 2,3-dimethyl-1-butene with HBr leads to an alkyl bromide, C6H13Br. On treatment of this alkyl bromide with KOH in methanol, elimination of HBr occurs and a hydrocarbon that is isomeric with the starting alkene is formed. What is the structure of this hydrocarbon, and how do you think it is formed from the alkyl bromide?
Citation/Attribution

This book may not be used in the training of large language models or otherwise be ingested into large language models or generative AI offerings without OpenStax's permission.

Want to cite, share, or modify this book? This book uses the Creative Commons Attribution-NonCommercial-ShareAlike License and you must attribute OpenStax.

Attribution information
  • If you are redistributing all or part of this book in a print format, then you must include on every physical page the following attribution:

    Access for free at https://openstax.org/books/organic-chemistry/pages/1-why-this-chapter

  • If you are redistributing all or part of this book in a digital format, then you must include on every digital page view the following attribution:

    Access for free at https://openstax.org/books/organic-chemistry/pages/1-why-this-chapter

Citation information

© Jul 9, 2025 OpenStax. Textbook content produced by OpenStax is licensed under a Creative Commons Attribution-NonCommercial-ShareAlike License . The OpenStax name, OpenStax logo, OpenStax book covers, OpenStax CNX name, and OpenStax CNX logo are not subject to the Creative Commons license and may not be reproduced without the prior and express written consent of Rice University.