Skip to ContentGo to accessibility pageKeyboard shortcuts menu
OpenStax Logo
Organic Chemistry

Additional Problems

Organic ChemistryAdditional Problems
Search for key terms or text.

5 • Additional Problems

5 • Additional Problems

Visualizing Chemistry

Problem 5-26

Which of the following structures are identical? (Green = Cl.)

(a)The ball-and-stick model shows a 3-carbon chain. C1 is a carboxylic acid group on the right. A chlorine atom is bonded to C2  above and a methyl group below C2. (b)The ball-and-stick model shows a 3-carbon  chain. C1 is a carboxylic acid group  on the left. C2 is bonded to a chlorine atom at the top behind the C2 hydrogen. (c)The ball-and-stick model shows a 3-carbon  chain. C1 is a carboxylic acid group on the left. C2 is bonded to a chlorine atom on the right the methyl group above.
(d)The ball-and-stick model shows a 3-carbon  chain. C1 is a carboxylic acid group on the left. C2 is bonded to a chlorine atom in front of the C2 hydrogen

Problem 5-27
Assign R or S configurations to the chirality centers in the following molecules (blue = N):
(a)
The ball-and-stick model of serine. Gray, black, blue, and red spheres represent hydrogen, carbon, nitrogen, and oxygen, respectively.
(b)
The ball-and-stick model of adrenaline. Gray, black, blue, and red spheres represent hydrogen, carbon, nitrogen, and oxygen, respectively.
Problem 5-28
Which, if any, of the following structures represent meso compounds? (Blue = N, green = Cl.)
(a)
The ball-and-stick model has a cyclopentane ring. C1 and C3 are each bonded to cis hydroxyl groups where red spheres represent oxygen atoms.
(b)
The ball-and-stick model has a 5-carbon chain. C2 and C4 are each bonded to an amino group where blue spheres represent nitrogen atoms.
(c)
The ball-and-stick model has a 4-carbon chain. C2 and C3 are each bonded to a chlorine atom where green spheres represent chlorine atoms.
Problem 5-29

Assign R or S configuration to each chirality center in pseudoephedrine, an over-the-counter decongestant found in cold remedies (blue = N).

The ball-and-stick model of pseudoephedrine. Gray, black, blue, and red spheres represent hydrogen, carbon, nitrogen, and oxygen, respectively.
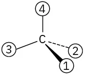
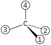
Problem 5-30
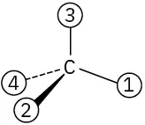
Orient each of the following drawings so that the lowest-ranked group is toward the rear, and then assign R or S configuration:
(a)
A carbon is single-bonded to substituents 1 (top) and 3(right), wedge bonded to 2 (front), and dash bonded to 4 (left).
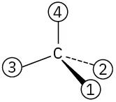
(b)
A carbon is single-bonded to substituents 3 (top) and 4 (right), wedge bonded to 1 (front), and dash bonded to 2 (left).
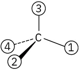
(c)
A carbon is single-bonded to substituents 4 (top) and 2 (right), wedge bonded to 3 (front), and dash bonded to 1 (left).

Chirality and Optical Activity

Problem 5-31

Which of the following objects are chiral?

(a) A basketball (b) A fork (c) A wine glass (d) A golf club (e) A spiral staircase 
(f) A snowflake

Problem 5-32
Which of the following compounds are chiral? Draw them, and label the chirality centers.
(a)
2,4-Dimethylheptane
(b)
5-Ethyl-3,3-dimethylheptane
(c)
cis-1,4-Dichlorocyclohexane
Problem 5-33
Draw chiral molecules that meet the following descriptions:
(a)
A chloroalkane, C5H11Cl
(b)
An alcohol, C6H14O
(c)
An alkene, C6H12
(d)
An alkane, C8H18
Problem 5-34
Eight alcohols have the formula C5H12O. Draw them. Which are chiral?
Problem 5-35
Draw compounds that fit the following descriptions:
(a)
A chiral alcohol with four carbons
(b)
A chiral carboxylic acid with the formula C5H10O2
(c)
A compound with two chirality centers
(d)
A chiral aldehyde with the formula C3H5BrO
Problem 5-36

Erythronolide B is the biological precursor of erythromycin, a broad-spectrum antibiotic. How many chirality centers does erythronolide B have? Identify them.

The wedge-dash structure of erythronolide B.

Assigning Configuration to Chirality Centers

Problem 5-37
Which of the following pairs of structures represent the same enantiomer, and which represent different enantiomers?
(a)
A carbon is single-bonded to bromine (top), cyano (right), wedge bonded to hydrogen (front), and dash bonded to methyl (left). The second structure, the positions of substituents are different.
(b)
A carbon is single-bonded to carboxylic acid (top), bromo (right), wedge bonded to cyano (front), and dash bonded to hydrogen (left). The second structure, the positions of substituents are different.
(c)
A carbon is single-bonded to methyl (top),hydroxyl (right), wedge bonded to ethyl (front), and dash bonded to hydrogen (left). The second structure, the positions of substituents are different.
(d)
A carbon is single-bonded to methyl (top), carboxylic acid (right), wedge bonded to amine (front), and dash bonded to hydrogen (left). The second structure, the positions of substituents are different.
Problem 5-38
What is the relationship between the specific rotations of (2R,3R)-dichloropentane and (2S,3S)-dichloropentane? Between (2R,3S)-dichloropentane and (2R,3R)-dichloropentane?
Problem 5-39
What is the stereochemical configuration of the enantiomer of (2S,4R)-2,4-octanediol?
Problem 5-40
What are the stereochemical configurations of the two diastereomers of (2S,4R)-2,4-octanediol? (A diol is a compound with two – OH groups.)
Problem 5-41
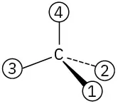
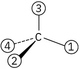
Orient each of the following drawings so that the lowest-ranked group is toward the rear, and then assign R or S configuration:
(a)
A carbon is single-bonded to substituents 4 (top) and 3 (right), wedge bonded to 2 (front), and dash bonded to 1 (left).
(b)
A carbon is single-bonded to substituents 3 (top) and 1 (right), wedge bonded to 2 (front), and dash bonded to 4 (left).
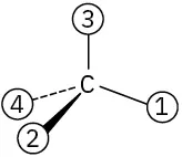
(c)
A carbon is single-bonded to substituents 4 (top) and 2 (right), wedge bonded to 1 (front), and dash bonded to 2 (left).
Problem 5-42
Assign Cahn–Ingold–Prelog rankings to the following sets of substituents:
(a)
C H double bonded to C H 2, C H (C H 3) 2, C (C H 3) 3, and C H 2 C H 3 with open single bonds.
(b)
C triple bonded to C H, C H double bonded to C H 2, C (C H 3) 3, and benzene each with an open single bond.
(c)
C O 2 C H 3, C O C H 3, C H 2 O C H 3, and C H 2 C H 3, with open single bonds.
(d)
Four substituents are C triple bonded to N, C H 2 Br, C H 2 C H 2 Br, and Br each with an open single bond.
Problem 5-43
Assign R or S configurations to each chirality center in the following molecules:
(a)
A carbon is single-bonded to wedge hydrogen (front),  dash bonded to hydroxyl (behind ), ethyl (right), and methyl (left).
(b)
A carbon is single-bonded to wedge chlorine atom (front),  dash bonded to hydrogen atom (behind ), methyl (right), and phenyl (left).
(c)
A carbon is single-bonded to wedge hyrdrogen atom (front),  dash bonded to methoxy group (behind ), carboxylic acid  (right), and hydroxymethyl group (left).
Problem 5-44
Assign R or S configuration to each chirality center in the following molecules:
(a)
In a cyclohexane ring, C1 is dash bonded to the hydroxyl group and wedge bonded to hydrogen. C2 is wedge bonded to chlorine and dash bonded to hydrogen.
(b)
In a cyclohexane ring, C1 is wedge bonded to hydrogen and dash bonded to the ethyl group. C2 is dash bonded to hydrogen and wedge bonded to methyl group.
(c)
In a cyclopentane ring, C1 and C3 are each wedge bonded to a hydroxyl group and dash bonded to a methyl group.
Problem 5-45
Assign R or S configuration to each chirality center in the following biological molecules:
(a)
The wedge-dash structure of biotin.
(b)
The wedge-dash structure of prostaglandin E 1.
Problem 5-46
Draw tetrahedral representations of the following molecules:
(a)
(S)-2-Chlorobutane
(b)
(R)-3-Chloro-1-pentene [H2C = CHCH(Cl)CH2CH3]
Problem 5-47
Assign R or S configuration to each chirality center in the following molecules:
(a)
In a 4-carbon chain, C2 and C3 are each wedge bonded to a bromine atom and dash bonded to a hydrogen atom.
(b)
A 4-carbon chain at C1 is a carboxylic acid group (right). C2 is wedge bonded to amino. C3 is wedge bonded to hydroxyl and C4 is bonded to benzene.
Problem 5-48

Assign R or S configurations to the chirality centers in ascorbic acid (vitamin C).

The wedge-dash structure of ascorbic acid.
Problem 5-49
Assign R or S stereochemistry to the chirality centers in the following Newman projections:
(a)
Newman projection of a 4-carbon chain with front carbon chlorine, hydrogen, and methyl substituents (clockwise). The back carbon has hydrogen, methyl, and hydrogen substituents (clockwise).
(b)
Newman projection of a 4-carbon chain with front carbon hydrogen, methyl, and methyl substituents (clockwise). The back carbon has hydroxyl, hydrogen, and methyl  substituents (clockwise).
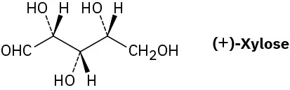
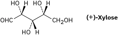
Problem 5-50

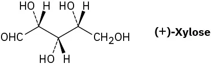
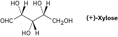
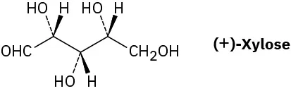
Xylose is a common sugar found in many types of wood, including maple and cherry. Because it is much less prone to cause tooth decay than sucrose, xylose has been used in candy and chewing gum. Assign R or S configurations to the chirality centers in xylose.

Acyclic wedge-dash structure of (plus)-xylose.

Meso Compounds

Problem 5-51
Draw examples of the following:
(a)
A meso compound with the formula C8H18
(b)
A meso compound with the formula C9H20
(c)
A compound with two chirality centers, one R and the other S
Problem 5-52
Draw the meso form of each of the following molecules, and indicate the plane of symmetry in each:
(a)
In a 6-carbon chain, C2 and C5 are each bonded to hydroxyl groups.
(b)
In a cyclohexane ring, C1 and C3 are each bonded to methyl groups.
(c)
In a cyclohexane ring, C1 and C3 are each bonded to methyl groups.
Problem 5-53
Draw the structure of a meso compound that has five carbons and three chirality centers.
Problem 5-54

Ribose, an essential part of ribonucleic acid (RNA), has the following structure:

Acyclic wedge-dash structure of ribose.
(a)
How many chirality centers does ribose have? Identify them.
(b)
How many stereoisomers of ribose are there?
(c)
Draw the structure of the enantiomer of ribose.
(d)
Draw the structure of a diastereomer of ribose.
Problem 5-55

On reaction with hydrogen gas in the presence of a platinum catalyst, ribose (Problem 5-54) is converted into ribitol. Is ribitol optically active or inactive? Explain.

Acyclic wedge-dash structure of ribitol.

Prochirality

Problem 5-56
Identify the indicated hydrogens in the following molecules as pro-R or pro-S:
(a)
Wedge-dash structure of malic acid. Two arrows point toward the pro-S  and pro-R hydrogen atoms bonded at C3.
(b)
Wedge-dash structure of methionine zwitterion. Arrows point toward the pro-S  and pro-R hydrogen atoms bonded at C3 and C4.
(c)
Wedge-dash structure of cysteine zwitterion. Arrows point toward the pro-S and pro-R hydrogen atoms bonded at C3.
Problem 5-57
Identify the indicated faces in the following molecules as Re or Si:
(a)
The structure of pyruvate. Two arrows, one from the top and the other from bottom, point toward the central carbon.
(b)
The structure of crotonate. Two arrows, one from the top and the other from bottom, point toward C3.
Problem 5-58

One of the steps in fat metabolism is the hydration of crotonate to yield 3-hydroxybutyrate. The reaction occurs by addition of  – OH to the Si face at C3, followed by protonation at C2, also from the Si face. Draw the product of the reaction, showing the stereochemistry of each step.

The figure shows a reaction where crotonate converts to 3-hydroxybutyrate. In crotonate, the double bond is between C2 and C3.
Problem 5-59

The dehydration of citrate to yield cis-aconitate, a step in the citric acid cycle, involves the pro-R “arm” of citrate rather than the pro-S arm. Which of the following two products is formed?

The figure shows a reaction where citrate converts to two forms of cis-aconitate structures.
Problem 5-60

The first step in the metabolism of glycerol, formed by digestion of fats, is phosphorylation of the pro-R – CH2OH group by reaction with adenosine triphosphate (ATP) to give the corresponding glycerol phosphate plus adenosine diphosphate (ADP). Show the stereochemistry of the product.

The figure shows a reaction where glycerol on the conversion of A T P to A D P forms glycerol phosphate.
Problem 5-61

One of the steps in fatty-acid biosynthesis is the dehydration of (R)-3-hydroxybutyryl ACP to give trans-crotonyl ACP. Does the reaction remove the pro-R or the pro-S hydrogen from C2?

The dehydration of (R)-3-hydroxybutyryl A C P to form trans-crotonyl A C P.

General Problems

Problem 5-62
Draw all possible stereoisomers of 1,2-cyclobutanedicarboxylic acid, and indicate the interrelationships. Which, if any, are optically active? Do the same for 1,3-cyclobutanedicarboxylic acid.
Problem 5-63
Draw tetrahedral representations of the two enantiomers of the amino acid cysteine, HSCH2CH(NH2)CO2H, and identify each as R or S.
Problem 5-64

The naturally occurring form of the amino acid cysteine (Problem 5-63) has the R configuration at its chirality center. On treatment with a mild oxidizing agent, two cysteines join to give cystine, a disulfide. Assuming that the chirality center is not affected by the reaction, is cystine optically active? Explain.

The figure shows a reaction where two molecules of cysteine convert to cystine.
Problem 5-65
Draw tetrahedral representations of the following molecules:
(a)
The 2S,3R enantiomer of 2,3-dibromopentane
(b)
The meso form of 3,5-heptanediol
Problem 5-66

Assign R or S configurations to the chiral centers in cephalexin, trade-named Keflex, the most widely prescribed antibiotic in the United States.

The wedge-dash structure of cephalexin.
Problem 5-67

Chloramphenicol, a powerful antibiotic isolated in 1947 from the Streptomyces venezuelae bacterium, is active against a broad spectrum of bacterial infections and is particularly valuable against typhoid fever. Assign R or S configurations to the chirality centers in chloramphenicol.

The wedge-dash structure of chloramphenicol.
Problem 5-68

Allenes are compounds with adjacent carbon–carbon double bonds. Many allenes are chiral, even though they don’t contain chirality centers. Mycomycin, for example, a naturally occurring antibiotic isolated from the bacterium Nocardia acidophilus, is chiral and has [α]D = −130. Explain why mycomycin is chiral.

The condensed structural formula of mycomycin.
Problem 5-69

Long before chiral allenes were known (Problem 5-68), the resolution of 4-methylcyclohexylideneacetic acid into two enantiomers had been carried out. Why is it chiral? What geometric similarity does it have to allenes?

The wedge-dash structure of 4-methylcyclohexylideneacetic acid.
Problem 5-70
(S)-1-Chloro-2-methylbutane undergoes light-induced reaction with Cl2 to yield a mixture of products, among which are 1,4-dichloro-2-methylbutane and 1,2-dichloro-2-methylbutane.
(a)
Write the reaction, showing the correct stereochemistry of the reactant.
(b)
One of the two products is optically active, but the other is optically inactive. Which is which?
Problem 5-71
How many stereoisomers of 2,4-dibromo-3-chloropentane are there? Draw them, and indicate which are optically active.
Problem 5-72
Draw both cis- and trans-1,4-dimethylcyclohexane in their more stable chair conformations.
(a)
How many stereoisomers are there of cis-1,4-dimethylcyclohexane, and how many of trans-1,4-dimethylcyclohexane?
(b)
Are any of the structures chiral?
(c)
What are the stereochemical relationships among the various stereoisomers of 1,4-dimethylcyclohexane?
Problem 5-73
Draw both cis- and trans-1,3-dimethylcyclohexane in their more stable chair conformations.
(a)
How many stereoisomers are there of cis-1,3-dimethylcyclohexane, and how many of trans-1,3-dimethylcyclohexane?
(b)
Are any of the structures chiral?
(c)
What are the stereochemical relationships among the various stereoisomers of 1,3-dimethylcyclohexane?
Problem 5-74
cis-1,2-Dimethylcyclohexane is optically inactive even though it has two chirality centers. Explain.
Problem 5-75

We’ll see in Chapter 11 that alkyl halides react with hydrosulfide ion (HS) to give a product whose stereochemistry is inverted from that of the reactant.

Draw the reaction of (S)-2-bromobutane with HS ion to yield 2-butanethiol, CH3CH2CH(SH)CH3. Is the stereochemistry of the product R or S?

The figure shows a reaction where an alkyl bromide reacts with H S anion  to form a thiol compound and a bromide ion.
Problem 5-76

Ketones react with sodium acetylide (the sodium salt of acetylene, Na+– : C CH) to give alcohols. For example, the reaction of sodium acetylide with 2-butanone yields 3-methyl-1-pentyn-3-ol:

In a reaction, 2-butanone reacts with Na superscript plus C superscript minus triple bonded to C H in first step and hydronium ion in the second step to form 3-methyl-1-pentyn-3-ol.
(a)
Is the product chiral?
(b)
Assuming that the reaction takes place with equal likelihood from both Re and Si faces of the carbonyl group, is the product optically active? Explain.
Problem 5-77

Imagine that a reaction similar to that in Problem 5-76 is carried out between sodium acetylide and (R)-2-phenylpropanal to yield 4-phenyl-1-pentyn-3-ol:

In a reaction, (R)-2-phenylpropanal reacts with Na superscript plus C superscript minus triple bonded to C H in first step and hydronium ion in the second step to form 4-phenyl-1-pentyn-3-ol.
(a)
Is the product chiral?
(b)
Draw both major and minor reaction products, assuming that the reaction takes place preferentially from the Re face of the carbonyl group. Is the product mixture optically active? Explain.
Citation/Attribution

This book may not be used in the training of large language models or otherwise be ingested into large language models or generative AI offerings without OpenStax's permission.

Want to cite, share, or modify this book? This book uses the Creative Commons Attribution-NonCommercial-ShareAlike License and you must attribute OpenStax.

Attribution information
  • If you are redistributing all or part of this book in a print format, then you must include on every physical page the following attribution:

    Access for free at https://openstax.org/books/organic-chemistry/pages/1-why-this-chapter

  • If you are redistributing all or part of this book in a digital format, then you must include on every digital page view the following attribution:

    Access for free at https://openstax.org/books/organic-chemistry/pages/1-why-this-chapter

Citation information

© Jul 9, 2025 OpenStax. Textbook content produced by OpenStax is licensed under a Creative Commons Attribution-NonCommercial-ShareAlike License . The OpenStax name, OpenStax logo, OpenStax book covers, OpenStax CNX name, and OpenStax CNX logo are not subject to the Creative Commons license and may not be reproduced without the prior and express written consent of Rice University.