Skip to ContentGo to accessibility pageKeyboard shortcuts menu
OpenStax Logo
Organic Chemistry

Additional Problems

Organic ChemistryAdditional Problems
Search for key terms or text.

4 • Additional Problems

4 • Additional Problems

Visualizing Chemistry

Problem 4-22
Name the following cycloalkanes:
(a)
The ball and stick model of cyclopentane. C1 is bonded to an equatorial ethyl group. C3 is bonded to an equatorial methyl group. Black and gray spheres represent carbon and hydrogen, respectively.
(b)
The ball and stick model of cyclohexane. C1 is bonded to two methyl groups. C3 is bonded to an equilarial methyl group. Black and gray spheres represent carbon and hydrogen, respectively.
Problem 4-23

Name the following compound, identify each substituent as axial or equatorial, and tell whether the conformation shown is the more stable or less stable chair form (green = Cl):

The ball and stick model of substituted cyclohexane, represented by its chair conformation. C1 is bonded to an equatorial  chlorine atom (green sphere). C3 is bonded to an axial methyl group.
Problem 4-24

A trisubstituted cyclohexane with three substituents—red, green, and blue—undergoes a ring-flip to its alternate chair conformation. Identify each substituent as axial or equatorial, and show the positions occupied by the three substituents in the ring-flipped form.

Ball and stick model of substituted cyclohexane with red, blue, and green spheres at C1, C2, and C5 undergoes ring-flip to form model with all substituents, represented by white circles.
Problem 4-25

The following cyclohexane derivative has three substituents—red, green, and blue. Identify each substituent as axial or equatorial, and identify each pair of relationships (red–blue, red–green, and blue–green) as cis or trans.

The ball and stick model of cyclohexane. C1 is axially bonded to a green sphere. C2 and C5 are equatorially bonded to a blue sphere and a red sphere, respectively.
Problem 4-26

Glucose exists in two forms having a 36:64 ratio at equilibrium. Draw a skeletal structure of each, describe the difference between them, and tell which of the two you think is more stable (red = O).

The ball and stick models of alpha-glucose and beta-glucose. In alpha-glucose, C1 is bonded to an axial hydroxyl group (below the ring). In beta-glucose, C1 is bonded to an equatorial hydroxyl group (above the ring).

Cycloalkane Isomers

Problem 4-27
Draw the five cycloalkanes with the formula C5H10.
Problem 4-28
Give IUPAC names for the following compounds.
(a)
In a 7-membered ring, C1 is bonded to a methyl group.
(b)
In a cyclopentane ring, C1 and C3 are each wedge bonded to methyl groups and dash bonded to hydrogen atoms.
(c)
In a cyclohexane ring, C1 is dash bonded to methyl and wedge bonded to hydrogen atom. C2 is wedge bonded to methyl and dash bonded to hydrogen.
(d)
In a cyclobutane ring, C1 is wedge bonded to an isopropyl group. C2 is dash bonded to a methyl group.
(e)
In a cyclohexane ring, C1 is bonded to two methyl groups. C4 is bonded to a single methyl group.
Problem 4-29
Draw a stereoisomer of trans-1,3-dimethylcyclobutane.
Problem 4-30
Tell whether the following pairs of compounds are identical, constitutional isomers, stereoisomers, or unrelated.
(a)
cis-1,3-Dibromocyclohexane and trans-1,4-dibromocyclohexane
(b)
2,3-Dimethylhexane and 2,3,3-trimethylpentane
(c)
Two structures of cyclopentane each with  chlorine atoms at first and third carbons. The relative position of the chlorine atoms are cis in both structures.
Problem 4-31
Draw three isomers of trans-1,2-dichlorocyclobutane, and label them as either constitutional isomers or stereoisomers.
Problem 4-32

Identify each pair of relationships among the –OH groups in glucose (red–blue, red–green, red–black, blue–green, blue–black, green–black) as cis or trans.

The Haworth projection of glucose has a pyranose ring with its four carbons bonded to hydroxyl groups and one carbon is bonded to a hydroxymethyl group.
Problem 4-33
Draw 1,3,5-trimethylcyclohexane using a hexagon to represent the ring. How many cis–trans stereoisomers are possible?

Cycloalkane Conformation and Stability

Problem 4-34

Hydrocortisone, a naturally occurring hormone produced in the adrenal glands, is often used to treat inflammation, severe allergies, and numerous other conditions. Is the indicated −OH group axial or equatorial?

The chair conformation of hydrocortisone. The axial hydroxyl group bonded at C11 of the third ring is highlighted.
Problem 4-35
A 1,2-cis disubstituted cyclohexane, such as cis-1,2-dichlorocyclohexane, must have one group axial and one group equatorial. Explain.
Problem 4-36
A 1,2-trans disubstituted cyclohexane must have either both groups axial or both groups equatorial. Explain.
Problem 4-37
Why is a 1,3-cis disubstituted cyclohexane more stable than its trans isomer?
Problem 4-38
Which is more stable, a 1,4-trans disubstituted cyclohexane or its cis isomer?
Problem 4-39
cis-1,2-Dimethylcyclobutane is less stable than its trans isomer, but cis-1,3-dimethylcyclobutane is more stable than its trans isomer. Draw the most stable conformations of both, and explain.
Problem 4-40
From the data in Figure 4.13 and Table 4.1, estimate the percentages of molecules that have their substituents in an axial orientation for the following compounds:
(a)
Isopropylcyclohexane
(b)
Fluorocyclohexane
(c)
Cyclohexanecarbonitrile, C6H11CN
Problem 4-41
Assume that you have a variety of cyclohexanes substituted in the positions indicated. Identify the substituents as either axial or equatorial. For example, a 1,2-cis relationship means that one substituent must be axial and one equatorial, whereas a 1,2-trans relationship means that both substituents are axial or both are equatorial.
(a)
1,3-Trans disubstituted
(b)
1,4-Cis disubstituted
(c)
1,3-Cis disubstituted
(d)
1,5-Trans disubstituted
(e)
1,5-Cis disubstituted
(f)
1,6-Trans disubstituted

Cyclohexane Conformational Analysis

Problem 4-42
Draw the two chair conformations of cis-1-chloro-2-methylcyclohexane. Which is more stable, and by how much?
Problem 4-43
Draw the two chair conformations of trans-1-chloro-2-methylcyclohexane. Which is more stable?
Problem 4-44

Galactose, a sugar related to glucose, contains a six-membered ring in which all the substituents except the –OH group, indicated below in red, are equatorial. Draw galactose in its more stable chair conformation.

The wedge-dash structure of galactose.
Problem 4-45

Draw the two chair conformations of menthol, and tell which is more stable.

The wedge-dash structure of menthol.
Problem 4-46
There are four cis–trans isomers of menthol (Problem 4-45), including the one shown. Draw the other three.
Problem 4-47
The diaxial conformation of cis-1,3-dimethylcyclohexane is approximately 23 kJ/mol (5.4 kcal/mol) less stable than the diequatorial conformation. Draw the two possible chair conformations, and suggest a reason for the large energy difference.
Problem 4-48
Approximately how much steric strain does the 1,3-diaxial interaction between the two methyl groups introduce into the diaxial conformation of cis-1,3-dimethylcyclohexane? (See Problem 4-47.)
Problem 4-49
In light of your answer to Problem 4-48, draw the two chair conformations of 1,1,3-trimethylcyclohexane and estimate the amount of strain energy in each. Which conformation is favored?
Problem 4-50
One of the two chair structures of cis-1-chloro-3-methylcyclohexane is more stable than the other by 15.5 kJ/mol (3.7 kcal/mol). Which is it? What is the energy cost of a 1,3-diaxial interaction between a chlorine and a methyl group?

General Problems

Problem 4-51
We saw in Problem 4-20 that cis-decalin is less stable than trans-decalin. Assume that the 1,3-diaxial interactions in cis-decalin are similar to those in axial methylcyclohexane [that is, one CH2↔H interaction costs 3.8 kJ/mol (0.9 kcal/mol)], and calculate the magnitude of the energy difference between cis- and trans-decalin.
Problem 4-52
Using molecular models as well as structural drawings, explain why trans-decalin is rigid and cannot ring-flip whereas cis-decalin can easily ring-flip.
Problem 4-53

trans-Decalin is more stable than its cis isomer, but cis-bicyclo[4.1.0]heptane is more stable than its trans isomer. Explain.

Trans-Decalin has two cyclohexane rings fused together. Cis-Bicyclo[4.1.0]heptane has a cyclohexane ring fused to a cyclopropane ring.
Problem 4-54

As mentioned in Problem 3-53, the statin drugs, such as simvastatin (Zocor), pravastatin (Pravachol), and atorvastatin (Lipitor) are the most widely prescribed drugs in the world.

The structures of simvastatin (Zocor), pravastatin (Pravachol), and atorvastatin (Lipitor).
(a)
Are the two indicated bonds on simvastatin cis or trans?
(b)
What are the cis/trans relationships among the three indicated bonds on pravastatin?
(c)
Why can’t the three indicated bonds on atorvastatin be identified as cis or trans?
Problem 4-55

myo-Inositol, one of the isomers of 1,2,3,4,5,6-hexahydroxycyclohexane, acts as a growth factor in both animals and microorganisms. Draw the most stable chair conformation of myo-inositol.

The structure of myo-inositol has a cyclohexane ring wedge bonded to four hydroxyl groups and dash bonded to two hydroxyl groups at different carbons.
Problem 4-56
How many cis–trans stereoisomers of myo-inositol (Problem 4-55) are there? Draw the structure of the most stable isomer.
Problem 4-57

Julius Bredt, discoverer of the structure of camphor, proposed in 1935 that bicycloalkenes such as 1-norbornene, which have a double bond to a bridgehead carbon, are too strained to exist. Explain. (Making a molecular model will be helpful.

The structure of 1-norbornene, in which C1 forms a bridge with C4 through a methylene group. C1 is double bonded to C2.
Problem 4-58
Tell whether each of the following substituents on a steroid is axial or equatorial. (A substituent that is “up” is on the top side of the molecule as drawn, and a substituent that is “down” is on the bottom side.
(a)
Substituent up at C3
(b)
Substituent down at C7
(c)

Substituent down at C11

Chair conformation of the steroid ring system with three cyclohexane rings fused together and one cyclopentane ring. Hydrogen atom and  methyl groups are bonded to the top face of the ring junctions.
Problem 4-59

Amantadine is an antiviral agent that is active against influenza type A infection. Draw a three-dimensional representation of amantadine, showing the chair cyclohexane rings.

The structure of Amantadine.
Problem 4-60

There are two different isomers named trans-1,2-dimethylcyclopentane. Similarly, you have two different appendages called hands. What is the relationship between them? (We’ll explore this kind of isomerism in the next chapter.)

Two structures of two isomers, trans-1,2-dimethylcyclopentane. The position of one methyl group is different in both structures.
Problem 4-61

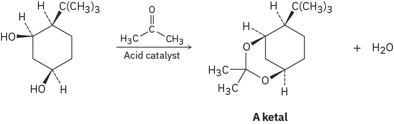
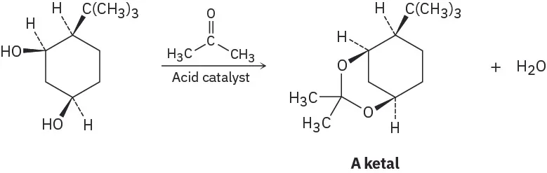
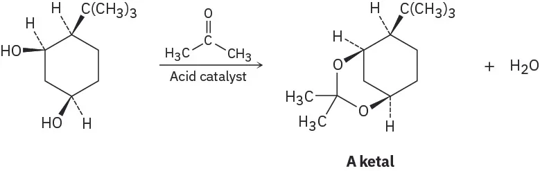
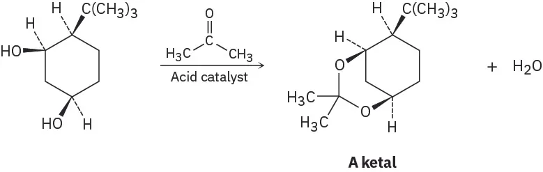
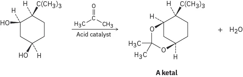
Ketones react with alcohols to yield products called ketals. Why does the all-cis isomer of 4-tert-butyl-1,3-cyclohexanediol react readily with acetone and an acid catalyst to form a ketal, but other stereoisomers do not react? In formulating your answer, draw the more stable chair conformations of all four stereoisomers and the product ketal for each one.

In a reaction, 1R,3R,4S)-4-tertiary-butyl-1,3-cyclohexanediol reacts with acetone in the presence of acid catalyst to form an acetal (no change in stereochemistry) and water.
Problem 4-62

Alcohols undergo an oxidation reaction to yield carbonyl compounds when treatment with CrO3. For example, 2-tert-butylcyclohexanol gives 2-tert-butylcyclohexanone. If axial −OH groups are generally more reactive than their equatorial isomers, which do you think reacts faster, the cis isomer of 2-tert-butylcyclohexanol or the trans isomer? Explain.

In a reaction, 2-tertiary-butylcyclohexanol reacts with C r O 3 to form 2-tert-butylcyclohexanone.
Citation/Attribution

This book may not be used in the training of large language models or otherwise be ingested into large language models or generative AI offerings without OpenStax's permission.

Want to cite, share, or modify this book? This book uses the Creative Commons Attribution-NonCommercial-ShareAlike License and you must attribute OpenStax.

Attribution information
  • If you are redistributing all or part of this book in a print format, then you must include on every physical page the following attribution:

    Access for free at https://openstax.org/books/organic-chemistry/pages/1-why-this-chapter

  • If you are redistributing all or part of this book in a digital format, then you must include on every digital page view the following attribution:

    Access for free at https://openstax.org/books/organic-chemistry/pages/1-why-this-chapter

Citation information

© Jul 9, 2025 OpenStax. Textbook content produced by OpenStax is licensed under a Creative Commons Attribution-NonCommercial-ShareAlike License . The OpenStax name, OpenStax logo, OpenStax book covers, OpenStax CNX name, and OpenStax CNX logo are not subject to the Creative Commons license and may not be reproduced without the prior and express written consent of Rice University.