Skip to ContentGo to accessibility pageKeyboard shortcuts menu
OpenStax Logo
Organic Chemistry

Additional Problems

Organic ChemistryAdditional Problems
Search for key terms or text.

30 • Additional Problems

30 • Additional Problems

Visualizing Chemistry

Problem 30-13

Predict the product obtained when the following substance is heated:

A ball-and-stick model of trans-1,2-divinylcyclohexane.
Problem 30-14

The 13C NMR spectrum of homotropilidene taken at room temperature shows only three peaks. Explain.

A ball-and-stick model of cycloheptane with two double bonds connected to cyclopropane linked to two hydrogen atoms. Carbon and hydrogen are represented using black and gray spheres respectively.

Mechanism Problems

Problem 30-15

The following rearrangement of N-allyl-N,N-dimethylanilinium ion has been observed. Propose a mechanism.

N-allyl-N,N-dimethylanilinium ion where prop-1-ene bonded with nitrogen cation at C 1 reacts with heat to form ortho-allyl-N,N-dimethylanilinium ion where prop-1-ene is bonded at C 2.
Problem 30-16

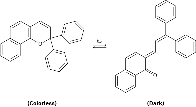
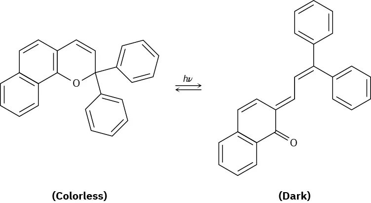
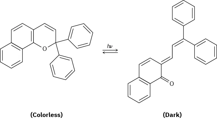
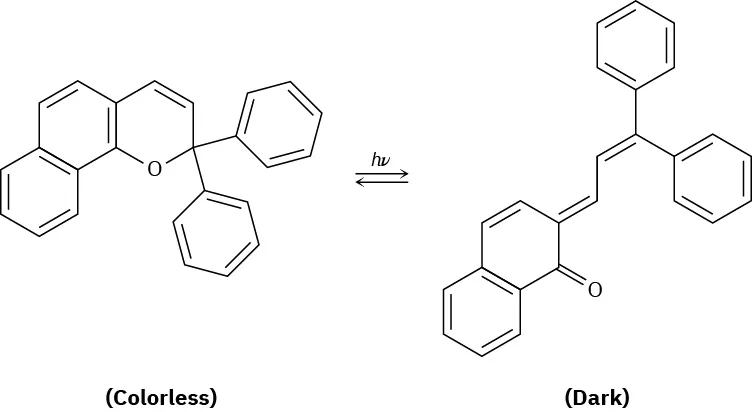
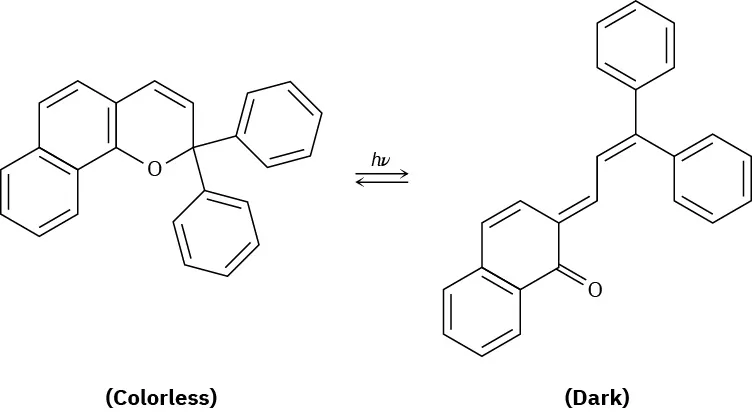
Plastic photochromic sunglasses are based on the following reversible rearrangement of a dye inside the lenses that occurs when the lenses are exposed to sunlight. The original dye absorbs UV light but not visible light and is thus colorless, while the rearrangement product absorbs visible light and is thus darkened.

The reaction of a colorless polycyclic dye with an oxygen heteroatom in one ring reacting with light to form a dark dye with a ketone group.
(a)
Show the mechanism of the rearrangement.
(b)
Why does the rearrangement product absorb at a longer wavelength (visible light) than the original dye (UV)?
Problem 30-17

The sex hormone estrone has been synthesized by a route that involves the following step. Identify the pericyclic reactions involved, and propose a mechanism.

The reactant reacts in presence of heat to give estrone methyl ether. Cyclobutane attached to the benzene's C 2 - C 3 position gets converted to cyclohexane in the product.
Problem 30-18

Coronafacic acid, a bacterial toxin, was synthesized using a key step that involves three sequential pericyclic reactions. Identify them, and propose a mechanism for the overall transformation. How would you complete the synthesis?

The reactant reacts with heat in the presence of 185 degree Celsius to give an intermediate. This reacts with an unknown reagent represented as question mark to form coronafacic acid.
Problem 30-19

The following thermal rearrangement involves two pericyclic reactions in sequence. Identify them, and propose a mechanism to account for the observed result.

A cyclobutane with double bonds connected to C D 2 at two positions reacts at 275 degree Celsius to form a product where hydrogen substitutes with deuterium and vice versa.

Electrocyclic Reactions

Problem 30-20
Do the following electrocyclic reactions take place in a conrotatory or disrotatory manner? Under what conditions, thermal or photochemical, would you carry out each reaction?
(a)
Two six-membered rings fused together with double bonds undergo electrocyclic reactions to form two fused six-membered rings with the shift of double bonds.
(b)
Three six-membered rings fused together undergo an electrocyclic reaction to form three fused six-membered rings with wedged and dashed hydrogen atoms at the middle ring.
Problem 30-21

The following thermal isomerization occurs under relatively mild conditions. Identify the pericyclic reactions involved, and show how the rearrangement occurs.

Cyclohexene undergoes thermal isomerization to form a product. A phenyl replaces C D 3 at C 4 and vice versa at C 3. One phenyl replaces methyl at C 2.
Problem 30-22

Would you expect the following reaction to proceed in a conrotatory or disrotatory manner? Show the stereochemistry of the cyclobutene product, and explain your answer.

A reactant in which two cyclohexene rings are bonded together at C 1 reacts with light to form a product where cyclobutene is fused between two cyclohexane rings.
Problem 30-23

Heating (1Z,3Z,5Z)-1,3,5-cyclononatriene to 100 °C causes cyclization and formation of a bicyclic product. Is the reaction conrotatory or disrotatory? What is the stereochemical relationship of the two hydrogens at the ring junctions, cis or trans?

(1Z,3Z,5Z)-1,3,5-Cyclononatriene reacts at 100 degree Celsius to form a six-membered ring with two double bonds fused to a five-membered ring with two hydrogen atoms.
Problem 30-24
(2E,4Z,6Z,8E)-2,4,6,8-Decatetraene has been cyclized to give 7,8-dimethyl-1,3,5-cyclooctatriene. Predict the manner of ring-closure—conrotatory or disrotatory—for both thermal and photochemical reactions, and predict the stereochemistry of the product in each case.
Problem 30-25
Answer Problem 30-24 for the thermal and photochemical cyclizations of (2E,4Z,6Z,8Z)-2,4,6,8-decatetraene.
Problem 30-26

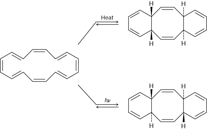
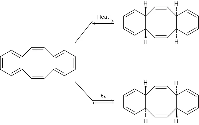
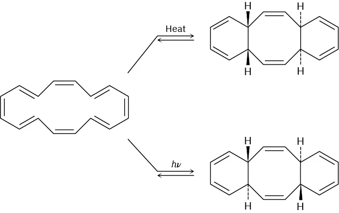
The cyclohexadecaoctaene shown isomerizes to two different isomers, depending on reaction conditions. Explain the observed results, and indicate whether each reaction is conrotatory or disrotatory.

Cyclohexadecaoctaene reacts with heat to form a tricyclic product with cis hydrogens at ortho-fused carbons. In light, there are trans hydrogens at ortho-fused carbons.

Cycloaddition Reactions

Problem 30-27

Which of the following reactions is more likely to occur? Explain.

A chair conformer of cyclohexene fused with another cyclohexene reacts with heat to form benzene. Cyclobutane with two six-membered rings on either side reacts with heat to form benzene.
Problem 30-28

The following reaction takes place in two steps, one of which is a cycloaddition while the other is a reverse cycloaddition. Identify the two pericyclic reactions, and show how they occur.

A five-carbon cyclic ester reacts with alkyne having two esters in heat to form a benzene ring bonded with two esters and carbon dioxide as the second product.
Problem 30-29

Two sequential pericyclic reactions are involved in the following furan synthesis. Identify them, and propose a mechanism for the transformation.

Isoxazole bonded with phenyl reacts with alkyne linked to methyl and aldehyde in heat to form furan bonded with methyl and aldehyde groups at C 4 and C 5, respectively.

Sigmatropic Rearrangements

Problem 30-30

Predict the product of the following pericyclic reaction. Is this [5,5] shift a suprafacial or an antarafacial process?

A benzene ring with C 1 linked to oxygen that is linked to six-carbon chain undergoes 5,5 shift with heat to form an unknown product represented as a question mark.
Problem 30-31

Propose a pericyclic mechanism to account for the following transformation:

1-vinyl-cyclohex-3-en-1-ol reacts with heat to form 3-vinylcyclohexanone.
Problem 30-32

Vinyl-substituted cyclopropanes undergo thermal rearrangement to yield cyclopentenes. Propose a mechanism for the reaction, and identify the pericyclic process involved.

Vinylcyclopropane reacts with heat to form cyclopentene.
Problem 30-33

The following synthesis of dienones occurs readily. Propose a mechanism to account for the results, and identify the kind of pericyclic reaction involved.

A reactant having triple bond at C 1, two methyl groups at C 3, oxygen atom, and alkene at C 4 reacts with heat and acid catalyst to form dieneone.
Problem 30-34

Karahanaenone, a terpenoid isolated from oil of hops, has been synthesized by the thermal reaction shown. Identify the kind of pericyclic reaction, and explain how karahanaenone is formed.

Cyclopentane having oxygen atom, methyl, methine double bonded to methylene, and double bond linked to two methyl groups reacts with heat to form Karahanaenone with double bond at C 4.

General Problems

Problem 30-35
What stereochemistry—antarafacial or suprafacial—would you expect to observe in the following reactions?
(a)
A photochemical [1,5] sigmatropic rearrangement
(b)
A thermal [4 + 6] cycloaddition
(c)
A thermal [1,7] sigmatropic rearrangement
(d)
A photochemical [2 + 6] cycloaddition
Problem 30-36

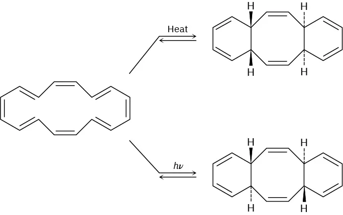
Bicyclohexadiene, also known as Dewar benzene, is extremely stable despite the fact that its rearrangement to benzene is energetically favored. Explain why the rearrangement is so slow.

Dewar benzene (double bonds at C 2 and C 5, with C 1 bonded to C 4 to produce two fused cyclobutene rings) reacts slowly in heat to form benzene.
Problem 30-37

Ring-opening of the trans-cyclobutene isomer shown takes place at much lower temperature than a similar ring-opening of the cis-cyclobutene isomer. Explain the temperature effect, and identify the stereochemistry of each reaction as either conrotatory or disrotatory.

Cis cyclobutene reacts at 300 degree Celsius to give two cyclobutene rings fused by a bond. This reacts at 100 degree Celsius to give trans cyclobutene.
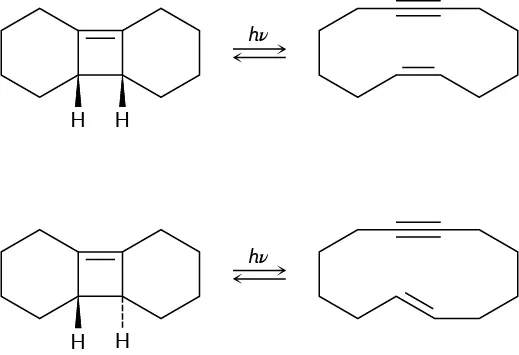
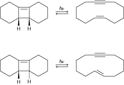
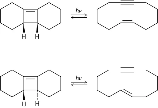
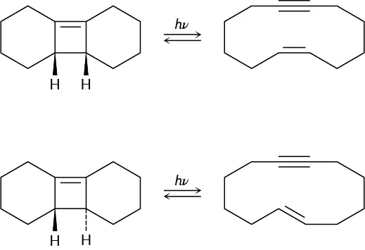
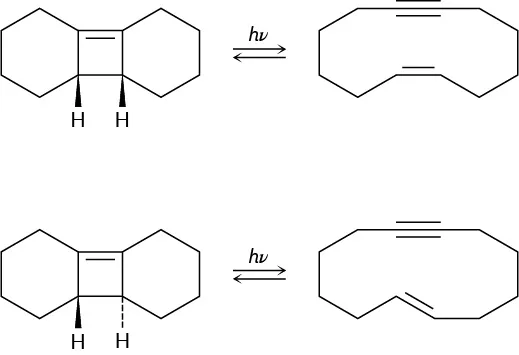
Problem 30-38

Photolysis of the cis-cyclobutene isomer in Problem 30-37 yields cis-cyclododecaen-7-yne, but photolysis of the trans isomer yields trans-cyclododecaen-7-yne. Explain these results, and identify the type and stereochemistry of the pericyclic reaction.

Cis cyclobutene isomer undergoes a photochemical reaction to give cis-cyclododecaen-7-yne. The trans-isomer undergoes a photochemical reaction to give trans-cyclododecaen-7-yne. A double bond is between C 1 and C 2.
Problem 30-39

The 1H NMR spectrum of bullvalene at 100 °C consists only of a single peak at 4.22 δ. Explain.

The structure of Bullvalene.
Problem 30-40

The following rearrangement was devised and carried out to prove the stereochemistry of [1,5] sigmatropic hydrogen shifts. Explain how the observed result confirms the predictions of orbital symmetry.

A reversible chemical reaction where a reactant with heat gives two products. C 5 is bonded to hydrogen on left and deuterium on bottom and vice versa in second product.
Problem 30-41

The following reaction is an example of a [2,3] sigmatropic rearrangement. Would you expect the reaction to be suprafacial or antarafacial? Explain.

Cyclohexene having C 1 linked to methylene to sulfur cation, oxygen anion, and methyl reacts to form cyclohexane with O S C H 3 and methylene via alkene.
Problem 30-42

When the compound having a cyclobutene fused to a five-membered ring is heated, (1Z,3Z)-1,3-cycloheptadiene is formed. When the related compound having a cyclobutene fused to an eight-membered ring is heated, however, (1E,3Z)-1,3-cyclodecadiene is formed. Explain these results, and suggest a reason why opening of the eight-membered ring occurs at a lower temperature.

Cyclobutene linked to cyclopentane reacts at 270 degree Celsius to form 1,3-cycloheptadiene. Cyclooctane fused to cyclobutene reacts at 190 degree Celsius to form cyclodecadiene.
Problem 30-43

In light of your answer to Problem 30-42, explain why a mixture of products occurs in the following reaction:

Cyclooctane fused to cyclobutene with methyl reacts at 190 degree Celsius forming two products. Cyclodecadiene rings boned with methyl at C 3 and C 2 in first and second product.
Problem 30-44

In nature, the enzyme chorismate mutase catalyzes a Claisen rearrangement of chorismate that involves both the terminal double bond and the double bond with the highlighted carbon. What is the structure of prephenate, the biological precursor to the amino acids phenylalanine and tyrosine?

The reaction of chorismate in the presence of chorismate mutase to form prephenate.
Problem 30-45
Predict the product(s) if the starting materials underwent a Claisen rearrangement. Draw arrows to illustrate the rearrangement of electrons.
(a)
A chemical structure of [(2-methyl-2-propen-1-yl)oxy]benzene
(b)
A chemical structure of (2E)-1-(vinyloxy)-2-butene with two deuterium atoms on the terminal vinyl carbon.
(c)
A chemical structure of o-allyloxytoluene with two deuterium atoms on the carbon adjacent to oxygen.
Citation/Attribution

This book may not be used in the training of large language models or otherwise be ingested into large language models or generative AI offerings without OpenStax's permission.

Want to cite, share, or modify this book? This book uses the Creative Commons Attribution-NonCommercial-ShareAlike License and you must attribute OpenStax.

Attribution information
  • If you are redistributing all or part of this book in a print format, then you must include on every physical page the following attribution:

    Access for free at https://openstax.org/books/organic-chemistry/pages/1-why-this-chapter

  • If you are redistributing all or part of this book in a digital format, then you must include on every digital page view the following attribution:

    Access for free at https://openstax.org/books/organic-chemistry/pages/1-why-this-chapter

Citation information

© Jul 9, 2025 OpenStax. Textbook content produced by OpenStax is licensed under a Creative Commons Attribution-NonCommercial-ShareAlike License . The OpenStax name, OpenStax logo, OpenStax book covers, OpenStax CNX name, and OpenStax CNX logo are not subject to the Creative Commons license and may not be reproduced without the prior and express written consent of Rice University.