Skip to ContentGo to accessibility pageKeyboard shortcuts menu
OpenStax Logo
Organic Chemistry

30.2 Electrocyclic Reactions

Organic Chemistry30.2 Electrocyclic Reactions
Search for key terms or text.

30.2 • Electrocyclic Reactions

The best way to understand how orbital symmetry affects pericyclic reactions is to look at some examples. Let’s look first at a group of polyene rearrangements called electrocyclic reactions. An electrocyclic reaction is a pericyclic process that involves the cyclization of a conjugated acyclic polyene. One π bond is broken, the other π bonds change position, a new σ bond is formed, and a cyclic compound results. For example, a conjugated triene can be converted into a cyclohexadiene, and a conjugated diene can be converted into a cyclobutene.

Two chemical reactions occuring in the presence of heat. A conjugated triene forms 1,3-cyclohexadiene. A conjugated diene forms cyclobutene.

Pericyclic reactions are reversible, and the position of the equilibrium depends on the specific case. In general, the triene cyclohexadiene equilibrium favors the cyclic product, whereas the diene cyclobutene equilibrium favors the less strained open-chain product.

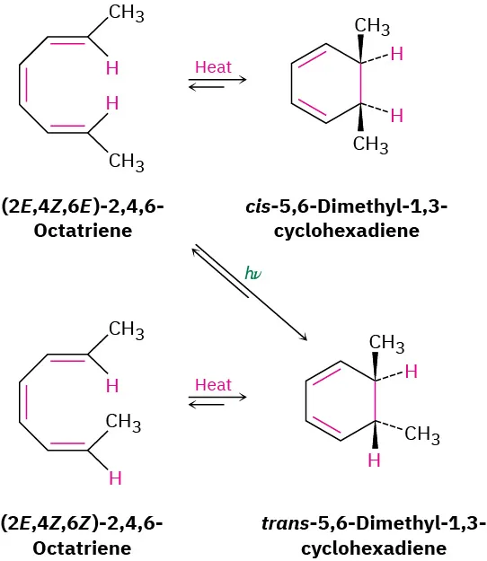
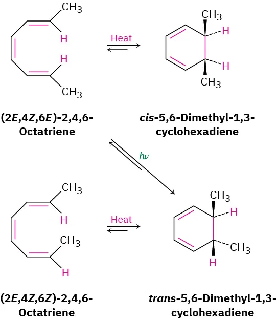
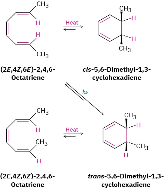
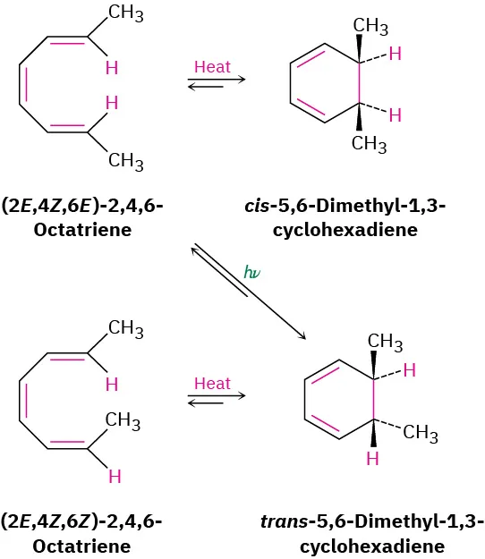
The most striking feature of electrocyclic reactions is their stereochemistry. For example, (2E,4Z,6E)-2,4,6-octatriene yields only cis-5,6-dimethyl-1,3-cyclohexadiene when heated, and (2E,4Z,6Z)-2,4,6-octatriene yields only trans-5,6-dimethyl-1,3-cyclohexadiene. Remarkably, however, the stereochemical results change completely when the reactions are carried out under what are called photochemical, rather than thermal, conditions. Irradiation of (2E,4Z,6E)-2,4,6-octatriene with ultraviolet light (denoted hν) yields trans-5,6-dimethyl-1,3-cyclohexadiene (Figure 30.4).

(2E,4Z,6E)-2,4,6-octatriene reacts with heat to give cis-5,6-dimethyl-1,3-cyclohexadiene. (2E,4Z,6E)-2,4,6-octatriene reacts with light to give trans-5,6-dimethyl-1,3-cyclohexadiene. (2E,4Z,6Z)-2,4,6-octatriene reacts with heat to give trans-5,6-dimethyl-1,3-cyclohexadiene.
Figure 30.4 Electrocyclic interconversions of 2,4,6-octatriene isomers and 5,6-dimethyl-1,3-cyclohexadiene isomers.

A similar result is obtained for the thermal electrocyclic ring-opening of 3,4-dimethylcyclobutene. The trans isomer yields only (2E,4E)-2,4-hexadiene when heated, and the cis isomer yields only (2E,4Z)-2,4-hexadiene. On UV irradiation, however, the results are opposite. Cyclization of the 2E,4E isomer under photochemical conditions yields cis product (Figure 30.5).

Cis-3,4-dimethyl-cyclobutene reacts with heat to form (2E,4Z)-2,4-hexadiene. Cis-3,4-dimethyl-cyclobutene reacts with light to form (2E,4E)-2,4-hexadiene. Trans-3,4-dimethylcyclobutene reacts with heat to form (2E,4E)-2,4-hexadiene.
Figure 30.5 Electrocyclic interconversions of 2,4-hexadiene isomers and 3,4-dimethylcyclobutene isomers.

To account for these results, we need to look at the two outermost lobes of the polyene MOs—the lobes that interact when cyclization occurs. There are two possibilities: lobes of like sign can be either on the same side of the molecule or on opposite sides.

Two orbital pictures in which one figure has like lobes on the same side. The other figure has like lobes on the opposite side. The figures are separated by or.

For a bond to form, the outermost π lobes must rotate so that favorable bonding interaction is achieved—a positive lobe with a positive lobe or a negative lobe with a negative lobe. If two lobes of like sign are on the same side of the molecule, the two orbitals must rotate in opposite directions—one clockwise and one counterclockwise. This kind of motion is referred to as disrotatory.

An orbital diagram with arrows to show disrotatory (clockwise and counterclockwise) movement of two p-orbitals with same-sign lobes pointed upward. This allows same-sign lobes to merge.

Conversely, if lobes of like sign are on opposite sides of the molecule, both orbitals must rotate in the same direction, either both clockwise or both counterclockwise. This kind of motion is called conrotatory.

An orbital diagram with arrows to show conrotatory (clockwise and clockwise) movement of two p-orbitals with opposite-sign lobes pointed upward. This allows same-sign lobes to merge.
Citation/Attribution

This book may not be used in the training of large language models or otherwise be ingested into large language models or generative AI offerings without OpenStax's permission.

Want to cite, share, or modify this book? This book uses the Creative Commons Attribution-NonCommercial-ShareAlike License and you must attribute OpenStax.

Attribution information
  • If you are redistributing all or part of this book in a print format, then you must include on every physical page the following attribution:

    Access for free at https://openstax.org/books/organic-chemistry/pages/1-why-this-chapter

  • If you are redistributing all or part of this book in a digital format, then you must include on every digital page view the following attribution:

    Access for free at https://openstax.org/books/organic-chemistry/pages/1-why-this-chapter

Citation information

© Jul 9, 2025 OpenStax. Textbook content produced by OpenStax is licensed under a Creative Commons Attribution-NonCommercial-ShareAlike License . The OpenStax name, OpenStax logo, OpenStax book covers, OpenStax CNX name, and OpenStax CNX logo are not subject to the Creative Commons license and may not be reproduced without the prior and express written consent of Rice University.