Skip to ContentGo to accessibility pageKeyboard shortcuts menu
OpenStax Logo
Organic Chemistry

Additional Problems

Organic ChemistryAdditional Problems
Search for key terms or text.

27 • Additional Problems

27 • Additional Problems

Visualizing Chemistry

Problem 27-11

The following model is that of cholic acid, a constituent of human bile. Locate the three hydroxyl groups, and identify each as axial or equatorial. Is cholic acid an A–B trans steroid or an A–B cis steroid?

The ball-and-stick model of cholic acid. Black, gray, and red spheres denote carbon, hydrogen, and oxygen, respectively.
Problem 27-12

Propose a biosynthetic pathway for the sesquiterpenoid helminthogermacrene from farnesyl diphosphate.

The ball-and-stick model of sesquiterpenoid, helmintho germacrene. Black and gray spheres denote carbon and hydrogen, respectively.
Problem 27-13

Identify the following fatty acid, and tell whether it is more likely to be found in peanut oil or in red meat:

The ball-and-stick model of fatty acid. Black, gray, and red spheres denote carbon, hydrogen, and oxygen, respectively.

Mechanism Problems

Problem 27-14

Propose a mechanistic pathway for the biosynthesis of caryophyllene, a substance found in clove oil.

The structure of caryophyllene.
Problem 27-15

Suggest a mechanism by which ψ-ionone is transformed into β-ionone on treatment with acid.

Psi-ionone reacts with hydronium ions to form beta-ionone. The open chain gets converted to a closed ring in the product.
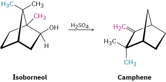
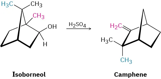
Problem 27-16

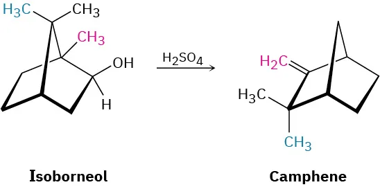
Isoborneol is converted into camphene on treatment with dilute sulfuric acid. Propose a mechanism for the reaction, which involves a carbocation rearrangement.

Isoborneol reacts with sulfuric acid to form camphene. Carbocation rearrangement happens during the process.

Fats, Oils, and Related Lipids

Problem 27-17
Fatty fish like salmon and albacore are rich in omega-3 fatty acids, which have a double bond three carbons in from the noncarboxyl end of the chain and have been shown to lower blood cholesterol levels. Draw the structure of 5,8,11,14,17-eicosapentaenoic acid, a common example. (Eicosane = C20H42.)
Problem 27-18
Fats can be either optically active or optically inactive, depending on their structure. Draw the structure of an optically active fat that yields 2 equivalents of stearic acid and 1 equivalent of oleic acid on hydrolysis. Draw the structure of an optically inactive fat that yields the same products.
Problem 27-19
Spermaceti, a fragrant substance from sperm whales, was widely used in cosmetics until it was banned in 1976 to protect whales from extinction. Chemically, spermaceti is cetyl palmitate, the ester of cetyl alcohol (n-C16H33OH) with palmitic acid. Draw its structure.
Problem 27-20
Show the products you would expect to obtain from reaction of glyceryl trioleate with the following reagents:
(a)
Excess Br2 in CH2Cl2
(b)
H2/Pd
(c)
NaOH/H2O
(d)
O3, then Zn/CH3CO2H
(e)
LiAlH4, then H3O+
(f)
CH3MgBr, then H3O+
Problem 27-21
How would you convert oleic acid into the following substances?
(a)
Methyl oleate
(b)
Methyl stearate
(c)
Nonanal
(d)
Nonanedioic acid
(e)
9-Octadecynoic acid (stearolic acid)
(f)
2-Bromostearic acid
(g)
18-Pentatriacontanone, CH3(CH2)16CO(CH2)16CH3
Problem 27-22

Plasmalogens are a group of lipids found in nerve and muscle cells. How do plasmalogens differ from fats?

The structure of a plasmalogen lipid, contains a vinyl-ether and two fatty acids.
Problem 27-23
What products would you obtain from hydrolysis of a plasmalogen (Problem 27-22) with aqueous NaOH? With H3O+?
Problem 27-24

Cardiolipins are a group of lipids found in heart muscles. What products would be formed if all ester bonds, including phosphates, were saponified by treatment with aqueous NaOH?

The structure of a cardiolipin. It comprises several ester molecules with two phosphate groups.
Problem 27-25
Stearolic acid, C18H32O2, yields stearic acid on catalytic hydrogenation and undergoes oxidative cleavage with ozone to yield nonanoic acid and nonanedioic acid. What is the structure of stearolic acid?
Problem 27-26
How would you synthesize stearolic acid (Problem 27-25) from 1-decyne and 1-chloro-7-iodoheptane?

Terpenoids and Steroids

Problem 27-27
Without proposing an entire biosynthetic pathway, draw the appropriate precursor, either geranyl diphosphate or farnesyl diphosphate, in a conformation that shows a likeness to each of the following terpenoids:
(a)
The structure of guaiol. It comprises of a bicyclo[5.3.0]decane ring with a double bond,  a wedged bonded propanol, and two wedged bonded methyl groups.
(b)
The structure of sabinene. It comprises of a bicyclo[3.1.0]hexane ring with an exocyclic double bond, and a bridgehead fused isopropyl group.
Problem 27-28
Indicate by asterisks the chirality centers present in each of the terpenoids shown in Problem 27-27. What is the maximum possible number of stereoisomers for each?
Problem 27-29
Assume that the three terpenoids in Problem 27-27 are derived biosynthetically from isopentenyl diphosphate and dimethylallyl diphosphate, each of which was isotopically labeled at the diphosphate-bearing carbon atom (C1). At what positions would the terpenoids be isotopically labeled?
Problem 27-30
Assume that acetyl CoA containing a 14C isotopic label in the carboxyl carbon atom is used as starting material for the biosynthesis of mevalonate, as shown in Figure 27.8. At what positions in mevalonate would the isotopic label appear?
Problem 27-31

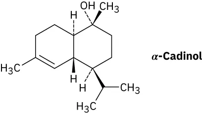
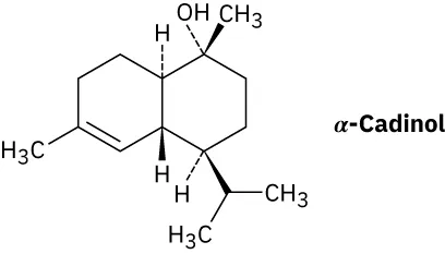
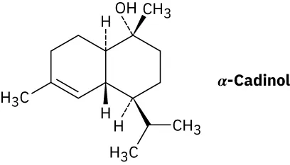
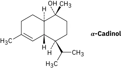
Assume that acetyl CoA containing a 14C isotopic label in the carboxyl carbon atom is used as starting material and that the mevalonate pathway is followed. Identify the positions in α-cadinol where the label would appear.

The structure of alpha-cardinol. It comprises of a trans-decalin ring with an endo double bond, exo-substituted hydroxyl, isopropyl, and two methyl groups.
Problem 27-32

Assume that acetyl CoA containing a 14C isotopic label in the carboxyl carbon atom is used as starting material and that the mevalonate pathway is followed. Identify the positions in squalene where the label would appear.

The structure of squalene. It is a thirty-carbon chain with double bonds and methyl groups at different positions.
Problem 27-33

Assume that acetyl CoA containing a 14C isotopic label in the carboxyl carbon atom is used as starting material and that the mevalonate pathway is followed. Identify the positions in lanosterol where the label would appear.

The wedge-dash structure of Lanosterol.

General Problems

Problem 27-34

Flexibilene, a compound isolated from marine coral, is the first known terpenoid to contain a 15-membered ring. What is the structure of the acyclic biosynthetic precursor of flexibilene? Show the mechanistic pathway for the biosynthesis.

The structure of flexibilene. It is a fifteen-membered ring with three methyl vinyl groups at C 7, C 11, and C 15, and a dimethylated carbon at C 3.
Problem 27-35

Draw the most stable chair conformation of dihydrocarvone.

The structure of dihydrocarvone. It is a cyclohexane with carbonyl at C 1, wedged methyl and dashed hydrogen at C 2, and dashed methyl vinyl group at C 5
Problem 27-36

Draw the most stable chair conformation of menthol, and label each substituent as axial or equatorial.

The structure of menthol. It is a cyclohexane with dashed hydroxyl at C 1, a wedged isopropyl at C2, and a dashed methyl at C5.
Problem 27-37
As a general rule, equatorial alcohols are esterified more readily than axial alcohols. What product would you expect to obtain from reaction of the following two compounds with 1 equivalent of acetic anhydride?
(a)
The structure of a trans-decalin with a wedged methyl and dashed hydrogen at the ring junction, a wedged hydroxyl at C 2, and dashed hydroxyl at C 7.
(b)
The structure of a trans-decalin with a wedged methyl and dashed hydrogen at the ring junction, a wedged hydroxyl at C 3, and dashed hydroxyl at C 6.
Problem 27-38

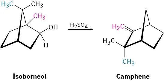
Propose a mechanistic pathway for the biosynthesis of isoborneol. A carbocation rearrangement is needed at one point in the scheme.

The structure of Isoborneol. It is a norbornane with three methyl groups, a hydroxyl group, and a hydrogen atom.
Problem 27-39

Digitoxigenin is a heart stimulant obtained from the purple foxglove Digitalis purpurea and used in the treatment of heart disease. Draw the three-dimensional conformation of digitoxigenin, and identify the two –OH groups as axial or equatorial.

The structure of digitoxigenin. It is a beta-hydroxy steroid with one wedged hydroxyl and two wedged methyls at the ring juctions,and substituted furanone
Problem 27-40
What product would you obtain by reduction of digitoxigenin (Problem 27-39) with LiAlH4? By oxidation with the Dess–Martin periodinane?
Problem 27-41
Vaccenic acid, C18H34O2, is a rare fatty acid that gives heptanal and 11-oxoundecanoic acid [OHC(CH2)9CO2H] on ozonolysis followed by zinc treatment. When allowed to react with CH2I2/Zn(Cu), vaccenic acid is converted into lactobacillic acid. What are the structures of vaccenic and lactobacillic acids?
Problem 27-42
Eleostearic acid, C18H30O2, is a rare fatty acid found in the tung oil used for finishing furniture. On ozonolysis followed by treatment with zinc, eleostearic acid furnishes one part pentanal, two parts glyoxal (OHC–CHO), and one part 9-oxononanoic acid [OHC(CH2)7CO2H]. What is the structure of eleostearic acid?
Problem 27-43
Diterpenoids are derived biosynthetically from geranylgeranyl diphosphate (GGPP), which is itself biosynthesized by reaction of farnesyl diphosphate with isopentenyl diphosphate. Show the structure of GGPP, and propose a mechanism for its biosynthesis from FPP and IPP.
Problem 27-44

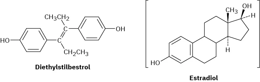
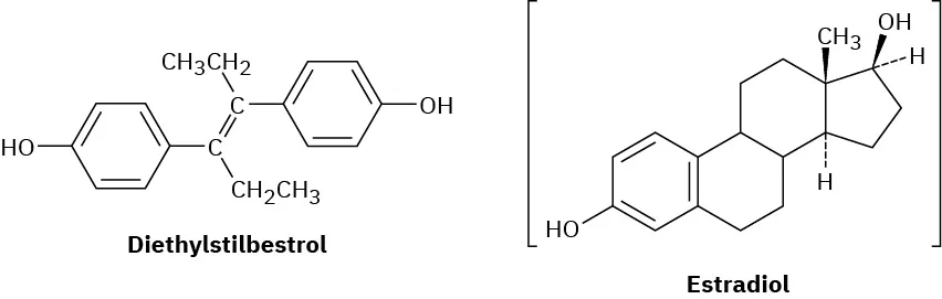
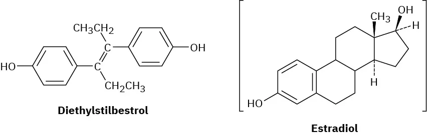
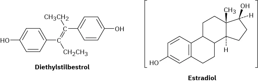
Diethylstilbestrol (DES) has estrogenic activity even though it is structurally unrelated to steroids. Once used as an additive in animal feed, DES has been implicated as a causative agent in several types of cancer. Show how DES can be drawn so that it is sterically similar to estradiol.

The structures of diethylstilbestrol and estradiol. Diethylstilbestrol is a diethyl subsituted diphenol. Estradiol is an aromatic steroid with a phenol and wedged methyl and hydroxyl groups.
Problem 27-45

Cembrene, C20H32, a diterpenoid hydrocarbon isolated from pine resin, has a UV absorption at 245 nm, but dihydrocembrene (C20H34), the product of hydrogenation with 1 equivalent of H2, has no UV absorption. On exhaustive hydrogenation, 4 equivalents of H2 react, and octahydrocembrene, C20H40, is produced. On ozonolysis of cembrene, followed by treatment of the ozonide with zinc, four carbonyl-containing products are obtained:

The structure of four carbonyl-containing compounds, a dialdehyde, a  keto-aldehyde, a dialdehyde, and a keto-aldehyde.

Propose a structure for cembrene that is consistent with its formation from geranylgeranyl diphosphate.

Problem 27-46

α-Fenchone is a pleasant-smelling terpenoid isolated from oil of lavender. Propose a pathway for the formation of α-fenchone from geranyl diphosphate. A carbocation rearrangement is required.

The structure of alpha-fenchone. It is a bicyclo[2.2.1] heptane with two methyls at C 3, one methyl at C 1, and a carbonyl at C 2,
Problem 27-47

Fatty acids are synthesized by a multistep route that starts with acetate. The first step is a reaction between protein-bound acetyl and malonyl units to give a protein-bound 3-ketobutyryl unit. Show the mechanism, and tell what kind of reaction is occurring.

Malonyl protein reacts with an acetyl protein to form an intermediate. This reacts to form 3-ketobutyryl protein and carbon dioxide.
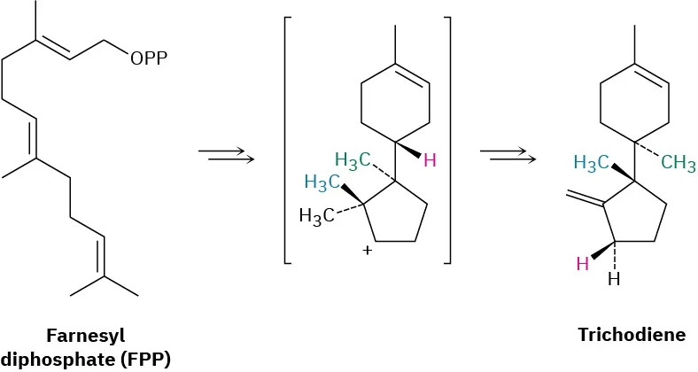
Problem 27-48

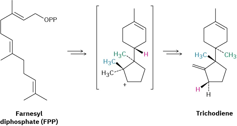
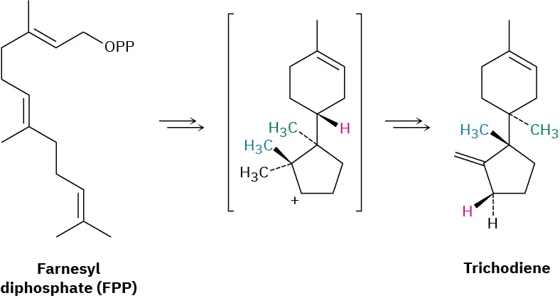
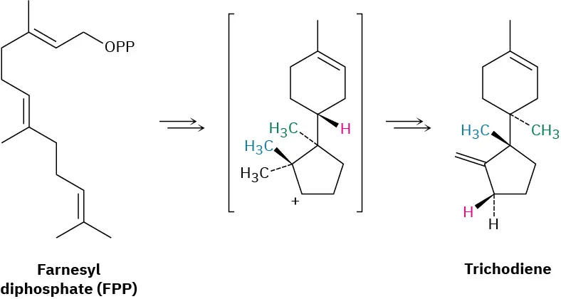
Propose a mechanism for the biosynthesis of the sesquiterpenoid trichodiene from farnesyl diphosphate. The process involves cyclization to give an intermediate secondary carbocation, followed by several carbocation rearrangements.

Farnesyl diphosphate (F P P) cyclizes to form an intermediate. This further forms trichodiene as the final product.
Citation/Attribution

This book may not be used in the training of large language models or otherwise be ingested into large language models or generative AI offerings without OpenStax's permission.

Want to cite, share, or modify this book? This book uses the Creative Commons Attribution-NonCommercial-ShareAlike License and you must attribute OpenStax.

Attribution information
  • If you are redistributing all or part of this book in a print format, then you must include on every physical page the following attribution:

    Access for free at https://openstax.org/books/organic-chemistry/pages/1-why-this-chapter

  • If you are redistributing all or part of this book in a digital format, then you must include on every digital page view the following attribution:

    Access for free at https://openstax.org/books/organic-chemistry/pages/1-why-this-chapter

Citation information

© Jul 9, 2025 OpenStax. Textbook content produced by OpenStax is licensed under a Creative Commons Attribution-NonCommercial-ShareAlike License . The OpenStax name, OpenStax logo, OpenStax book covers, OpenStax CNX name, and OpenStax CNX logo are not subject to the Creative Commons license and may not be reproduced without the prior and express written consent of Rice University.