Skip to ContentGo to accessibility pageKeyboard shortcuts menu
OpenStax Logo
Organic Chemistry

25.10 Some Other Important Carbohydrates

Organic Chemistry25.10 Some Other Important Carbohydrates
Search for key terms or text.

25.10 • Some Other Important Carbohydrates

In addition to the common carbohydrates mentioned in previous sections, there are a variety of important carbohydrate-derived materials. Their structural resemblance to sugars is clear, but they aren’t simple aldoses or ketoses.

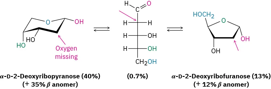
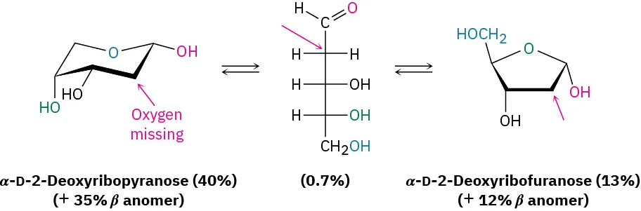
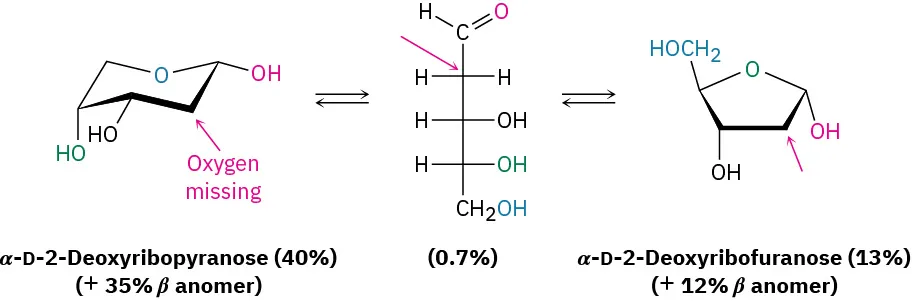
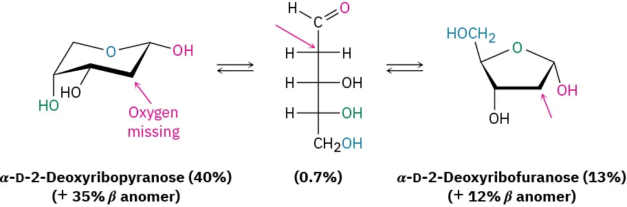
Deoxy sugars, as we saw in Section 25.7, have an oxygen atom “missing.” That is, an –OH group is replaced by an –H. The most common deoxy sugar is 2-deoxyribose, a monosaccharide found in DNA (deoxyribonucleic acid). Note that 2-deoxyribose exists in water solution as a complex equilibrium mixture of both furanose and pyranose forms.

The Haworth projection of alpha-D-2-deoxyribopyranose having plus 35 percent beta anomer converts into its Fischer projection which then forms a Haworth projection of alpha-D-2-deoxyribofuranose having plus 12 percent beta anomer.

Amino sugars, such as D-glucosamine, have an –OH group replaced by an –NH2. The N-acetyl amide derived from D-glucosamine is the monosaccharide unit from which chitin, the hard crust that protects insects and shellfish, is made. Still other amino sugars are found in antibiotics such as streptomycin and gentamicin.

The Haworth projection of beta-D-glucosamine and gentamicin (an antibiotic). Purpurosamine, 2-deoxystreptamine and garosamine in the structure of gentamicin are labelled.
Citation/Attribution

This book may not be used in the training of large language models or otherwise be ingested into large language models or generative AI offerings without OpenStax's permission.

Want to cite, share, or modify this book? This book uses the Creative Commons Attribution-NonCommercial-ShareAlike License and you must attribute OpenStax.

Attribution information
  • If you are redistributing all or part of this book in a print format, then you must include on every physical page the following attribution:

    Access for free at https://openstax.org/books/organic-chemistry/pages/1-why-this-chapter

  • If you are redistributing all or part of this book in a digital format, then you must include on every digital page view the following attribution:

    Access for free at https://openstax.org/books/organic-chemistry/pages/1-why-this-chapter

Citation information

© Jul 9, 2025 OpenStax. Textbook content produced by OpenStax is licensed under a Creative Commons Attribution-NonCommercial-ShareAlike License . The OpenStax name, OpenStax logo, OpenStax book covers, OpenStax CNX name, and OpenStax CNX logo are not subject to the Creative Commons license and may not be reproduced without the prior and express written consent of Rice University.