Skip to ContentGo to accessibility pageKeyboard shortcuts menu
OpenStax Logo
Organic Chemistry

24.2 Structure and Properties of Amines

Organic Chemistry24.2 Structure and Properties of Amines
Search for key terms or text.

24.2 • Structure and Properties of Amines

The bonding in alkylamines is similar to the bonding in ammonia. The nitrogen atom is sp3-hybridized, with its three substituents occupying three corners of a regular tetrahedron and the lone pair of electrons occupying the fourth corner. As you might expect, the C–N–C bond angles are close to the 109° tetrahedral value. For trimethylamine, the C–N–C bond angle is 108° and the C–N bond length is 147 pm.

The structure and ball-and-stick model of triethylamine. Triethylamine has nitrogen linked to three methyl groups and a lone pair of electrons. Nitrogen is s p 3 hybridized.

One consequence of tetrahedral geometry is that an amine with three different substituents on nitrogen is chiral, as we saw in Section 5.10. Unlike chiral carbon compounds, however, chiral amines can’t usually be resolved because the two enantiomeric forms rapidly interconvert by a pyramidal inversion, much as an alkyl halide inverts in an SN2 reaction. Pyramidal inversion occurs by a momentary rehybridization of the nitrogen atom to planar, sp2 geometry, followed by rehybridization of the planar intermediate to tetrahedral, sp3 geometry (Figure 24.2). The barrier to inversion is about 25 kJ/mol (6 kcal/mol), an amount only twice as large as the barrier to rotation about a C–C single bond.

The pyramidal inversion of amine from s p 3 hybridized tetrahedral structure to s p 2 hybridized planar structure and s p 3 hybridized tetrahedral structure.
Figure 24.2 Pyramidal inversion rapidly interconverts the two mirror-image (enantiomeric) forms of an amine.

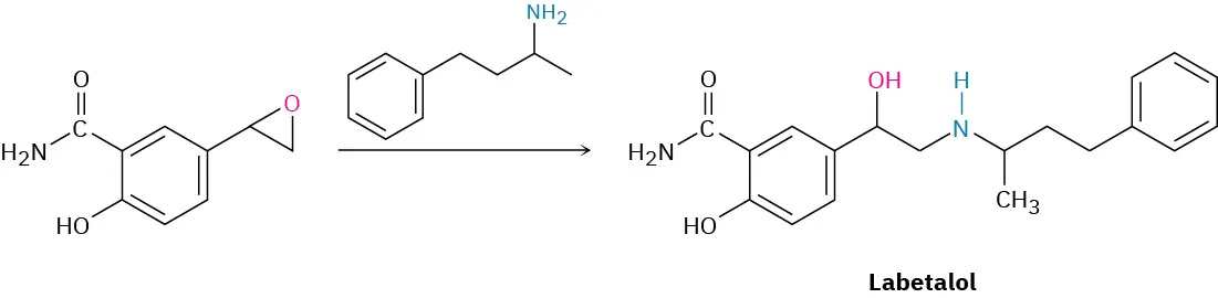
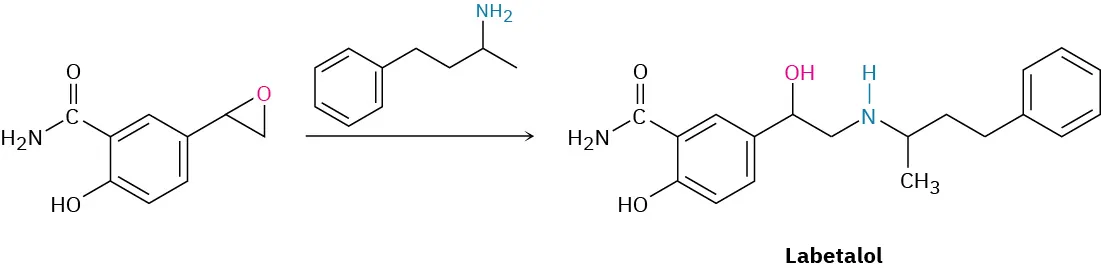
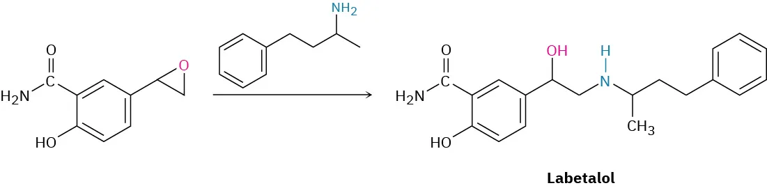
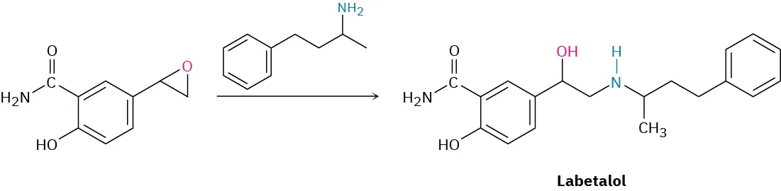
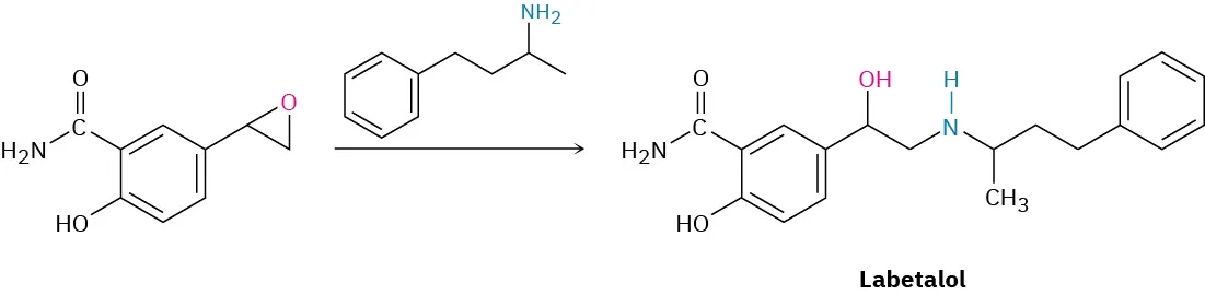
Alkylamines have a variety of applications in the chemical industry as starting materials for the preparation of insecticides and pharmaceuticals. Labetalol, for instance, a so-called β-blocker used for the treatment of high blood pressure, is prepared by SN2 reaction of an epoxide with a primary amine. The substance marketed for drug use is a mixture of all four possible stereoisomers, but the biological activity results primarily from the (R,R) isomer.

A benzene ring with alcohol, amide, and epoxide functional groups reacts with an amine to form Labetalol.

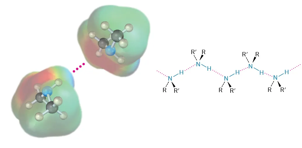
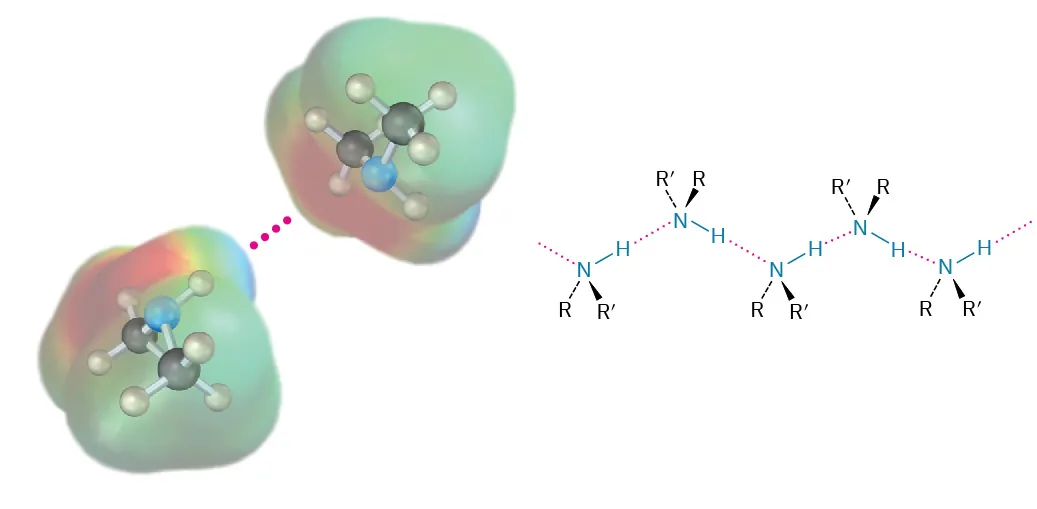
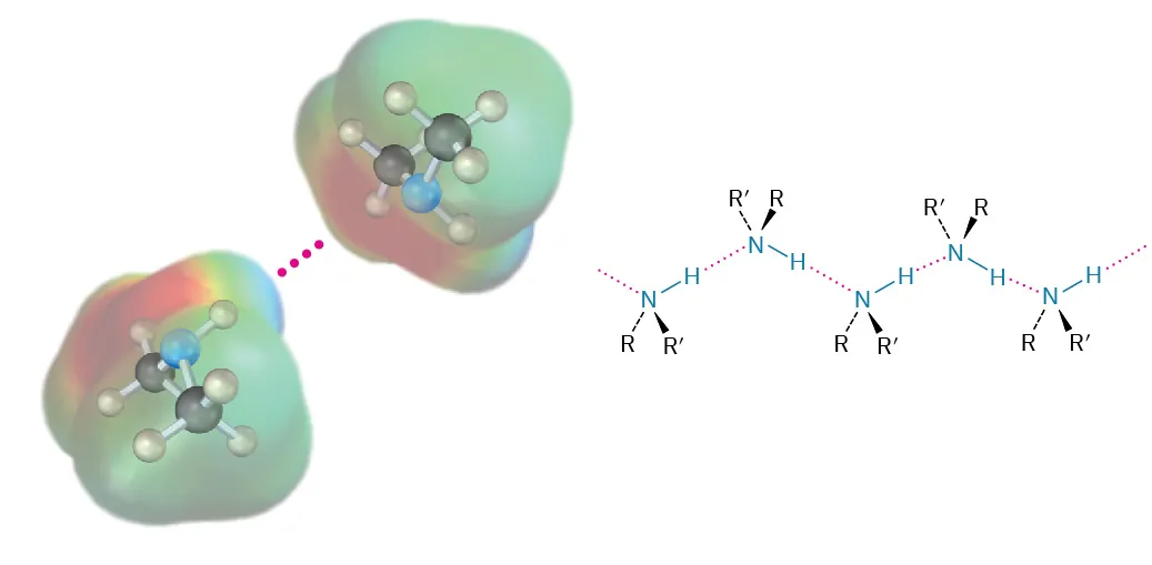
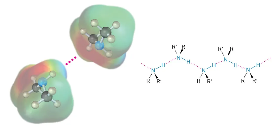
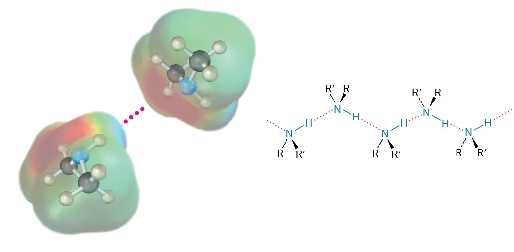
Like alcohols, amines with fewer than five carbon atoms are generally water-soluble. Also like alcohols, primary and secondary amines form hydrogen bonds and are highly associated. As a result, amines have higher boiling points than alkanes of similar molecular weight. Diethylamine (MW = 73 amu) boils at 56.3 °C, for instance, while pentane (MW = 72 amu) boils at 36.1 °C.

The electrostatic potential map and structure of an amine. The structures are linked via hydrogen bond. The structure shows nitrogen linked to R, R dash group and hydrogen atom.
Figure 24.3 Hydrogen bonding in amines.

One other characteristic of amines is their odor. Low-molecular-weight amines such as trimethylamine have a distinctive fishlike aroma, while diamines such as cadaverine (1,5-pentanediamine) and putrescine (1,4-butanediamine) have the appalling odors you might expect from their common names. Both of these diamines arise from the decomposition of decaying tissue.

Citation/Attribution

This book may not be used in the training of large language models or otherwise be ingested into large language models or generative AI offerings without OpenStax's permission.

Want to cite, share, or modify this book? This book uses the Creative Commons Attribution-NonCommercial-ShareAlike License and you must attribute OpenStax.

Attribution information
  • If you are redistributing all or part of this book in a print format, then you must include on every physical page the following attribution:

    Access for free at https://openstax.org/books/organic-chemistry/pages/1-why-this-chapter

  • If you are redistributing all or part of this book in a digital format, then you must include on every digital page view the following attribution:

    Access for free at https://openstax.org/books/organic-chemistry/pages/1-why-this-chapter

Citation information

© Jul 9, 2025 OpenStax. Textbook content produced by OpenStax is licensed under a Creative Commons Attribution-NonCommercial-ShareAlike License . The OpenStax name, OpenStax logo, OpenStax book covers, OpenStax CNX name, and OpenStax CNX logo are not subject to the Creative Commons license and may not be reproduced without the prior and express written consent of Rice University.