Skip to ContentGo to accessibility pageKeyboard shortcuts menu
OpenStax Logo
Organic Chemistry

23.2 Carbonyl Condensations versus Alpha Substitutions

Organic Chemistry23.2 Carbonyl Condensations versus Alpha Substitutions
Search for key terms or text.

23.2 • Carbonyl Condensations versus Alpha Substitutions

Two of the four general carbonyl-group reactions—carbonyl condensations and α substitutions—take place under basic conditions and involve enolate-ion intermediates. Because the experimental conditions for the two reactions are similar, how can we predict which will occur in a given case? When we generate an enolate ion with the intention of carrying out an α alkylation, how can we be sure that a carbonyl condensation reaction won’t occur instead?

There is no simple answer to this question, but the exact experimental conditions usually have much to do with the result. Alpha-substitution reactions require a full equivalent of strong base and are normally carried out so that the carbonyl compound is rapidly and completely converted into its enolate ion at a low temperature. An electrophile is then added rapidly to ensure that the reactive enolate ion is quenched quickly. In a ketone alkylation reaction, for instance, we might use 1 equivalent of lithium diisopropylamide (LDA) in tetrahydrofuran solution at –78 °C. Rapid and complete generation of the ketone enolate ion would occur, and no unreacted ketone would remain, meaning that no condensation reaction could take place. We would then immediately add an alkyl halide to complete the alkylation reaction.

The reaction of cyclohexanone with one equivalent of L D A at minus seventy-eight degrees Celsius forms cyclohexanone enolate intermediate. The addition of methyl iodide gives 2-methylcyclohexanone.

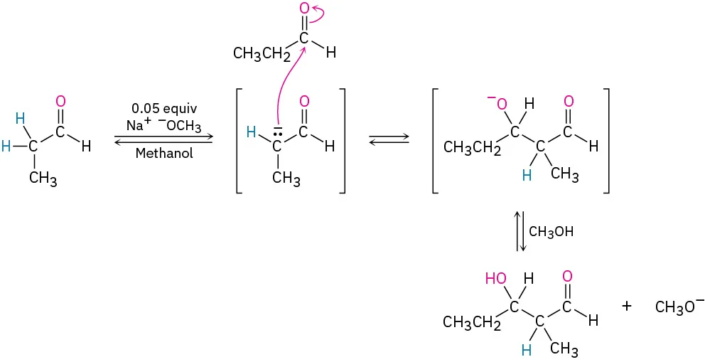
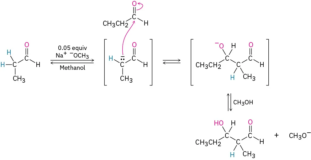
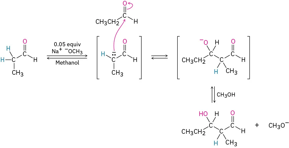
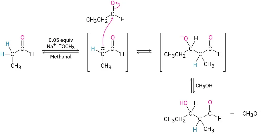
On the other hand, carbonyl condensation reactions require only a catalytic amount of a relatively weak base, rather than a full equivalent, so that a small amount of enolate ion is generated in the presence of unreacted carbonyl compound. Once a condensation occurs, the basic catalyst is regenerated. To carry out an aldol reaction on propanal, for instance, we might dissolve the aldehyde in methanol, add 0.05 equivalent of sodium methoxide, and then warm the mixture to give the aldol product.

The reversible reaction of propanal with sodium methoxide in methanol shows two intermediates. The subsequent reaction of these intermediates produces 3-hydroxy-2-methylpentanal (aldol) and methoxide.
Citation/Attribution

This book may not be used in the training of large language models or otherwise be ingested into large language models or generative AI offerings without OpenStax's permission.

Want to cite, share, or modify this book? This book uses the Creative Commons Attribution-NonCommercial-ShareAlike License and you must attribute OpenStax.

Attribution information
  • If you are redistributing all or part of this book in a print format, then you must include on every physical page the following attribution:

    Access for free at https://openstax.org/books/organic-chemistry/pages/1-why-this-chapter

  • If you are redistributing all or part of this book in a digital format, then you must include on every digital page view the following attribution:

    Access for free at https://openstax.org/books/organic-chemistry/pages/1-why-this-chapter

Citation information

© Jul 9, 2025 OpenStax. Textbook content produced by OpenStax is licensed under a Creative Commons Attribution-NonCommercial-ShareAlike License . The OpenStax name, OpenStax logo, OpenStax book covers, OpenStax CNX name, and OpenStax CNX logo are not subject to the Creative Commons license and may not be reproduced without the prior and express written consent of Rice University.