Skip to ContentGo to accessibility pageKeyboard shortcuts menu
OpenStax Logo
Organic Chemistry

Additional Problems

Organic ChemistryAdditional Problems
Search for key terms or text.

22 • Additional Problems

22 • Additional Problems

Visualizing Chemistry

Problem 22-17
Show the steps in preparing each of the following substances using either a malonic ester synthesis or an acetoacetic ester synthesis:
(a)
Ball-stick model of a compound comprising a seven-carbon chain with C 2 being a carbonyl group, a double bond between C 5 and C 6, and a methyl group on C 6. Black, gray, and red spheres represent carbon, hydrogen, and oxygen, respectively.
(b)
A ball-stick model of a compound comprising a benzene ring and a C 3 chain, C1 of which is a carboxylic acid group, and C 2 bearing a methyl group. Black, gray, and red spheres represent carbon, hydrogen, and oxygen, respectively.
Problem 22-18

Unlike most β-diketones, the following β-diketone has no detectable enol content and is about as acidic as acetone. Explain.

A ball-stick model of a compound comprising a six membered ring with carbonyl groups at C 1 and C 3 and with a C H 2 bridge between C 2 and C 5. Black, gray, and red spheres represent carbon, hydrogen, and oxygen, respectively.
Problem 22-19

For a given α hydrogen atom to be acidic, the C–H bond must be parallel to the p orbitals of the C = O double bond (that is, perpendicular to the plane of the adjacent carbonyl group). Identify the most acidic hydrogen atom in the conformation shown for the following structure. Is it axial or equatorial?

A ball-stick model of a compound comprising a chair conformation of cyclohexanone with two methyl groups alpha on C 2. Black, gray, and red spheres represent carbon, hydrogen, and oxygen, respectively.

Mechanism Problems

Problem 22-20
Draw the corresponding keto or enol tautomer for each of the following molecules.
(a)
An enol tautomer of 2-butanone is treated with acid to give an unknown product, represented by a question mark.
(b)
3,3-Dimethyl-2-butanone is treated with base to give an unknown product, represented by a question mark.
Problem 22-21
Predict the product(s) and show the mechanism for each of the following reactions:
(a)
Butyraldehyde reacts with bromine in acetic acid to yield an unknown product, represented by a question mark.
(b)
3,3-Dimethyl-2-butanone reacts with bromine in acetic acid to yield an unknown product, represented by a question mark.
Problem 22-22
Predict the product(s) and show the mechanism for each of the following reactions:
(a)
Methyl propionate reacts with L D A followed by bromoethane to yield an unknown product, represented by a question mark.
(b)
3-pentanone reacts with L D A followed by P h C H 2 B r to yield an unknown product, represented by a question mark.
Problem 22-23
The following two optically active β-keto acids were decarboxylated under the conditions typically used for the acetoacetic ester synthesis. Will the ketone products be optically active? Explain.
(a)
2-ethyl-2-methyl-3-oxobutanoic acid is heated in the presence of acidt to yield an unknown product, represented by a question mark.
(b)
4-methyl-3-oxohexanoic acid is heated in the presence of acid to yield an unknown product, represented by a question mark.
Problem 22-24

In the Hell–Volhard–Zelinskii reaction, only a catalytic amount of PBr3 is necessary because of the following equilibrium. Propose a mechanism for formation of the equilibrium.

An alpha brominated acid bromide reacts reversibly with a carboxylic acid to give an alpha brominated carboxylic acid and an acid bromide.
Problem 22-25
When a ketone is treated with a halogen under acidic conditions, the α-monohalogenated product can be obtained in high yield. Under basic conditions however it is difficult to isolate the monohalogenated product. Explain.
Problem 22-26

Nonconjugated β,γ-unsaturated ketones, such as 3-cyclohexenone, are in an acid-catalyzed equilibrium with their conjugated α,β-unsaturated isomers. Propose a mechanism for the isomerization.

3-cyclohexenone with alpha, beta, and gamma carbons indicated and a double-bond between the beta and gamma carbons reacts with acid to form 2-cyclohexenone with a double-bond between the alpha and beta carbons.
Problem 22-27

2-substituted 2-cyclopentenones can be interconverted with 5-substituted 2-cyclopentenones under basic conditions. Propose a mechanism for this isomerization.

2-methyl-2-cyclopenten-1-one reacts with a base to yield 5-methyl-2-cyclopenten-1-one.
Problem 22-28

Using curved arrows, propose a mechanism for the following reaction, one of the steps in the metabolism of the amino acid alanine.

An analog of alanine reacts with base to form a product with a double bond between the alpha carbon and the nitrogen of the amino acid chain.
Problem 22-29

Using curved arrows, propose a mechanism for the following reaction, one of the steps in the biosynthesis of the amino acid tyrosine.

A reactant comprising a cyclohexadiene ring with substituents attached para to the carbonyl groupundergoes a chemical reaction to yield tyrosine and carbon dioxide.
Problem 22-30

One of the later steps in glucose biosynthesis is the isomerization of fructose 6-phosphate to glucose 6-phosphate. Propose a mechanism, using acid or base catalysis as needed.

Fructose-6-phosphate undergoes a chemical reaction to yield glucose-6-phosphate as a product. Both the structures are represented in Fischer projection.
Problem 22-31

The Favorskii reaction involves treatment of an α-bromo ketone with base to yield a ring-contracted product. For example, reaction of 2-bromocyclohexanone with aqueous NaOH yields cyclopentanecarboxylic acid. Propose a mechanism.

When treated first with base and then with acid, 2-bromocyclohexanone is converted to cyclopentanecarboxylic acid.
Problem 22-32

Treatment of a cyclic ketone with diazomethane is a method for accomplishing a ring-expansion reaction. For example, treatment of cyclohexanone with diazomethane yields cycloheptanone. Propose a mechanism.

Cyclohexanone reacts with diazomethane in ether to yield cycloheptanone and molecular nitrogen as the products.
Problem 22-33

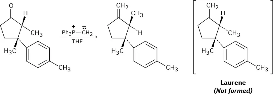
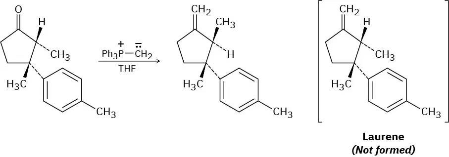
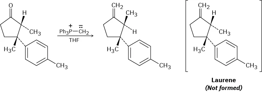
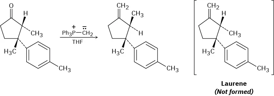
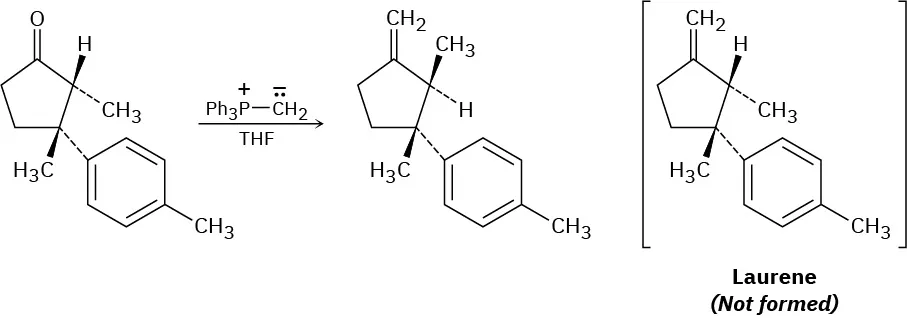
The final step in an attempted synthesis of laurene, a hydrocarbon isolated from the marine alga Laurencia glandulifera, involved the Wittig reaction shown. The product obtained, however, was not laurene but an isomer. Propose a mechanism to account for the unexpected results.

A substituted cyclopentanone reacts with the Wittig reagent P P h 3- C H 2 in T H F to yield a product, but the expected product Laurene is not formed.
Problem 22-34

Amino acids can be prepared by reaction of alkyl halides with diethyl acetamidomalonate, followed by heating the initial alkylation product with aqueous HCl. Show how you would prepare alanine, CH3CH(NH2)CO2H, one of the twenty amino acids found in proteins, and propose a mechanism for acid-catalyzed conversion of the initial alkylation product to the amino acid.

The structure of diethyl acetamidomalonate where diethyl malonate is substituted with an acetamide group.
Problem 22-35
Amino acids can also be prepared by a two-step sequence that involves Hell–Volhard–Zelinskii reaction of a carboxylic acid followed by treatment with ammonia. Show how you would prepare leucine, (CH3)2CHCH2CH(NH2)CO2H, and identify the mechanism of the second step.
Problem 22-36

Heating carvone with aqueous sulfuric acid converts it into carvacrol. Propose a mechanism for the isomerization.

When heated, carvone reacts with aqueous sulfuric acid to yield carvacrol.

Acidity of Carbonyl Compounds

Problem 22-37
Identify all the acidic hydrogens (pKa < 25) in the following molecules:
(a)
The structure of 3-methyl-2 pentanone comprises of a five carbon chain in which C 2 is a carbonyl group and a methyl group is on C 3.
(b)
The structure of 1, 3-cyclopentanedione where two carbonyl groups constitute the C 1 and C 3 positions of the cyclopentane ring.
(c)
Structure comprising a six-carbon chain in which C 2 is bonded to C 3 by a triple bond and a hydroxyl group is on C 6
(d)
A substituted benzene ring in which C O 2 C H 3 group is ortho to a C H 2 C triple bond N group
(e)
The structure of cyclopentanecarbonyl chloride in which C O C l is attached to a cyclopntane ring.
(f)
The structure of 2-methyl-1-penten-3-one which comprises of a five carbon chain with a double bond between C 1 and C 2, C 3 is a carbonyl group, and a methyl group is bonded to C 2
Problem 22-38

Rank the following compounds in order of increasing acidity:

(a)The structure of propanoic acid.(b)The structure of ethanol(c)The structure of diethyl amine where the N H group is bonded to two ethyl groups.(d)The structure of acetone where a central carbonyl group is bonded to two methyl groups.(e)The structure of pentane-2,4-dione, carbonyl groups being at C 2 and C 4 of a five carbon chain.(f)The structure of trichloroacetic acid where a trichloromethyl group is attached to a carboxylic acid group.

Problem 22-39
Write resonance structures for the following anions:
(a)
The structure of pentane-2,4-dione with a negative charge and a lone pair of electrons on C 3
(b)
The structure of 2-hexenone with a negative charge and a lone pair of electrons on C 3
(c)
The structure of a compound comprising of an isocyanide group joined to a carbon bearing a lone pair of electrons and a negative charge which in turn is attached to a methyl ester group.
(d)
A structure of phenylacetone with a negative charge and a lone pair of electrons on the carbon between the benzene ring and the carbonyl group.
(e)
A structure comprising a benzene ring that is bonded to cyclopentane-1,3-dione. C 2 of the cyclopentane ring is attached to a methyl ester group and also has a lone pair of electrons and a negative charge on it.
Problem 22-40

Base treatment of the following α,β-unsaturated carbonyl compound yields an anion by removal of H+ from the γ carbon. Why are hydrogens on the γ carbon atom acidic?

An alpha-beta unsaturated carbonyl compound reacts with L D A to yield a carbonyl compound comprising an anion with a set of lone pairs on gamma carbon.
Problem 22-41

Treatment of 1-phenyl-2-propenone with a strong base such as LDA does not yield an anion, even though it contains a hydrogen on the carbon atom next to the carbonyl group. Explain.

A structure of 1-phenyl-2-propenone where a phenyl ring is bonded to the carbonyl group of the propene chain.

α-Substitution Reactions

Problem 22-42
Predict the product(s) of the following reactions:
(a)
When heated, a compound which has two carboxylic acid groups are bonded to the same carbon of a cyclohexane ring reacts to form an unknown product, represented by a question mark.
(b)
1, 3-cyclopentanedione reacts first with sodium ethoxide and then with methyl iodide to yield an unknown product, represented by a question mark.
(c)
Butanoic acid reacts with bromine and phosphorus tribromide, yielding an unknown product which further reacts with water to yield another unknown product. Unknown products are represented by question marks.
(d)
Acetophenone  reacts with sodiium hydroxide, water, and iodine to give an unknown product, represented by a question mark.
Problem 22-43

Which, if any, of the following compounds can be prepared by a malonic ester synthesis? Show the alkyl halide you would use in each case.

(a) Ethyl pentanoate (b) Ethyl 3-methylbutanoate (c) Ethyl 2-methylbutanoate 
(d) Ethyl 2,2-dimethylpropanoate

Problem 22-44

Which, if any, of the following compounds can be prepared by an acetoacetic ester synthesis? Explain.

(a)The structure of 2-(5-bromophenyl) acetone where a bromine atom is bonded to meta to an acetone group on the benzene ring.(b)The structure of cyclohexyl methyl ketone where a methyl group and a cyclohexane group are bonded to a central carbonyl group.(c)The structure of 4,4-dimethyl-2-pentanone where the carbonyl group is located at C 2 and two methyl groups at C 4.

Problem 22-45
How would you prepare the following ketones using an acetoacetic ester synthesis?
(a)
The structure of 3-ethyl-2-hexanone where the carbonyl group is located at C 2 and an ethyl group at C 3.
(b)
The structure of 3-methyl-2-hexanone where the carbonyl group is located at C 2 and a methyl group at C 3.
Problem 22-46
How would you prepare the following compounds using either an acetoacetic ester synthesis or a malonic ester synthesis?
(a)
The structure of diethyl-2,2-dimethylmalonate, a derivative of malonic acid where the H atoms of the acid groups are replaced by ethyl groups and two methyl groups are attached to C 2.
(b)
The structure of cycloheptyl methyl ketone where a methyl group and a cycloheptane group are bonded to a central carbonyl group.
(c)
The structure of cyclobutanoic acid in which a carboxylic acid is bonded to a cyclobutane ring.
(d)
The structure of 5-hexen-2-one in which a carbonyl group is located at C 2 and a double bond is present between C 5 and C 6 of the compound.
Problem 22-47

Which of the following substances would undergo the haloform reaction?

(a) CH3COCH3(b) Acetophenone (c) CH3CH2CHO (d) CH3CO2H (e) CH3C N

Problem 22-48

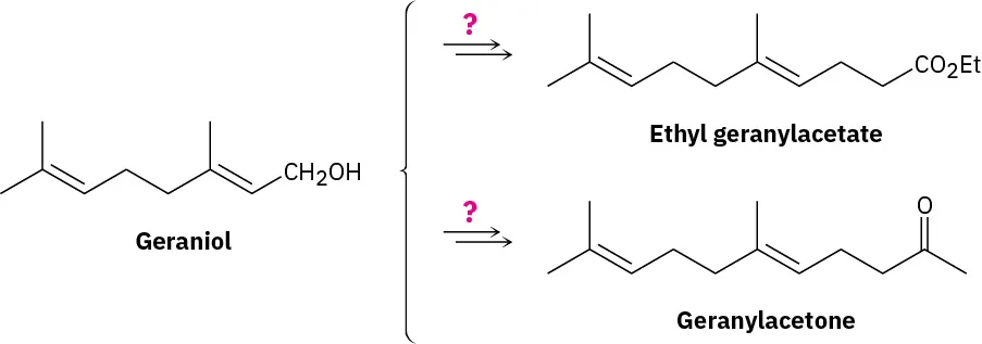
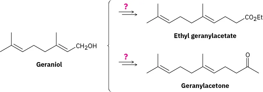
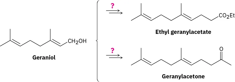
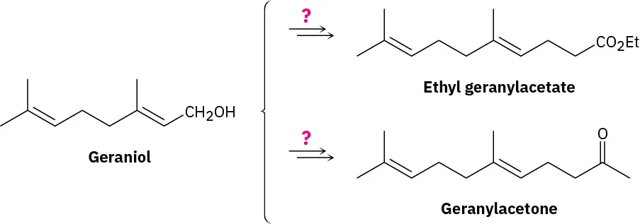
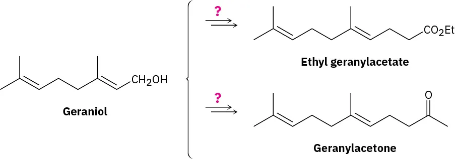
How might you convert geraniol into either ethyl geranylacetate or geranylacetone?

When using reagents represented by question marks, geraniol undergoes a chemical reaction to form ethyl geranylacetate and geranyl acetone.
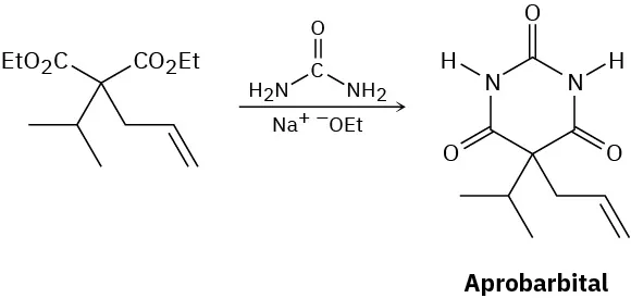
Problem 22-49

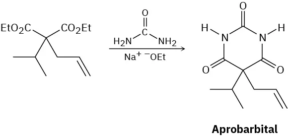
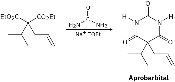
Aprobarbital, a barbiturate once used in treating insomnia, is synthesized in three steps from diethyl malonate. Show how you would synthesize the necessary dialkylated intermediate, and then propose a mechanism for the reaction of this intermediate with urea to give aprobarbital.

A derivative of ethyl malonate bearing an isopropyl and a vinyl group at the central carbon reacts with urea and sodium ethoxide to yield aprobarbital as a product.

General Problems

Problem 22-50
One way to determine the number of acidic hydrogens in a molecule is to treat the compound with NaOD in D2O, isolate the product, and determine its molecular weight by mass spectrometry. For example, if cyclohexanone is treated with NaOD in D2O, the product has MW = 102. Explain how this method works.
Problem 22-51
When optically active (R)-2-methylcyclohexanone is treated with either aqueous base or acid, racemization occurs. Explain.
Problem 22-52
Would you expect optically active (S)-3-methylcyclohexanone to be racemized on acid or base treatment in the same way as 2-methylcyclohexanone (Problem 22-51)? Explain.
Problem 22-53
When an optically active carboxylic acid such as (R)-2-phenylpropanoic acid is brominated under Hell–Volhard–Zelinskii conditions, is the product optically active or racemic? Explain.
Problem 22-54

Fill in the reagents ac that are missing from the following scheme:

A three-step reaction in which cyclohexanone sequentially reacts with reagents a, b, and c yielding 2, 6-dimethylcyclohexanone via two intermediate products.
Problem 22-55

Although 2-substituted 2-cyclopentenones are in a base-catalyzed equilibrium with their 5-substituted 2-cyclopentenone isomers, the analogous isomerization is not observed for 2-substituted 2-cyclohexenones. Explain.

2-Methyl-2-cyclohexen-1-one reacts with base to form 6-Methyl-2-cyclohexen-1-one
Problem 22-56
How would you synthesize the following compounds from cyclohexanone? More than one step may be required.
(a)
The structure of methylenecyclohexane where a C H 2 group is double-bonded to one carbon of a cyclohexane ring
(b)
The structure of (bromomethyl) cyclohexane where a C H 2 B r group is bonded to a carbon of a cyclohexane ring.
(c)
The structure of 2-benzylcyclohexanone where a carbonyl group is at C1 of a cyclohexane ring, and a benzyl group is attached to C 2 of the ring.
(d)
The structure of 3-cyclohexylpropanoic acid where a cyclohexane ring is bonded to the C 3 of a propanoic acid chain..
(e)
The structure of 1-cyclohexenecarboxylic acid in which a carboxylic acid group is attached to one of the double-bonded carbons in a cyclohexene ring.
(f)
The structure 2-cyclohexen-1-one in which a carbonyl group is located at C 1 of a cyclohexene ring, the double bond being between C 2 and C 3.
Problem 22-57
The two isomers cis- and trans-4-tert-butyl-2-methylcyclohexanone are interconverted by base treatment. Which isomer do you think is more stable, and why?
Problem 22-58
The following synthetic routes are incorrect. What is wrong with each?
(a)
Ethyl pentanoate is treated first with bromine in acetic acid followed by pyridine and heat to produce ethyl 2-pentenoate
(b)
Diethyl 2 methylmalonate is treated first with sodium ethoxide, then with bromobenzene, and finally heated in the presence of acid to produce 2-methyl-2-phenylethanoic acid.
(c)
Ethyl acetoacetate is treated first with sodium ethoxide, then with 3- bromo-1-propene, and finally heated in the presence of acid to produce 4-pentenoic acid
Problem 22-59

Attempted Grignard reaction of cyclohexanone with tert-butylmagnesium bromide yields only about 1% of the expected addition product along with 99% unreacted cyclohexanone. If D3O+ is added to the reaction mixture after a suitable period, however, the “unreacted” cyclohexanone is found to have one deuterium atom incorporated into it. Explain.

Cyclohexanone is treated first with tert-butylmagnesium bromide and then with deuterium plus to form one percent of the expected addition product and 99 percent of alpha-deuterocyclohexanone.
Problem 22-60

Ketones react slowly with benzeneselenenyl chloride in the presence of HCl to yield α-phenylseleno ketones. Propose a mechanism for this acid-catalyzed α-substitution reaction.

A ketone undergoes a chemical reaction with benzeneselenenyl chloride and hydrochloric acid, yielding an alpha-phenylseleno ketone.
Problem 22-61

South American Incas chewed the leaves of the coca bush, Erythroxylon coca, to combat fatigue. Chemical studies of Erythroxylon coca by Friedrich Wöhler in 1862 resulted in the discovery of cocaine, C17H21NO4, as the active component. Basic hydrolysis of cocaine leads to methanol, benzoic acid, and another compound called ecgonine, C9H15NO3. Oxidation of ecgonine with CrO3 yields a keto acid that readily loses CO2 on heating, giving tropinone.

A chair conformation of tropinone in which an N C H 3 group bridges from C3 to C6 of a cycloheptanone ring.
(a)
What is a likely structure for the keto acid?
(b)
What is a likely structure for ecgonine, neglecting stereochemistry?
(c)
What is a likely structure for cocaine, neglecting stereochemistry?
Problem 22-62

The key step in a reported laboratory synthesis of sativene, a hydrocarbon isolated from the mold Helminthosporium sativum, involves the following base treatment of a keto tosylate. What kind of reaction is occurring? How would you complete the synthesis?

A keto tosylate reacts with a base to yield an intermediate which reacts with an unknown reagent, represented by a question mark to yield sativene as a product.
Problem 22-63

Sodium pentothal is a short-acting barbiturate derivative used as a general anesthetic and known in popular culture as a truth serum. It is synthesized like other barbiturates (see the Chemistry Matters at the end of this chapter), using thiourea, (H2N)2C S, in place of urea. How would you synthesize sodium pentothal?

The structure of sodium pentothal comprising of a six-membered ring with carbon atoms at positions 1 and 4, nitrogen atoms at positions 2 and 6, and carbonyl groups at positions 3 and 5. A sulfur anion is bonded to the carbon at position 1 and an alyl chain to the carbon at position 4. The sulfur anion is associated with a soidum cation.
Citation/Attribution

This book may not be used in the training of large language models or otherwise be ingested into large language models or generative AI offerings without OpenStax's permission.

Want to cite, share, or modify this book? This book uses the Creative Commons Attribution-NonCommercial-ShareAlike License and you must attribute OpenStax.

Attribution information
  • If you are redistributing all or part of this book in a print format, then you must include on every physical page the following attribution:

    Access for free at https://openstax.org/books/organic-chemistry/pages/1-why-this-chapter

  • If you are redistributing all or part of this book in a digital format, then you must include on every digital page view the following attribution:

    Access for free at https://openstax.org/books/organic-chemistry/pages/1-why-this-chapter

Citation information

© Jul 9, 2025 OpenStax. Textbook content produced by OpenStax is licensed under a Creative Commons Attribution-NonCommercial-ShareAlike License . The OpenStax name, OpenStax logo, OpenStax book covers, OpenStax CNX name, and OpenStax CNX logo are not subject to the Creative Commons license and may not be reproduced without the prior and express written consent of Rice University.