Skip to ContentGo to accessibility pageKeyboard shortcuts menu
OpenStax Logo
Organic Chemistry

Additional Problems

Organic ChemistryAdditional Problems
Search for key terms or text.

20 • Additional Problems

20 • Additional Problems

Visualizing Chemistry

Problem 20-17
Give IUPAC names for the following carboxylic acids (reddish brown = Br):
(a)
A ball-and-stick model of a benzene ring with a carboxyl group, a bromine meta to the carboxyl, and a methoxy group para to the carboxyl.
(b)
A ball-and-stick model of a four-carbon chain with a carboxyl end. There is a double bond on C 2 and a methyl on C 3.
(c)
The ball-and-stick model represents a cyclopentadiene ring with a carboxylic acid group attached to C 1. The double bonds are located on the first and third carbon atoms.
(d)
A ball-and-stick model of a three-carbon chain with a carboxyl end. There is a methyl on C 2 and a cyclopentane on C 3.
Problem 20-18
Would you expect the following carboxylic acids to be more acidic or less acidic than benzoic acid? Explain. (Reddish brown = Br.)
(a)
A ball-and-stick model of a benzene ring with a carboxyl group and a bromine para to the carboxyl.
(b)
A ball-and-stick model of a benzene ring with a carboxyl group and a dimethylamine group para to the carboxyl.
Problem 20-19

The following carboxylic acid can’t be prepared from an alkyl halide by either the nitrile hydrolysis route or the Grignard carboxylation route. Explain.

A ball-and-stick model of a four-carbon chain with a carboxyl end. There are two methyl groups on C 2 and a hydroxy group on C 4.
Problem 20-20

Electrostatic potential maps of anisole and thioanisole are shown. Which do you think is the stronger acid, p-methoxybenzoic acid or p-(methylthio)benzoic acid? Explain.

The ball-and-stick model with electrostatic potential maps of anisole (methoxybenzene) and thioanisole ([methylsulfanyl]benzene).

Mechanism Problems

Problem 20-21
Predict the product(s) and write the mechanism of each of the following reactions:
(a)
Conversion of bromobenzene to unknown products depicted by a question mark by reaction first with magnesium, then with carbon dioxide, and finally with hydronium.
(b)
Conversion of 2-bromobutane to unknown products depicted by a question mark by reaction first with magnesium, then with carbon dioxide, and finally with hydronium.
Problem 20-22
Predict the product(s) and write the mechanism of each of the following reactions:
(a)
Conversion of cyclopentanecarboxamide to unknown products depicted by a question mark by reaction with thionyl chloride.
(b)
Conversion of benzamide to unknown products depicted by a question mark by reaction with thionyl chloride.
Problem 20-23
Predict the product(s) and write the mechanism of each of the following reactions:
(a)
Conversion of 2-methylbutanenitrile to unknown products depicted by a question mark by reaction with sodium hydroxide and water.
(b)
Conversion of 3-methylbenzonitrile to unknown products depicted by a question mark by reaction with sodium hydroxide and water.
Problem 20-24
Predict the product(s) and write the complete mechanism of each of the following reactions:
(a)
2-methoxybenzonitrile reacts with methylmagnesium bromide in the presence of ether followed by acidic hydrolysis to give unknown products depicted by a question mark.
(b)
Cyclopropanecarbonitrile reacts with phenylmagnesium bromide in the presence of ether followed by acidic hydrolysis to give unknown products depicted by a question mark.
Problem 20-25
Acid-catalyzed hydrolysis of a nitrile to give a carboxylic acid occurs by initial protonation of the nitrogen atom, followed by nucleophilic addition of water. Review the mechanism of base-catalyzed nitrile hydrolysis in Section 20.7 and then predict the products for the following reactions. Write the steps involved in the acid-catalyzed reaction, using curved arrows.
(a)
Conversion of 3,3-dimethylbutane nitrile to unknown products depicted by a question mark by reaction with hydrochloric acid and water.
(b)
Conversion of 4-methylbenzonitrile to unknown products depicted by a question mark by reaction with hydrochloric acid and water.
Problem 20-26

Nitriles can be converted directly to esters by the Pinner reaction, which first produces an iminoester salt that is isolated and then treated with water to give the final product. Propose a mechanism for the Pinner reaction using curved arrows to show the flow of electrons at each step.

Conversion of benzonitrile to methyl benzoate. An imine ester intermediate is formed (reacting with hydrochloric acid in methanol) in which carbon is double-bonded to nitrogen, carrying a positive charge.
Problem 20-27
Naturally occurring compounds called cyanogenic glycosides, such as lotaustralin, release hydrogen cyanide, HCN, when treated with aqueous acid. The reaction occurs by hydrolysis of the acetal linkage to form a cyanohydrin, which then expels HCN and gives a carbonyl compound.
(a)

Show the mechanism of the acetal hydrolysis and the structure of the cyanohydrin that results.

(b)

Propose a mechanism for the loss of HCN, and show the structure of the carbonyl compound that forms.

Structure of Lotaustralin comprises a pyran ring in the chair conformation, with attached hydroxyl groups. The carbon connected to side-chain oxygen bonded to carbon carries wedged-methyl and dashed-wedged nitrile groups.
Problem 20-28

2-Bromo-6,6-dimethylcyclohexanone gives 2,2-dimethylcyclopentanecarboxylic acid on treatment with aqueous NaOH followed by acidification, a process called the Favorskii reaction. Propose a mechanism.

Conversion of 6-bromo-2,2-dimethylcyclohexanone to 2,2-dimethylcyclopentanecarboxylic acid on reaction with aqueous sodium hydroxide followed by acid hydrolysis.
Problem 20-29

Naturally occurring compounds called terpenoids, which we’ll discuss in Section 27.5, are biosynthesized by a pathway that involves loss of CO2 from 3-phosphomevalonate 5-diphosphate to yield isopentenyl diphosphate. Use curved arrows to show the mechanism of this reaction.

The reaction of 3-phosphomevalonate 5-diphosphate forms three products: isopentenyl diphosphate, carbon dioxide, and phosphate.
Problem 20-30

In the Ritter reaction, an alkene reacts with a nitrile in the presence of strong aqueous sulfuric acid to yield an amide. Propose a mechanism.

Conversion of 1-methylcyclohex-1-ene to N-(1-methylcyclohexyl)acetamide. The reagents used are aqueous sulfuric acid and acetonitrile.

Naming Carboxylic Acids and Nitriles

Problem 20-31
Give IUPAC names for the following compounds:
(a)
A six-carbon chain with carboxyl groups on carbons 2 and 5.
(b)
A three-carbon chain in which the first carbon is part of a carboxyl group. There are two methyl groups on the adjacent carbon.
(c)
A benzene ring with a carboxyl substituent. Meta to the carboxyl is a cyano substituent.
(d)
A ten-carbon ring with a carboxyl substituent. There is a double bond on the alpha carbon, with trans orientation.
(e)
A three-carbon chain in which the first carbon is part of a nitrile group. There are two methyl groups on the adjacent carbon.
(f)
A six-carbon chain with a substituent on the third carbon. The substituent has the condensed formula C H 2 C O 2 H.
(g)
A five-carbon chain in which the first carbon is part of a carboxyl group. There are bromine groups on the furthest and next-to-furthest carbons from the carboxyl.
(h)
A cyclopentene with a cyano substituent one carbon from the end of the double bond.
Problem 20-32
Draw structures corresponding to the following IUPAC names:
(a)
cis-1,2-Cyclohexanedicarboxylic acid
(b)
Heptanedioic acid
(c)
2-Hexen-4-ynoic acid
(d)
4-Ethyl-2-propyloctanoic acid
(e)
3-Chlorophthalic acid
(f)
Triphenylacetic acid
(g)
2-Cyclobutenecarbonitrile
(h)
m-Benzoylbenzonitrile
Problem 20-33
Draw and name the following compounds:
(a)
The eight carboxylic acids with the formula C6H12O2
(b)
Three nitriles with the formula C5H7N
Problem 20-34
Pregabalin, marketed as Lyrica, is an anticonvulsant drug that is also effective in treating chronic pain. The IUPAC name of pregabalin is (S)-3-(aminomethyl)-5-methylhexanoic acid. (An aminomethyl group is –CH2NH2.) Draw the structure of pregabalin.
Problem 20-35
Isocitric acid, an intermediate in the citric acid cycle of food metabolism, has the systematic name (2R,3S)-3-carboxy-2-hydroxypentanedioic acid. Draw the structure.

Acidity of Carboxylic Acids

Problem 20-36
Order the compounds in each of the following sets with respect to increasing acidity:
(a)
Acetic acid, oxalic acid, formic acid
(b)
p-Bromobenzoic acid, p-nitrobenzoic acid, 2,4-dinitrobenzoic acid
(c)
Fluoroacetic acid, 3-fluoropropanoic acid, iodoacetic acid
Problem 20-37
Arrange the compounds in each of the following sets in order of increasing basicity:
(a)
Magnesium acetate, magnesium hydroxide, methylmagnesium bromide
(b)
Sodium benzoate, sodium p-nitrobenzoate, sodium acetylide
(c)
Lithium hydroxide, lithium ethoxide, lithium formate
Problem 20-38
Calculate the pKa’s of the following acids:
(a)
Lactic acid, Ka = 8.4 × 10–4
(b)
Acrylic acid, Ka = 5.6 × 10–6
Problem 20-39
Calculate the Ka’s of the following acids:
(a)
Citric acid, pKa = 3.14
(b)
Tartaric acid, pKa = 2.98
Problem 20-40
Thioglycolic acid, HSCH2CO2H, a substance used in depilatory agents (hair removers) has pKa = 3.42. What is the percent dissociation of thioglycolic acid in a buffer solution at pH = 3.0?
Problem 20-41

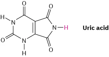
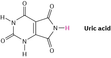
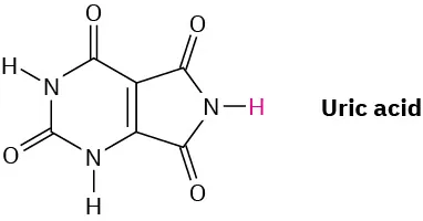
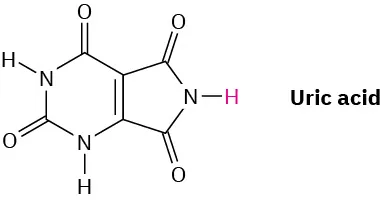
In humans, the final product of purine degradation from DNA is uric acid, pKa = 5.61, which is excreted in the urine. What is the percent dissociation of uric acid in urine at a typical pH = 6.0? Why do you think uric acid is acidic even though it does not have a CO2H group?

The structure of uric acid from pyrimidine base. The nitrogen atom in the five-membered ring is attached to a highlighted hydrogen. The nitrogen is placed in between two carbonyl groups.
Problem 20-42

Some pKa data for simple dibasic acids is shown. How can you account for the fact that the difference between the first and second ionization constants decreases with increasing distance between the carboxyl groups?

Name Structure pK1 pK2
Oxalic HO2CCO2H 1.2 4.2
Succinic HO2CCH2CH2CO2H 4.2 5.6
Adipic HO2C(CH2)4CO2H 4.4 5.4

Reactions of Carboxylic Acids and Nitriles

Problem 20-43
How could you convert butanoic acid into the following compounds? Write each step showing the reagents needed.
(a)
1-Butanol
(b)
1-Bromobutane
(c)
Pentanoic acid
(d)
1-Butene
(e)
Octane
Problem 20-44
How could you convert each of the following compounds into butanoic acid? Write each step showing all reagents.
(a)
1-Butanol
(b)
1-Bromobutane
(c)
1-Butene
(d)
1-Bromopropane
(e)
4-Octene
Problem 20-45
How could you convert butanenitrile into the following compounds? Write each step showing the reagents needed.
(a)
1-Butanol
(b)
Butylamine
(c)
2-Methyl-3-hexanone
Problem 20-46
How would you prepare the following compounds from benzene? More than one step is needed in each case.
(a)
m-Chlorobenzoic acid
(b)
p-Bromobenzoic acid
(c)
Phenylacetic acid, C6H5CH2CO2H
Problem 20-47
Predict the product of the reaction of p-methylbenzoic acid with each of the following:
(a)
LiAlH4, then H3O+
(b)
N-Bromosuccinimide in CCl4
(c)
CH3MgBr in ether, then H3O+
(d)
KMnO4, H3O+
Problem 20-48
Using 13CO2 as your only source of labeled carbon, along with any other compounds needed, how would you synthesize the following compounds?
(a)
CH3CH213CO2H
(b)
CH313CH2CO2H
Problem 20-49

How would you carry out the following transformations?

The conversion of methylenecyclohexane reacts with one set of unknown reagents to form 2-cyclohexylacetic acid, and with another set of unknown reagents to form 1-methylcyclohexanecarboxylic acid.
Problem 20-50
Which method—Grignard carboxylation or nitrile hydrolysis—would you use for each of the following reactions? Explain.
(a)
2-(bromomethyl)phenol separated from 2-(2-hydroxyphenyl)acetic acid by a reaction arrow.
(b)
2-bromobutane separated from 3-methylbutanoic acid by a reaction arrow.
(c)
5-iodopentan-2-one separated from 5-oxohexanoic acid by a reaction arrow.
(d)
3-bromopropanol separated from 4-hydroxybutanoic acid by a reaction arrow.
Problem 20-51

1,6-Hexanediamine, a starting material needed for making nylon, can be made from 1,3-butadiene. How would you accomplish the synthesis?

The conversion of buta-1,3-diene to hexane-1,6-diamine. The missing reagents are depicted with a question mark.
Problem 20-52
3-Methyl-2-hexenoic acid (mixture of E and Z isomers) has been identified as the substance responsible for the odor of human sweat. Synthesize the compound from starting materials having five or fewer carbons.

Spectroscopy

Problem 20-53
Propose a structure for a compound C6H12O2 that dissolves in dilute NaOH and shows the following 1H NMR spectrum: 1.08 δ (9 H, singlet), 2.2 δ (2 H, singlet), and 11.2 δ (1 H, singlet).
Problem 20-54

What spectroscopic method could you use to distinguish among the following three isomeric acids? Tell what characteristic features you would expect for each acid.

The condensed formulas for pentanoic acid, 3-methylbutanoic acid, and 2,2-dimethylpropanoic acid.
Problem 20-55
How would you use NMR (either 13C or 1H) to distinguish between the following pairs of isomers?
(a)
The structures of benzene-1,3-dicarboxylic acid and benzene-1,4-dicarboxylic acid. Structure 1 carboxyl groups at first and third carbons. Structure 2 carboxyl groups at first and fourth carbons.
(b)
The condensed formulas read H O 2 C C H 2 C H 2 C O 2 H and C H 3 C H (C O 2 H)2
(c)
Formulas read C H 3 C H 2 C H 2 C O 2 H and H O C H 2 C H 2 C H 2 C H O.
(d)
The condensed formula of 4-methylpent-3-enoic acid, and the chemical structure of cyclopentanecarboxylic acid.
Problem 20-56

Compound A, C4H8O3, has infrared absorptions at 1710 and 2500 to 3100 cm–1 and has the 1H NMR spectrum shown. Propose a structure for A.

The proton spectrum of C 4 H 8 O 3 shows peaks at 1.26 (triplet), 3.64 (quartet), 4.14 (singlet), and 11.12 (singlet).

General Problems

Problem 20-57
A chemist in need of 2,2-dimethylpentanoic acid decided to synthesize some by reaction of 2-chloro-2-methylpentane with NaCN, followed by hydrolysis of the product. After the reaction sequence was carried out, however, none of the desired product could be found. What do you suppose went wrong?
Problem 20-58

Show how you might prepare the anti-inflammatory agent ibuprofen starting from isobutylbenzene. More than one step is needed.

Chemical structure of isobutylbenzene with arrows pointing toward ibuprofen (isobutyl benzene with substituent in para position: ethyl group with C O 2 H at ethyl C 1).
Problem 20-59
The following synthetic schemes all have at least one flaw in them. What is wrong with each?
(a)
Conversion of 3-bromopentane to 2-ethylbutanoic acid through reaction first with magnesium, then sodium cyanide, then hydronium.
(b)
Conversion of 2-phenylacetic acid to ethylbenzene through reaction first with lithium aluminum hydride, then hydronium.
(c)
Conversion of 4-chloro-2-methylbutan-2-ol to 4-hydroxy-4-methylpentanoic acid using sodium cyanide followed by acid hydrolysis.
Problem 20-60
p-Aminobenzoic acid (PABA) was once widely used as a sunscreen agent. Propose a synthesis of PABA starting from toluene.
Problem 20-61

Propose a synthesis of the anti-inflammatory drug fenclorac from phenylcyclohexane.

The structure of Fenclorac. A phenylcyclohexane ring is depicted with a chlorine atom bonded to the third carbon of the benzene. 2-chloroacetic acid occupies the first carbon of the benzene.
Problem 20-62

The pKa’s of five p-substituted benzoic acids (YC6H4CO2H) are listed below. Rank the corresponding substituted benzenes (YC6H5) in order of their increasing reactivity toward electrophilic aromatic substitution. If benzoic acid has pKa = 4.19, which of the substituents are activators and which are deactivators?

Substituent Y The structure of benzoic acid with a substituent Y placed para to the carboxylic acid group attached to the benzene ring. To the left, p k a term is mentioned.
–Si(CH3)3 4.27
–CH═CHC≡N 4.03
–HgCH3 4.10
–OSO2CH3 3.84
–PCl2 3.59
Problem 20-63
How would you carry out the following transformations? More than one step is needed in each case.
(a)
Benzene separated from 2-methyl-2-phenylpropanoic acid by a reaction arrow.
(b)
Cyclohexanone separated from 1-phenylcyclohexanecarboxylic acid by a reaction arrow. 1-phenylcyclohexanecarboxylic acid has a cyclohexane ring single bonded to a phenyl group and a carboxyl group at C 1.
Problem 20-64

The following pKa values have been measured. Explain why a hydroxyl group in the para position decreases the acidity while a hydroxyl group in the meta position increases the acidity.

The acid strengths of 4-hydroxybenzoic acid (p K a equals 4.48), benzoic acid (p K a equals 4.19), and 3-hydroxybenzoic acid (p K a equals 4.07) are compared.
Problem 20-65

Identify the missing reagents af in the following scheme:

Reaction of 3-methylbut-1-ene to form 3-methylbutan-1-ol, then 3-methyl-1-bromobutane, then 3-methylpentanoic acid, then 4-methylpentan-1-ol, then 4-methylpentanal, then 4-methyl pentane. Missing reagents in each step indicated using letters a through f.
Problem 20-66

Propose a structure for a compound, C4H7N, that has the following IR and 1H NMR spectra:

An I R spectrum with a strong band below 3000 and around 1750 wavenumbers. A proton spectrum with shifts of 1.06 (triplet), 1.68 (sextet), and 2.31 (triplet).
Problem 20-67
The two 1H NMR spectra shown here belong to crotonic acid (trans-CH3CH = CHCO2H) and methacrylic acid [H2C = C(CH3)CO2H]. Which spectrum corresponds to which acid? Explain.
(a)
The proton spectrum shows peaks at 1.91 (doublet), 5.83 (doublet), 7.10 (multiplet), and 12.21 (singlet).
(b)
The proton spectrum shows peaks at 1.93 (singlet), 5.66 (singlet), 6.25 (singlet), and 12.24 (singlet).
Problem 20-68
The 1H and 13C NMR spectra below belong to a compound with formula C6H10O2. Propose a structure for this compound.
(a)
The proton spectrum shows peaks at 1.05 (triplet), 1.80 (singlet), 2.25 (multiplet), 6.85 (triplet), and 12.5 (singlet).
(b)
The carbon-13 spectra show peaks at 11.79, 12.89, 22.24, 126.62, 146.71, and 174.19.
Problem 20-69
Propose structures for carboxylic acids that show the following peaks in their 13C NMR spectra. Assume that the kinds of carbons (1°, 2°, 3°, or 4°) have been assigned by DEPT-NMR.
(a)
C7H12O2: 25.5 δ (2°), 25.9 δ (2°), 29.0 δ (2°), 43.1 δ (3°), 183.0 δ (4°)
(b)
C8H8O2: 21.4 δ (1°), 128.3 δ (4°), 129.0 δ (3°), 129.7 δ (3°), 143.1 δ (4°), 168.2 δ (4°)
Problem 20-70

Carboxylic acids having a second carbonyl group two atoms away lose CO2 (decarboxylate) through an intermediate enolate ion when treated with base. Write the mechanism of this decarboxylation reaction using curved arrows to show the electron flow in each step.

Conversion of 3-oxobutanoic acid on reaction with aqueous sodium hydroxide to a three-carbon enolate ion and carbon dioxide. Further reaction with water produces propan-2-one.
Citation/Attribution

This book may not be used in the training of large language models or otherwise be ingested into large language models or generative AI offerings without OpenStax's permission.

Want to cite, share, or modify this book? This book uses the Creative Commons Attribution-NonCommercial-ShareAlike License and you must attribute OpenStax.

Attribution information
  • If you are redistributing all or part of this book in a print format, then you must include on every physical page the following attribution:

    Access for free at https://openstax.org/books/organic-chemistry/pages/1-why-this-chapter

  • If you are redistributing all or part of this book in a digital format, then you must include on every digital page view the following attribution:

    Access for free at https://openstax.org/books/organic-chemistry/pages/1-why-this-chapter

Citation information

© Jul 9, 2025 OpenStax. Textbook content produced by OpenStax is licensed under a Creative Commons Attribution-NonCommercial-ShareAlike License . The OpenStax name, OpenStax logo, OpenStax book covers, OpenStax CNX name, and OpenStax CNX logo are not subject to the Creative Commons license and may not be reproduced without the prior and express written consent of Rice University.