Skip to ContentGo to accessibility pageKeyboard shortcuts menu
OpenStax Logo
Organic Chemistry

Additional Problems

Organic ChemistryAdditional Problems
Search for key terms or text.

17 • Additional Problems

17 • Additional Problems

Visualizing Chemistry

Problem 17-20
Give IUPAC names for the following compounds:
(a)
A ball-and-stick model of six-carbon chain with hydroxyl on C 3 and methyl on C 5 position.
(b)
A ball-and-stick model of cyclohexane with hydroxyl group on C 1 and methyl on C 3 position.
(c)
A ball-and-stick model of cyclopentane linked to a carbon atom that has H, methyl, and O H substituents.
(d)
A ball-and-stick model of a benzene with O H on C 1, a nitro group on C 3 and a methyl group on C 4 position.
Problem 17-21
Draw the structure of the carbonyl compound(s) from which each of the following alcohols might have been prepared, and show the products you would obtain by treatment of each alcohol with (1) Na metal, (2) SOCl2, and (3) Dess–Martin periodinane.
(a)
A ball-and-stick model of a six-carbon chain with hydroxyl on C 2, and methyl group on C 5 position.
(b)
A ball-and-stick model of five carbon chain with hydroxyl on C 1, and methyl group on C 3 position.
Problem 17-22

Predict the product from reaction of the following substance (reddish brown = Br) with:

A ball-and-stick model of benzene with bromine on C 1, C 3 of benzene has the substituent 2-butanol attached by C 3 of 2-butanol.
(a)
PBr3
(b)
Aqueous H2SO4
(c)
SOCl2
(d)
Dess–Martin periodinane
(e)
Br2, FeBr3
Problem 17-23

Predict the product from reaction of the following substance with:

A ball-and-stick model of a five-carbon chain with C O O C H 3 on C 1, and a methyl group on C 4 position.
(a)
NaBH4; then H3O+
(b)
LiAlH4; then H3O+
(c)
2 CH3CH2MgBr; then H3O+
Problem 17-24

Name and assign R or S stereochemistry to the product(s) you would obtain by reaction of the following substance with ethylmagnesium bromide. Is the product chiral? Is it optically active? Explain.

A ball-and-stick model of a five-carbon chain with keto group on C 2, and C 3 has a methyl group.

Mechanism Problems

Problem 17-25

Evidence for the intermediate carbocations in the acid-catalyzed dehydration of alcohols comes from the observation that rearrangements sometimes occur. Propose a mechanism to account for the formation of 2,3-dimethyl-2-butene from 3,3-dimethyl-2-butanol.

3,3-dimethyl-2-butanol reacts with sulfuric acid to form 2,3-dimethyl-2-butene and water.
Problem 17-26

Acid-catalyzed dehydration of 2,2-dimethylcyclohexanol yields a mixture of 1,2-dimethylcyclohexene and isopropylidenecyclopentane. Propose a mechanism to account for the formation of both products.

The structure of isopropylidenecyclopentane. It is an isocyclopentane with a double bond between C 1 of cyclopentane and C 2 of the propyl group.
Problem 17-27

Epoxides react with Grignard reagents to yield alcohols. Propose a mechanism.

cyclopentane with dashed hydrogen and wedged hydroxyl on C 1 and wedged hydrogen and dashed methyl on C 2.
Problem 17-28

Treatment of the following epoxide with aqueous acid produces a carbocation intermediate that reacts with water to give a diol product. Show the structure of the carbocation, and propose a mechanism for the second step.

An epoxide reacts with hydronium ion to form a carbocation. This reacts with water to form a diol.
Problem 17-29
Reduction of 2-butanone with NaBH4 yields 2-butanol. Is the product chiral? Is it optically active? Explain.
Problem 17-30
The conversion of 3° alcohols into 3° alkyl halides under acidic conditions involves two cationic intermediates. For each reaction, draw the complete mechanism using curved arrows.
(a)
1-methylcyclohexanol reacts with H Cl to form 1-chloro-1-methylcyclohexane.
(b)
2-methylbutan-2-ol reacts with H Br to form 2-bromo-2-methylbutane.
(c)
Two fused cyclohexane rings with a hydroxyl at a bridgehead carbon reacts with H Cl to substitute chlorine for the hydroxyl group.
Problem 17-31
Identify the type of substitution mechanism (SN1, SN2) involved in the conversion of the following alcohols into the corresponding alkyl halide.
(a)
2-methylbutan-2-ol reacts with H Cl to form 2-chloro-2-methylbutane.
(b)
2-butanol reacts with P Br 3 to form 2-bromobutane.
(c)
1-propanol reacts first with tosyl chloride and pyridine, then sodium bromide, to form 1-bromopropane.
Problem 17-32
The conversion of 3° alcohols into alkenes under acidic conditions involves two cationic intermediates. For each reaction, draw the complete mechanism using curved arrows.
(a)
1-methylcyclohexanol reacts with hydronium to form 1-methylcyclohexene.
(b)
2-methylbutan-2-ol reacts with hydronium to form 2-methylbut-2-ene.
(c)
Methanol with two methyl and one phenyl substituents reacts with hydronium to form 1-methyl-1-phenylethene
Problem 17-33
For each reaction, write the mechanism using curved arrows for the conversion of the alcohol into the corresponding alkene with POCl3. In each case, explain the regiochemistry of the elimination.
(a)
Cyclohexane with dashed bond to isopropyl, wedged bond to hydroxyl on adjacent (clockwise) carbon reacts with phosphoryl chloride to form R-3-isopropylcyclohexene.
(b)
3-methyl-2-pentanol reacts with P O Cl 3 in pyridine to produce E-3-methyl-2-pentene.
(c)
1-phenyl-propan-1-ol reacts with phosphoryl chloride and pyridine to form prop-1-en-1-ylbenzene.
Problem 17-34
The trimethylsilyl (TMS) protecting group is one of several silicon protecting groups for alcohols. For each reaction, draw the mechanism for the protection of (R)-3-bromo-1-butanol with the following silyl chlorides, using triethylamine as the base:
(a)
tert-butyldimethylsilyl chloride (TBS-Cl)
(b)
triisopropylsilyl chloride (TIPS-Cl)
(c)
triethylsilyl chloride (TES-Cl)
Problem 17-35

When the following alcohol is treated with POCl3 and pyridine, the expected elimination product is formed. However, when the same alcohol is treated with H2SO4, the elimination product is 1,2-dimethylcyclopentene. Propose a mechanism for each pathway to account for these differences.

Propan-2-ylidenecyclobutane reacts with 2-cyclobutylpropan-2-ol. This reacts with sulfuric acid to form 1,2-dimethylcyclopent-1-ene.
Problem 17-36
Phenols generally have lower pKa’s than alcohols because of resonance stabilization with the aromatic ring. Draw all of the resonance contributors for the following phenolate ions.
(a)
Chemical structure of 4-methylphenoxide.
(b)
Chemical structure of 4-cyanophenoxide.
(c)
Chemical structure of 3-methoxyphenoxide.

Naming Alcohols

Problem 17-37
Give IUPAC names for the following compounds:
(a)
Condensed structural formula of a four carbon chain with (counting from left) hydroxyl groups on first and fourth carbons, methyl on third carbon.
(b)
Condensed structural formula of a five carbon chain with (counting from left) hydroxyl group on second carbon, n-propyl group on third carbon.
(c)
Four-carbon ring with wedged hydroxyl and dashed hydrogen on C 1, and dashed hydrogen and wedged hydroxyl on C 3 position.
(d)
Seven-membered ring with hydroxyl (wedge) and hydrogen (dash) on a carbon, methyl (wedge) and hydrogen (dash) on clockwise adjacent carbon, and double bond starting two carbons further clockwise.
(e)
Five-carbon ring with phenyl (wedge) and hydrogen (dash) on a carbon, and hydroxyl (wedge) and hydrogen (dash) two carbons away, clockwise.
(f)
Benzene with hydroxyl on C 1, bromine group on C 2, and cyano group on C 4 position.
Problem 17-38
Draw and name the eight isomeric alcohols with formula C5H12O.
Problem 17-39
Draw structures corresponding to the following IUPAC names:
(a)
Trans-3-Chlorocycloheptanol
(b)
2-Ethyl-2-buten-1-ol
(c)
o-(2-Hydroxyethyl)phenol
(d)
3-Methyl-1-phenyl-1-butanol
Problem 17-40
Bombykol, the sex pheromone secreted by the female silkworm moth has the formula C16H28O and the systematic name (10E,12Z)-10,12-hexadecadien-1-ol. Draw bombykol, showing the correct geometry for the two double bonds.
Problem 17-41

Carvacrol is a naturally occurring substance isolated from oregano, thyme, and marjoram. What is its IUPAC name?

The structure of carvacrol. It is a benzene with hydroxyl on C 1, methyl on C 2, and isopropyl on C 5.

Synthesizing Alcohols

Problem 17-42
What Grignard reagent and what carbonyl compound might you start with to prepare the following alcohols:
(a)
A four-carbon chain with hydroxyl on C 2 position.
(b)
A five-carbon chain with hydroxyl on C 3 position.
(c)
Chemical structure of 2-methylprop-2-en-1-ol.
(d)
Chemical structure of triphenylmethanol.
(e)
Methanol with two methyl and one phenyl substituents.
(f)
Cyclohexene with C H 2 O H group on C 1 position.
Problem 17-43
What carbonyl compounds would you reduce to prepare the following alcohols: List all possibilities.
(a)
A six-carbon chain with hydroxyl on C 1, and two methyl on C 2 position.
(b)
A three-carbon chain with hydroxyl on C 2 and two methyl groups on C 3 position.
(c)
Chemical structure of 1-cyclohexylpropan-1-ol.
Problem 17-44
What carbonyl compounds might you start with to prepare the following compounds by Grignard reaction? List all possibilities.
(a)
2-Methyl-2-propanol
(b)
1-Ethylcyclohexanol
(c)
3-Phenyl-3-pentanol
(d)
2-Phenyl-2-pentanol
(e)
Benzene with C H 2 C H 2 O H on C 1 and methyl on C 4 position.
(f)
Chemical structure of 1-cyclopentyl-2-methylpropan-2-ol.
Problem 17-45
How would you synthesize the following alcohols, starting with benzene and other alcohols of six or fewer carbons as your only organic reagents?
(a)
The structure having cyclohexanol with ethyl group on C 1.
(b)
A six-carbon chain with hydroxy on C 1 and methyl group on C 3 position.
(c)
Benzyl alcohol with methyl and n-propyl substituents on benzyl carbon.
(d)
A six-carbon chain with hydroxy on C 3 and methyl on C 5 position.

Reactions of Alcohols

Problem 17-46
What products would you obtain from reaction of 1-pentanol with the following reagents:
(a)
PBr3
(b)
SOCl2
(c)
Dess–Martin periodinane
Problem 17-47
How would you prepare the following compounds from 2-phenylethanol: More than one step may be required.
(a)
Styrene (PhCH = CH2)
(b)
Phenylacetaldehyde (PhCH2CHO)
(c)
Phenylacetic acid (PhCH2CO2H)
(d)
Benzoic acid
(e)
Ethylbenzene
(f)
Benzaldehyde
(g)
1-Phenylethanol
(h)
1-Bromo-2-phenylethane
Problem 17-48
How would you prepare the following compounds from 1-phenylethanol: More than one step may be required.
(a)
Acetophenone (PhCOCH3)
(b)
Benzyl alcohol
(c)
m-Bromobenzoic acid
(d)
2-Phenyl-2-propanol
Problem 17-49
How would you prepare the following substances from cyclopentanol: More than one step may be required.
(a)
Cyclopentanone
(b)
Cyclopentene
(c)
1-Methylcyclopentanol
(d)
trans-2-Methylcyclopentanol
Problem 17-50
What products would you expect to obtain from reaction of 1-methylcyclohexanol with the following reagents?
(a)
NaH
(b)
HBr
(c)
H2SO4

Spectroscopy

Problem 17-51

The following 1H NMR spectrum is that of an alcohol, C8H10O. Propose a structure.

H N M R spectrum with shifts at 2.32 (singlet), 2.43 (singlet), 4.50, 7.10 and 7.17 (two doublets). Relative areas are 3, 1, 2, 2, and 2 respectively.
Problem 17-52
Propose structures for alcohols that have the following 1H NMR spectra:
(a)

C5H12O

H N M R spectrum with shifts at 0.93 (triplet), 1.42 (quartet), 1.83 (singlet), and 3.41 (singlet). Relative areas are 6, 4, 1, and 1 respectively.
(b)

C8H10O

H N M R spectrum with shifts at 1.42 (doublet), 2.43 (singlet), 4.80 (quartet), and 7.32 (multiplet). Relative areas are 3, 1, 1, and 5 respectively.
Problem 17-53

Propose a structure consistent with the following spectral data for a compound C8H18O2:

  • IR: 3350 cm–1
  • 1H NMR: 1.24 δ (12 H, singlet); 1.56 δ (4 H, singlet); 1.95 δ (2 H, singlet)
Problem 17-54

The 1H NMR spectrum shown is that of 3-methyl-3-buten-1-ol. Assign all the observed resonance peaks to specific protons, and account for the splitting patterns.

H N M R spectrum with shifts at 1.76 (singlet), 2.13 (singlet), 2.30 (triplet), 3.72 (triplet), 4.79 (singlet), 4.85 (singlet). Relative areas are 3, 1, 2, 2, 1, 1, respectively.
Problem 17-55

A compound of unknown structure gave the following spectroscopic data:

  • Mass spectrum: M+ = 88.1
  • IR: 3600 cm–1
  • 1H NMR: 1.4 δ (2 H, quartet, J = 7 Hz); 1.2 δ (6 H, singlet); 1.0 δ (1 H, singlet); 0.9 δ (3 H, triplet, J = 7 Hz)
  • 13C NMR: 74, 35, 27, 25 δ
(a)
Assuming that the compound contains C and H but may or may not contain O, give three possible molecular formulas.
(b)
How many hydrogens does the compound contain?
(c)
What functional group(s) does the compound contain?
(d)
How many carbons does the compound contain?
(e)
What is the molecular formula of the compound?
(f)
What is the structure of the compound?
(g)
Assign peaks in the molecule’s 1H NMR spectrum corresponding to specific protons.
Problem 17-56

Propose a structure for a compound C15H24O that has the following 1H NMR spectrum. The peak marked by an asterisk disappears when D2O is added to the sample.

H N M R spectrum with shifts at 1.41, 2.24, 5.00, and 6.97 (all singlets). Relative areas of 18, 3, 1, and 2 respectively.

General Problems

Problem 17-57
How would you carry out the following transformations?
(a)
Cinnamic acid ((E)-3-phenyl prop-2-enoic acid) reacts with an unknown reagent represented as question mark to form 3-phenylpropanoic acid.
(b)
Cinnamic acid ((E)-3-phenyl prop-2-enoic acid) reacts with an unknown reagent represented as question mark to form trans-3-phenylprop-2-en-1-ol
(c)
Cinnamic acid ((E)-3-phenyl prop-2-enoic acid) reacts with an unknown reagent represented as question mark to form trans-3-phenylprop-2-en-1-thiol
Problem 17-58
Benzoquinone is an excellent dienophile in the Diels–Alder reaction. What product would you expect from reaction of benzoquinone with 1 equivalent of 1,3-butadiene? From reaction with 2 equivalents of 1,3-butadiene?
Problem 17-59

Rank the following substituted phenols in order of increasing acidity, and explain your answer:

The structure of four compounds named phenol, 4-fluorophenol, 4-methoxyphenol and 4-hydroxybenzonitrile.
Problem 17-60

Benzyl chloride can be converted into benzaldehyde by treatment with nitromethane and base. The reaction involves initial conversion of nitromethane into its anion, followed by SN2 reaction of the anion with benzyl chloride and subsequent E2 reaction. Write the mechanism in detail, using curved arrows to indicate the electron flow in each step.

Benzyl chloride reacts with nitromethane anion to form benzaldehyde.
Problem 17-61

Reaction of (S)-3-methyl-2-pentanone with methylmagnesium bromide followed by acidification yields 2,3-dimethyl-2-pentanol. What is the stereochemistry of the product? Is the product optically active?

The structure of 3-methyl-2-pentanone. It is a five-carbon chain with keto group on C 2 and methyl group on C 3.
Problem 17-62

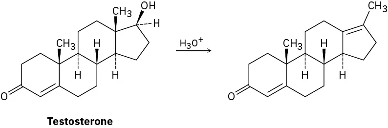
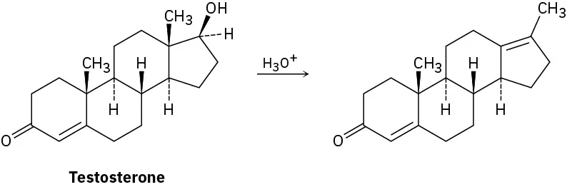
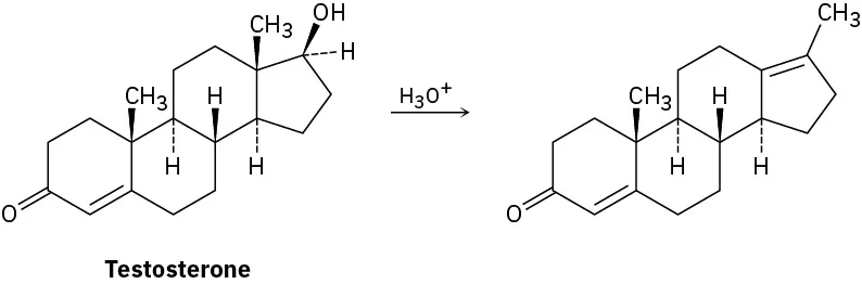
Testosterone is one of the most important male steroid hormones. When testosterone is dehydrated by treatment with acid, rearrangement occurs to yield the product shown. Propose a mechanism to account for this reaction.

Testosterone reacts with hydronium ion to form a compound with alkene group.
Problem 17-63
Starting from testosterone (Problem 17-62), how would you prepare the following substances?
(a)
Cyclopentanone fused to cyclohexane with wedged methyl, dashed hydrogen. This is connected to cyclohexane with wedged hydrogen and methyl, dashed hydrogen. This is bonded to cyclohexanone with alkene.
(b)
Cyclopentane with wedged hydroxyl, dashed hydrogen fused to cyclohexane with wedged methyl, dashed hydrogen. This is connected to cyclohexane with wedged hydrogen and methyl, dashed hydrogen, bonded to cyclohexene.
(c)
Cyclopentanone fused to cyclohexane with wedged methyl, dashed hydrogen. This is connected to cyclohexane with wedged hydrogen and methyl, dashed hydrogen. This is bonded to cyclohexanone.
(d)
Cyclopentane with wedged hydroxyl, dashed hydrogen fused to cyclohexane with wedged methyl, dashed hydrogen. This is connected to cyclohexane with wedged hydrogen and methyl, dashed hydrogen, bonded to cyclohexane.
Problem 17-64

p-Nitrophenol and 2,6-dimethyl-4-nitrophenol both have pKa = 7.15, but 3,5-dimethyl-4-nitrophenol has pKa = 8.25. Why is 3,5-dimethyl-4-nitrophenol so much less acidic?

The structure of 4-nitrophenol, 2,6-dimethyl-4-nitrophenol, and 3,5-dimethyl-4-nitrophenol with p K a values 7.15, 7.15, and 8.25, respectively.
Problem 17-65
Compound A, C10H18O, undergoes reaction with dilute H2SO4 at 25 °C to yield a mixture of two alkenes, C10H16. The major alkene product, B, gives only cyclopentanone after ozone treatment followed by reduction with zinc in acetic acid. Write the reactions involved, and identify A and B.
Problem 17-66

Compound A, C5H10O, is one of the basic building blocks of nature. All steroids and many other naturally occurring compounds are built from compound A. Spectroscopic analysis of A yields the following information:

  • IR: 3400 cm–1; 1640 cm–1
  • 1H NMR: 1.63 δ (3 H, singlet); 1.70 δ (3 H, singlet); 3.83 δ (1 H, broad singlet); 4.15 δ (2 H, doublet, J = 7 Hz); 5.70 δ (1 H, triplet, J = 7 Hz)
(a)
How many double bonds and/or rings does A have?
(b)
From the IR spectrum, what is the identity of the oxygen-containing functional group?
(c)
What kinds of hydrogens are responsible for the NMR absorptions listed?
(d)
Propose a structure for A.
Problem 17-67
Dehydration of trans-2-methylcyclopentanol with POCl3 in pyridine yields predominantly 3-methylcyclopentene. Is the stereochemistry of this dehydration syn or anti?
Problem 17-68

2,3-Dimethyl-2,3-butanediol has the common name pinacol. On heating with aqueous acid, pinacol rearranges to pinacolone, 3,3-dimethyl-2-butanone. Suggest a mechanism for this reaction.

Pinacol (2,3-dihydroxy-2,3-dimethylbutane) reacts with hydronium ion to form pinacolone (t-butyl methyl ketone) and water.
Problem 17-69
As a rule, axial alcohols oxidize somewhat faster than equatorial alcohols. Which would you expect to oxidize faster, cis-4-tert-butylcyclohexanol or trans-4-tert-butylcyclohexanol? Draw the more stable chair conformation of each molecule.
Problem 17-70

Propose a synthesis of bicyclohexylidene, starting from cyclohexanone as the only source of carbon.

The structure of bicyclohexylidene. It is two cyclohexane rings linked via a double bond between their C 1 positions.
Problem 17-71

A problem often encountered in the oxidation of primary alcohols to carboxylic acids is that esters are sometimes produced as by-products. For example, oxidation of ethanol yields acetic acid and ethyl acetate:

Ethanol reacts with chromium trioxide to form acetic acid and ethylacetate.

Propose a mechanism to account for the formation of ethyl acetate. Take into account the reversible reaction between aldehydes and alcohols:

An aldehyde, R C H O reacts with R dash O H to form carbon linked to H , R, O H and O R dash group.
Problem 17-72

Identify the reagents af in the following scheme:

Cyclohexanol reacts with reagent a to form cyclohexanol. b to form cyclohexylbromide. c to form cyclohexylmethanol. d to form cyclohexanecarbaldehyde, e to form 1-cyclohexyl-2-phenylethanol, f to form (E)-(2-cyclohexylvinyl)benzene.
Problem 17-73

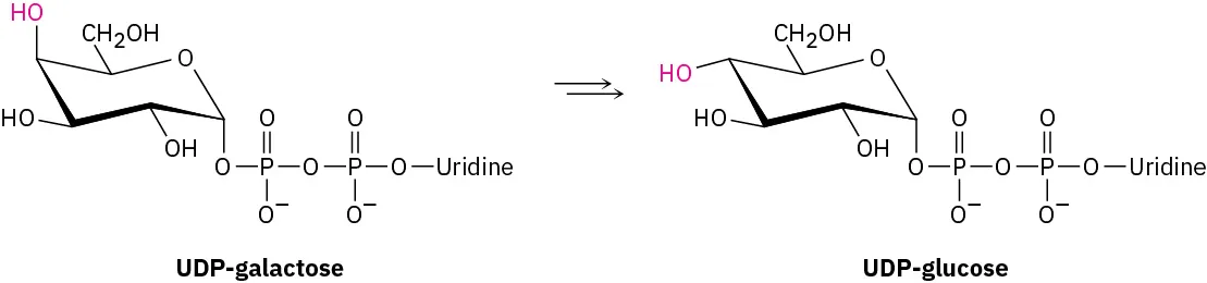
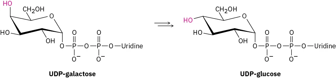
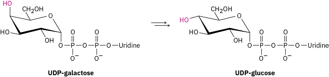
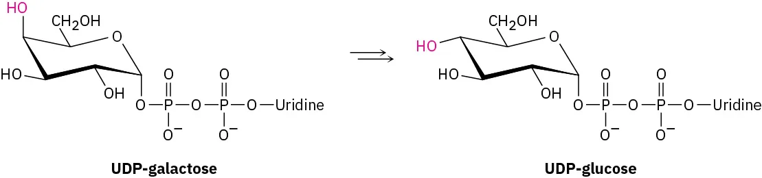
Galactose, a constituent of the disaccharide lactose found in dairy products, is metabolized by a pathway that includes the isomerization of UDP-galactose to UDP-glucose, where UDP = uridylyl diphosphate. The enzyme responsible for the transformation uses NAD+ as cofactor. Propose a mechanism.

The compound, U D P-galactose isomerizes to form U D P-glucose.
Problem 17-74
Propose structures for alcohols that have the following 1H NMR spectra:
(a)

C9H12O

H N M R spectrum with shifts at 0.88 (triplet), 1.80 (quartet), 2.32 (singlet), 4.54 (triplet), and 7.24 (multiplet). Relative areas are 3, 2, 1, 1, and 5 respectively.
(b)

C8H10O2

H N M R spectrum with shifts at 2.60 (singlet), 3.76 (singlet), 4.53 (singlet), 6.85 (doublet), and 7.23 (doublet). Relative areas are 1, 3, 2, 2, and 2 respectively.
Problem 17-75

Compound A, C8H10O, has the IR and 1H NMR spectra shown. Propose a structure consistent with the observed spectra, and label each peak in the NMR spectrum. Note that the absorption at 5.5 δ disappears when D2O is added.

An I R spectrum with broad peak around 3400, peaks just below 3000, and peaks at 1500 and 1600 wavenumbers. H N M R spectrum with shifts at 1.16 triplet), 2.55 (quartet), 5.50 (singlet), 6.74 (doublet), and 7.03 (doublet). Relative areas are 3, 2, 1, 2, and 2 respectively.
Citation/Attribution

This book may not be used in the training of large language models or otherwise be ingested into large language models or generative AI offerings without OpenStax's permission.

Want to cite, share, or modify this book? This book uses the Creative Commons Attribution-NonCommercial-ShareAlike License and you must attribute OpenStax.

Attribution information
  • If you are redistributing all or part of this book in a print format, then you must include on every physical page the following attribution:

    Access for free at https://openstax.org/books/organic-chemistry/pages/1-why-this-chapter

  • If you are redistributing all or part of this book in a digital format, then you must include on every digital page view the following attribution:

    Access for free at https://openstax.org/books/organic-chemistry/pages/1-why-this-chapter

Citation information

© Jul 9, 2025 OpenStax. Textbook content produced by OpenStax is licensed under a Creative Commons Attribution-NonCommercial-ShareAlike License . The OpenStax name, OpenStax logo, OpenStax book covers, OpenStax CNX name, and OpenStax CNX logo are not subject to the Creative Commons license and may not be reproduced without the prior and express written consent of Rice University.