Skip to ContentGo to accessibility pageKeyboard shortcuts menu
OpenStax Logo
Organic Chemistry

Additional Problems

Organic ChemistryAdditional Problems
Search for key terms or text.

16 • Additional Problems

16 • Additional Problems

Visualizing Chemistry

Problem 16-24
Draw the product from reaction of each of the following substances with (1) Br2, FeBr3 and (2) CH3COCl, AlCl3.
(a)
The ball-and-stick model has a benzene ring bonded to an oxygen atom, which is bonded to a methyl group.
(b)
The ball-and-stick model has a benzene ring. C 1 is bonded to an aldehyde group. C 4 is bonded to a methyl group.
Problem 16-25

The following molecular model of a dimethyl-substituted biphenyl represents the lowest-energy conformation of the molecule. Why are the two benzene rings tilted at a 63° angle to each other rather than being in the same plane so that their p orbitals overlap? Why doesn’t complete rotation around the single bond joining the two rings occur?

The ball-and-stick model has two benzene rings bonded to each other. Each benzene ring also has an ortho methyl group.
Problem 16-26

How would you synthesize the following compound starting from benzene? More than one step is needed.

The ball-and-stick model has a benzene ring. C 1 is bonded to a carboxylic acid group. C 4 is bonded to an amino group.
Problem 16-27

The following compound can’t be synthesized using the methods discussed in this chapter. Why not?

The ball-and-stick model has a toluene ring. C 3 is bonded to an amino group.

Mechanism Problems

Mechanisms of Electrophilic Substitutions

Problem 16-28
Aromatic iodination can be carried out with a number of reagents, including iodine monochloride, ICl. What is the direction of polarization of ICl? Propose a mechanism for the iodination of an aromatic ring with ICl.
Problem 16-29
The sulfonation of an aromatic ring with SO3 and H2SO4 is reversible. That is, heating benzenesulfonic acid with H2SO4 yields benzene. Show the mechanism of the desulfonation reaction. What is the electrophile?
Problem 16-30
The carbocation electrophile in a Friedel–Crafts reaction can be generated by an alternate means than reaction of an alkyl chloride with AlCl3. For example, reaction of benzene with 2-methylpropene in the presence of H3PO4 yields tert-butylbenzene. Propose a mechanism for this reaction.
Problem 16-31
The N,N,N-trimethylammonium group,  –   N + (CH3)3, is one of the few groups that is a meta-directing deactivator yet has no electron- withdrawing resonance effect. Explain.
Problem 16-32
The nitroso group,  – N = O, is one of the few nonhalogens that is an ortho- and para-directing deactivator. Explain this behavior by drawing resonance structures of the carbocation intermediates in ortho, meta, and para electrophilic reaction on nitrosobenzene, C6H5N  = O.
Problem 16-33

Triphenylmethane can be prepared by reaction of benzene and chloroform in the presence of AlCl3. Propose a mechanism for the reaction.

Benzene reacts with chloroform in the presence of aluminum trichloride to yield triphenylmethane.
Problem 16-34

Using resonance structures of the intermediates, explain why bromination of biphenyl occurs at ortho and para positions rather than at meta.

Biphenyl has a benzene ring bonded to another benzene ring.
Problem 16-35

Benzene and alkyl-substituted benzenes can be hydroxylated by reaction with H2O2 in the presence of an acidic catalyst. What is the structure of the reactive electrophile? Propose a mechanism for the reaction.

Benzene reacts with hydrogen peroxide in the presence of trifluoromethanesulfonic acid catalyst to form phenol.

Additional Mechanism Practice

Problem 16-36

Addition of HBr to 1-phenylpropene yields only (1-bromopropyl)benzene. Propose a mechanism for the reaction, and explain why none of the other regioisomer is produced.

Benzene bonded to a three-carbon chain with double bond between C 1 and C 2 reacts with hydrogen bromide to form a product when bromine is added to C1 of the three-carbon chain
Problem 16-37

Hexachlorophene, a substance used in the manufacture of germicidal soaps, is prepared by reaction of 2,4,5-trichlorophenol with formaldehyde in the presence of concentrated sulfuric acid. Propose a mechanism for the reaction.

Benzene bonded to three chlorine atoms and a hydroxyl group reacts with formaldehyde in the presence of sulfuric acid to form hexachlorophene.
Problem 16-38

Benzenediazonium carboxylate decomposes when heated to yield N2, CO2, and a reactive substance that can’t be isolated. When benzene-diazonium carboxylate is heated in the presence of furan, the following reaction is observed:

When heated, benzenediazonium carboxylate reacts with furan to yield an organic product, carbon dioxide, and nitrogen.

What intermediate is involved in this reaction? Propose a mechanism for its formation.

Problem 16-39

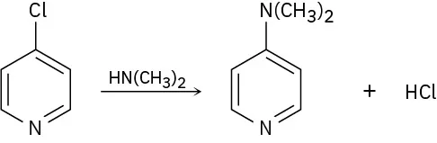
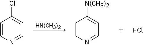
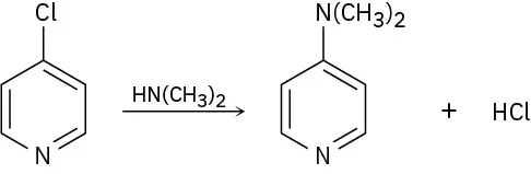
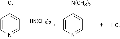
4-Chloropyridine undergoes reaction with dimethylamine to yield 4-dimethylaminopyridine. Propose a mechanism for the reaction.

4-Chloropyridine reacts with dimethylamine to yield 4-dimethylaminopyridine and hydrogen chloride.
Problem 16-40

Propose a mechanism to account for the following reaction:

Benzene bonded to acetyl group at C 1 and a 4-carbon chain with terminal carbon bonded to chlorine reacts with aluminum chloride to form a product.where the 4-carbon chain is cyclized on to the benzene ring
Problem 16-41

In the Gatterman–Koch reaction, a formyl group ( – CHO) is introduced directly onto a benzene ring. For example, reaction of toluene with CO and HCl in the presence of mixed CuCl/AlCl3 gives p-methylbenzaldehyde. Propose a mechanism.

Toluene reacts with carbon monoxide and hydrogen chloride in the presence of copper (1) chloride or aluminum trichloride to form toluene with an aldehyde group in the para position.
Problem 16-42
Treatment of p-tert-butylphenol with a strong acid such as H2SO4 yields phenol and 2-methylpropene. Propose a mechanism.
Problem 16-43

Benzyl bromide is converted into benzaldehyde by heating in dimethyl sulfoxide. Propose a structure for the intermediate, and show the mechanisms of the two steps in the reaction.

A two-step reaction shows benzene bonded to a C H 2 B r group being converted to benzene bonded to an aldehyde group.
Problem 16-44

Propose a mechanism for the Smiles rearrangement below.

When heated, pyridine with a nitro group at C 2 and, at C 5, an oxygen bonded to ethylamine reacts to form a product where the substituent at C 5 rearranges.
Problem 16-45
Because of their conjugation, azo dyes are highly colored compounds and the major artificial color source for textiles and food. Azo dyes are produced by the reaction of aryl diazonium salts with a second aromatic compound. In the product, the aromatic rings are linked by a diazo bridge ( – N=N – ). From the reactants provided, propose a structure for each azo dye and draw the electron-pushing mechanism.
(a)
Benzene bonded to nitrogen with two open single bonds reacts with benzene bonded to S O 3 N a and to N triple bonded to N with a plus charge on the first N, forming methyl orange.
(b)
A disubstituted napthalene reacts with a diazo compound to form Allura Red.
(c)
A disubstituted napthalene reacts with a diazo compound to form Lithol Rubine BK..

Reactivity and Orientation of Electrophilic Substitutions

Problem 16-46
Identify each of the following groups as an activator or deactivator and as an o,p-director or m-director:
(a)
The structure of a group where N H (C H 3) 2 is bonded to an open single bond that has a wavy line across it.
(b)
The structure of a group where cyclopentane ring is bonded to an open single bond that has a wavy line across it.
(c)
The structure of a group where O C H 2 C H 3 is bonded to an open single bond that has a wavy line across it.
(d)
A cyclohexane ring bonded to a carbonyl group. The carbonyl carbon is bonded to an open single bond that has a wavy line across it.
Problem 16-47
Predict the major product(s) of nitration of the following substances. Which react faster than benzene, and which slower?
(a)
Bromobenzene
(b)
Benzonitrile
(c)
Benzoic acid
(d)
Nitrobenzene
(e)
Benzenesulfonic acid
(f)
methoxybenzene
Problem 16-48
Rank the compounds in each group according to their reactivity toward electrophilic substitution.
(a)
Chlorobenzene, o-dichlorobenzene, benzene
(b)
p-Bromonitrobenzene, nitrobenzene, phenol
(c)
Fluorobenzene, benzaldehyde, o-xylene
(d)
Benzonitrile, p-methylbenzonitrile, p-methoxybenzonitrile
Problem 16-49
Predict the major monoalkylation products you would expect to obtain from reaction of the following substances with chloromethane and AlCl3:
(a)
Bromobenzene
(b)
m-Bromophenol
(c)
p-Chloroaniline
(d)
2,4-Dichloronitrobenzene
(e)
2,4-Dichlorophenol
(f)
Benzoic acid
(g)
p-Methylbenzenesulfonic acid
(h)
2,5-Dibromotoluene
Problem 16-50
Name and draw the major product(s) of electrophilic chlorination of the following compounds:
(a)
m-Nitrophenol
(b)
o-Xylene
(c)
p-Nitrobenzoic acid
(d)
p-Bromobenzenesulfonic acid
Problem 16-51
Predict the major product(s) you would obtain from sulfonation of the following compounds:
(a)
Fluorobenzene
(b)
m-Bromophenol
(c)
m-Dichlorobenzene
(d)
2,4-Dibromophenol
Problem 16-52
Rank the following aromatic compounds in the expected order of their reactivity toward Friedel–Crafts alkylation. Which compounds are unreactive?
(a)
Bromobenzene
(b)
Toluene
(c)
Phenol
(d)
Aniline
(e)
Nitrobenzene
(f)
p-Bromotoluene
Problem 16-53
What product(s) would you expect to obtain from the following reactions:
(a)
Benzene with an acyl group and a nitro group ortho to one another reacts with hydrogen in the presence of a palladium catalyst to form unknown product(s), depicted by a question mark.
(b)
ortho-Dibromobenzene reacts with nitric acid in the presence of sulfuric acid followed by iron and actd forming unknown product(s), depicted by a question mark
(c)
In water, benzene fused to a cyclohexane ring reacts with potassium permanganate to form unknown product(s), depicted by question mark.
(d)
Benzene bonded to a methoxy group and a chlorine atom para to one another reacts with propyl chloride in the presence of aluminum trichloride to form unknown product(s), depicted by question mark.
Problem 16-54
Predict the major product(s) of the following reactions:
(a)
Chlorobenzene reacts with ethyl chloride in the presence of aluminum trichloride to form unknown product(s), depicted by question mark.
(b)
A compound containg an oxygen atom bonded to two benzene rings reacts with propanoyl chloride in the presence of aluminum trichloride to form unknown product(s), depicted by question mark.
(c)
Benzoic acid reacts with nitric acid in the presence of sulfuric acid to form unknown product(s), depicted by question mark.
(d)
Benzene bonded to N (C H 2 C H 3) 2 reacts with sulfur trioxide in presence of sulfuric acid to form unknown product(s), depicted by question mark.

Organic Synthesis

Problem 16-55
How would you synthesize the following substances starting from benzene or phenol? Assume that ortho- and para-substitution products can be separated.
(a)
o-Bromobenzoic acid
(b)
p-Methoxytoluene
(c)
2,4,6-Trinitrobenzoic acid
(d)
m-Bromoaniline
Problem 16-56
Starting with benzene as your only source of aromatic compounds, how would you synthesize the following substances? Assume that you can separate ortho and para isomers if necessary.
(a)
p-Chloroacetophenone
(b)
m-Bromonitrobenzene
(c)
o-Bromobenzenesulfonic acid
(d)
m-Chlorobenzenesulfonic acid
Problem 16-57
Starting with either benzene or toluene, how would you synthesize the following substances: Assume that ortho and para isomers can be separated.
(a)
2-Bromo-4-nitrotoluene
(b)
1,3,5-Trinitrobenzene
(c)
2,4,6-Tribromoaniline
(d)
m-Fluorobenzoic acid
Problem 16-58
As written, the following syntheses have flaws. What is wrong with each?
(a)
Toluene reacts with chlorine in the presence of iron trichloride in step 1 and potassium permanganate in step 2 to form benzoic acid with chlorine atom at C 3.
(b)
Chlorobenzene reacts with nitric acid in sulfuric acid, followed by methyl chloride and aluminum trichloride, then iron and acid, and finally sodium hydroxide in water to form a substituted benzene.
(c)
Toluene reacts with acetyl chloride in the presence of aluminum trichloride, then with nitric acid in the presence of sulfuric acid, then hydrogen and a palladium catalyst to form a substituted benzene.

General Problems

Problem 16-59

At what position and on what ring do you expect nitration of 4-bromo-biphenyl to occur? Explain, using resonance structures of the potential intermediates.

4-Bromobiphenyl has a benzene ring bonded to a second benzene ring bearing a bromine atom in the para position.
Problem 16-60

Electrophilic substitution on 3-phenylpropanenitrile occurs at the ortho and para positions, but reaction with 3-phenylpropenenitrile occurs at the meta position. Explain, using resonance structures of the intermediates.

The structures of 3-phenylpropanenitrile and 3-phenylpropenenitrile.
Problem 16-61
At what position, and on what ring, would you expect the following substances to undergo electrophilic substitution?
(a)
A molecule in which a central oxygen atom is bonded to a benzene ring and and a second benzene ring bearing a methyl group in the para position
(b)
A molecule in which a central N H group is bonded to a benzene ring and a second benzene ring bearing a bromine atom in the para position
(c)
A molecule in which a benzene ring is bonded to a second benzene ring bearing a methyl group in the meta position.
(d)
A molecule in which a central carbonyl group is bonded to a benzene ring and to a meta-substituted chlorobenzene ring.
Problem 16-62

At what position, and on what ring, would you expect bromination of benzanilide to occur? Explain by drawing resonance structures of the intermediates.

Benzanilide has a benzene ring bonded to a carbonyl group, which is bonded to an N H group. The nitrogen of N H group is bonded to another benzene ring.
Problem 16-63
Would you expect the Friedel–Crafts reaction of benzene with (R)-2- chlorobutane to yield optically active or racemic product? Explain.
Problem 16-64
How would you synthesize the following substances starting from benzene?
(a)
A benzene ring with an ethene group and a chlorine atom para to one another
(b)
A benzene ring with two hydroxymethyl groups para to one another
(c)
A benzene ring, with a 2-carbon chain attached to it, the othermost carbon of which is itself attached to a hydroxyl group.
Problem 16-65

The compound MON-0585 is a nontoxic, biodegradable larvicide that is highly selective against mosquito larvae. Synthesize MON-0585 using either benzene or phenol as a source of the aromatic rings.

MON-0585 has a central carbon bonded to a benzene ring, two methyl groups, and a phenol group, in which the two carbons next to the O H are each bonded to a tertiaru butyl group.
Problem 16-66
Phenylboronic acid, C6H5B(OH)2, is nitrated to give 15% ortho- substitution product and 85% meta. Explain the meta-directing effect of the  –B(OH)2 group.
Problem 16-67

Draw resonance structures of the intermediate carbocations in the bromination of naphthalene, and account for the fact that naphthalene undergoes electrophilic substitution at C1 rather than C2.

Naphthalene reacts with molecular bromine to form 1-bromonaphthalene.
Problem 16-68

Propose a mechanism for the reaction of 1-chloroanthraquinone with methoxide ion to give the substitution product 1-methoxyanthraquinone. Use curved arrows to show the electron flow in each step.

1-Chloroanthraquinone reacts with methoxide ion to yield 1-methoxyanthraquinone and sodium chloride.
Problem 16-69
p-Bromotoluene reacts with potassium amide to give a mixture of m- and p-methylaniline. Explain.
Problem 16-70

Propose a mechanism to account for the reaction of benzene with 2,2,5,5-tetramethyltetrahydrofuran.

Benzene reacts with a five-membered ring compound made up of one oxygen and four carbons with two methyl groups on each of the two carbons next to the O atom. A fused product is formed.
Problem 16-71
How would you synthesize the following compounds from benzene? Assume that ortho and para isomers can be separated.
(a)
A toluene ring with bromine at C 2 and a nitro group at C 4.
(b)
Benzene with C 1, C 2, and C 4 bonded to a sulfonic acid group, a 3-carbon chain with a methyl group at C 2, and a chlorine atom, respectively.
Problem 16-72

You know the mechanism of HBr addition to alkenes, and you know the effects of various substituent groups on aromatic substitution. Use this knowledge to predict which of the following two alkenes reacts faster with HBr. Explain your answer by drawing resonance structures of the carbocation intermediates.

Methoxy benzene with ethene group at the para position and nitrobenzene with an ethene at the para position.
Problem 16-73

Use your knowledge of directing effects, along with the following data, to deduce the directions of the dipole moments in aniline, bromobenzene, and bromoaniline.

Structures of aniline, bromobenzene, and 4-bromoaniline with dipole moment values equal 1.53, 1.52, and 2.91 D, respectively.
Problem 16-74

Identify the reagents represented by the letters ae in the following scheme:

A five-step process converting benzene to a product comprising of a benzene ring with a three carbob chain in which there is a double bond between C 1 and C 2. The steps are labeled from a to e.
Problem 16-75
Phenols (ArOH) are relatively acidic, and the presence of a substituent group on the aromatic ring has a large effect. The pKa of unsubstituted phenol, for example, is 9.89, while that of p-nitrophenol is 7.15. Draw resonance structures of the corresponding phenoxide anions and explain the data.
Problem 16-76
Would you expect p-methylphenol to be more acidic or less acidic than unsubstituted phenol? Explain. (See Problem 16-75.)
Problem 16-77
Predict the product(s) for each of the following reactions. In each case, draw the resonance forms of the intermediate to explain the observed regiochemistry.
(a)
Benzene bonded to acetyl group reacts with nitric acid in the presence of sulfuric acid to form unknown product(s), depicted by a question mark.
(b)
Toluene reacts with 2-chloropropane in the presence of aluminum trichloride to form unknown product(s), depicted by a question mark.
(c)
Benzene bonded to a cyano group reacts with C I 2 in the presence of iron trichloride to form unknown products, depicted by a question mark.
(d)
Benzene bonded to a methoxy group reacts with iodine in the presence of copper (2) chloride to form unknown product(s), depicted by a question mark.
Citation/Attribution

This book may not be used in the training of large language models or otherwise be ingested into large language models or generative AI offerings without OpenStax's permission.

Want to cite, share, or modify this book? This book uses the Creative Commons Attribution-NonCommercial-ShareAlike License and you must attribute OpenStax.

Attribution information
  • If you are redistributing all or part of this book in a print format, then you must include on every physical page the following attribution:

    Access for free at https://openstax.org/books/organic-chemistry/pages/1-why-this-chapter

  • If you are redistributing all or part of this book in a digital format, then you must include on every digital page view the following attribution:

    Access for free at https://openstax.org/books/organic-chemistry/pages/1-why-this-chapter

Citation information

© Jul 9, 2025 OpenStax. Textbook content produced by OpenStax is licensed under a Creative Commons Attribution-NonCommercial-ShareAlike License . The OpenStax name, OpenStax logo, OpenStax book covers, OpenStax CNX name, and OpenStax CNX logo are not subject to the Creative Commons license and may not be reproduced without the prior and express written consent of Rice University.