Skip to ContentGo to accessibility pageKeyboard shortcuts menu
OpenStax Logo
Organic Chemistry

11.11 Biological Elimination Reactions

Organic Chemistry11.11 Biological Elimination Reactions
Search for key terms or text.

11.11 • Biological Elimination Reactions

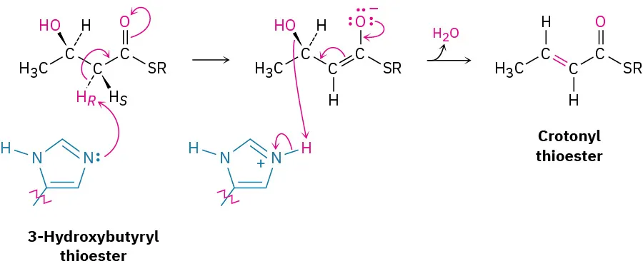
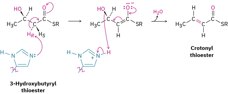
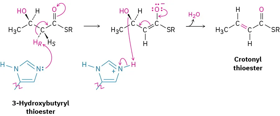
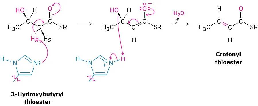
All three elimination reactions—E2, E1, and E1cB—occur in biological pathways, but the E1cB mechanism is particularly common. The substrate is usually an alcohol rather than an alkyl halide, and the H atom removed is usually adjacent to a carbonyl group, just as in laboratory reactions. Thus, 3-hydroxy carbonyl compounds are frequently converted to unsaturated carbonyl compounds by elimination reactions. A typical example occurs during the biosynthesis of fats and oils when a 3-hydroxybutyryl thioester is dehydrated to the corresponding unsaturated (crotonyl) thioester. The base in this reaction is a histidine amino acid in the enzyme, and the loss of the –OH group is assisted by simultaneous protonation.

The reaction mechanism of an alcohol with 3-hydroxybutyryl thioester, forms an intermediate compound, which further yields water and crotonyl thioester.
Citation/Attribution

This book may not be used in the training of large language models or otherwise be ingested into large language models or generative AI offerings without OpenStax's permission.

Want to cite, share, or modify this book? This book uses the Creative Commons Attribution-NonCommercial-ShareAlike License and you must attribute OpenStax.

Attribution information
  • If you are redistributing all or part of this book in a print format, then you must include on every physical page the following attribution:

    Access for free at https://openstax.org/books/organic-chemistry/pages/1-why-this-chapter

  • If you are redistributing all or part of this book in a digital format, then you must include on every digital page view the following attribution:

    Access for free at https://openstax.org/books/organic-chemistry/pages/1-why-this-chapter

Citation information

© Jul 9, 2025 OpenStax. Textbook content produced by OpenStax is licensed under a Creative Commons Attribution-NonCommercial-ShareAlike License . The OpenStax name, OpenStax logo, OpenStax book covers, OpenStax CNX name, and OpenStax CNX logo are not subject to the Creative Commons license and may not be reproduced without the prior and express written consent of Rice University.