Skip to ContentGo to accessibility pageKeyboard shortcuts menu
OpenStax Logo
Organic Chemistry

Additional Problems

Organic ChemistryAdditional Problems
Search for key terms or text.

1 • Additional Problems

1 • Additional Problems

Visualizing Chemistry

Problem 1-18

Convert each of the following molecular models into a skeletal structure, and give the formula of each. Only the connections between atoms are shown; multiple bonds are not indicated (black = C, red = O, blue = N, gray = H).

(a)
Ball and stick model of a six-membered ring with one nitrogen in the ring, with a propyl substituent on the adjacent carbon.
(b)
Ball and stick model of a three carbon chain; C 1 is carboxyl, C 2 has an N H 2 substituent.
Problem 1-19

The following model is a representation of citric acid, the key substance in the so-called citric acid cycle, by which food molecules are metabolized in the body. Only the connections between atoms are shown; multiple bonds are not indicated. Complete the structure by indicating the positions of multiple bonds and lone-pair electrons (black = C, red = O, gray = H).

The ball and stick model of citric acid where grey, black and red spheres represent hydrogen, carbon, oxygen, respectively.
Problem 1-20

The following model is a representation of acetaminophen, a pain reliever sold in drugstores under a variety of names, including Tylenol. Identify the hybridization of each carbon atom in acetaminophen, and tell which atoms have lone pairs of electrons (black = C, red = O, blue = N, gray = H).

The ball and stick model of acetaminophen where grey, black, blue and red spheres represent hydrogen, carbon, nitrogen, and oxygen, respectively.
Problem 1-21

The following model is a representation of aspartame, C14H18N2O5, known commercially under many names, including NutraSweet. Only the connections between atoms are shown; multiple bonds are not indicated. Complete the structure for aspartame, and indicate the positions of multiple bonds (black = C, red = O, blue = N, gray = H).

The ball and stick model of aspartame where grey, black, blue and red spheres represent hydrogen, carbon, nitrogen, and oxygen, respectively.

Electron Configurations

Problem 1-22
How many valence electrons does each of the following dietary trace elements have?
(a)
Zinc
(b)
Iodine
(c)
Silicon
(d)
Iron
Problem 1-23
Give the ground-state electron configuration for each of the following elements:
(a)
Potassium
(b)
Arsenic
(c)
Aluminum
(d)
Germanium

Electron-Dot and Line-Bond Structures

Problem 1-24
What are likely formulas for the following molecules?
(a)
NH?OH
(b)
AlCl?
(c)
CF2Cl?
(d)
CH?O
Problem 1-25
Why can’t molecules with the following formulas exist?
(a)
CH5
(b)
C2H6N
(c)
C3H5Br2
Problem 1-26
Draw an electron-dot structure for acetonitrile, C2H3N, which contains a carbon–nitrogen triple bond. How many electrons does the nitrogen atom have in its outer shell? How many are bonding, and how many are nonbonding?
Problem 1-27
Draw a line-bond structure for vinyl chloride, C2H3Cl, the starting material from which PVC poly(vinyl chloride) plastic is made.
Problem 1-28

Fill in any nonbonding valence electrons that are missing from the following structures:

(a)
Chemical structure of C H 3 S S C H 3 showing no nonbonding pairs.
(b)
Chemical structure of C H 3 C O N H 2 showing no nonbonding pairs.
(c)
Chemical structure of C H 3 C O O with a negative on one of the oxygen atoms, showing no nonbonding pairs.
Problem 1-29

Convert the following line-bond structures into molecular formulas:

(a)
Chemical structure of a benzene ring with a carboxyl group and an acetoxy group on adjacent carbons.
(b)
Chemical structure of vitamin C.
(c)
Chemical structure of nicotine.
(d)
Chemical structure of a six-membered ring incorporating one oxygen. There are hydroxyl groups on four of the carbons and a hydroxymethyl group on the fifth.
Problem 1-30
Convert the following molecular formulas into line-bond structures that are consistent with valence rules:
(a)
C3H8
(b)
CH5N
(c)
C2H6O (2 possibilities)
(d)
C3H7Br (2 possibilities)
(e)
C2H4O (3 possibilities)
(f)
C3H9N (4 possibilities)
Problem 1-31
Draw a three-dimensional representation of the oxygen-bearing carbon atom in ethanol, CH3CH2OH, using the standard convention of solid, wedged, and dashed lines.
Problem 1-32
Oxaloacetic acid, an important intermediate in food metabolism, has the formula C4H4O5 and contains three C = O bonds and two O–H bonds. Propose two possible structures.
Problem 1-33
Draw structures for the following molecules, showing lone pairs:
(a)
Acrylonitrile, C3H3N, which contains a carbon–carbon double bond and a carbon–nitrogen triple bond
(b)
Ethyl methyl ether, C3H8O, which contains an oxygen atom bonded to two carbons
(c)
Butane, C4H10, which contains a chain of four carbon atoms
(d)
Cyclohexene, C6H10, which contains a ring of six carbon atoms and one carbon–carbon double bond

Hybridization

Problem 1-34
What is the hybridization of each carbon atom in acetonitrile (Problem 1-26)?
Problem 1-35

What kind of hybridization do you expect for each carbon atom in the following molecules?

(a)
Condensed formula of C H 3 C H 2 C H 3 and text that says propane.
(b)
Text saying 2-methylpropene and condensed structural formula of a three-carbon chain laid out left to right with a methyl on the middle carbon and double bond between the right-most carbons.
(c)
Text saying but-1-en-3-yne and condensed structural formula of a four-carbon chain laid out left to right with a double bond between the left-most carbons and triple bond between the right-most.
(d)
Text saying acetic acid and condensed structural formula of C H 3 C O O H, with a double bond between carbon and one oxygen.
Problem 1-36

What is the shape of benzene, and what hybridization do you expect for each carbon?

The line-bond structure of benzene.
Problem 1-37

What bond angle do you expect for each of the indicated atoms, and what kind of hybridization do you expect for the central atom in each molecule?

(a)
Condensed structural formula of glycine, an amino acid: H 2 N C H 2 C O O H. The carboxyl carbon and both oxygens are highlighted in red.
(b)
Condensed structural formula of pyridine, a ring of five carbons and one nitrogen with alternating single and double bonds. The nitrogen and adjacent carbons are highlighted in red.
(c)
Structure of lactic acid (in sour milk), a propionic acid with a hydroxyl group on C 2. The three carbons are highlighted in red.
Problem 1-38
Propose structures for molecules that meet the following descriptions:
(a)
Contains two sp2-hybridized carbons and two sp3-hybridized carbons
(b)
Contains only four carbons, all of which are sp2-hybridized
(c)
Contains two sp-hybridized carbons and two sp2-hybridized carbons
Problem 1-39

What kind of hybridization do you expect for each carbon atom in the following molecules:

(a)
The line-bond structure of procaine.
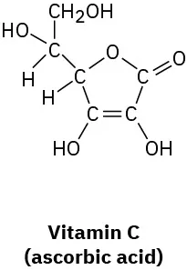
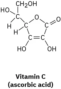
(b)
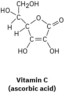
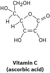
The line-bond structure of vitamin C (ascorbic acid).
Problem 1-40

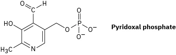
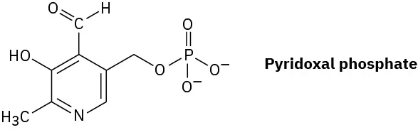
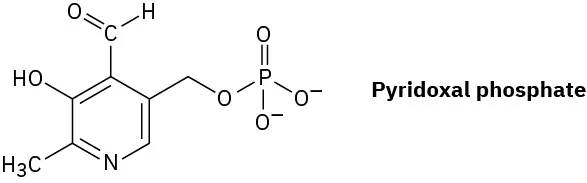
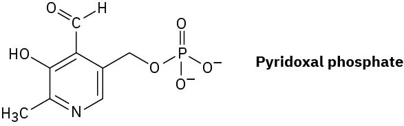
Pyridoxal phosphate, a close relative of vitamin B6, is involved in a large number of metabolic reactions. What is the hybridization and the bond angle for each nonterminal atom?

The chemical structure of pyridoxal phosphate featuring a negative charge on two of the phosphate oxygen atoms.

Skeletal Structures

Problem 1-41

Convert the following structures into skeletal drawings:

(a)
Structural formula of indole, with fused five- and six-membered rings with alternating single and double bonds. There is a nitrogen with one hydrogen in the ring adjacent to the fusion.
(b)
Structural formula of 1,3-pentadiene, a five-carbon chain with alternating single and double bonds.
(c)
Structural formula of 1,2-dichlorocyclopentane, a ring of five carbon atoms with chlorines on adjacent carbons.
(d)
Structural formula of benzoquinone, a six-membered ring with carbonyl groups at C 1 and C 4 and double bonds at C 2 and C 5.
Problem 1-42

How many hydrogens are bonded to each carbon atom in the following substances, and what is the molecular formula of each?

(a)
Line-bond structure of a benzene ring with isopropyl and nitrile substituents on adjacent carbons.
(b)
Line-bond structure of benzene fused to a cyclohexane. There’s a carboxyl group two carbons from a fusion point on benzene and bromine two carbons from the same fusion on cyclohexane.
(c)
Line-bond structure of two fused cyclopentanes. One pentane has a double bond and a carbonyl group, the other has a methyl substituent.
Problem 1-43

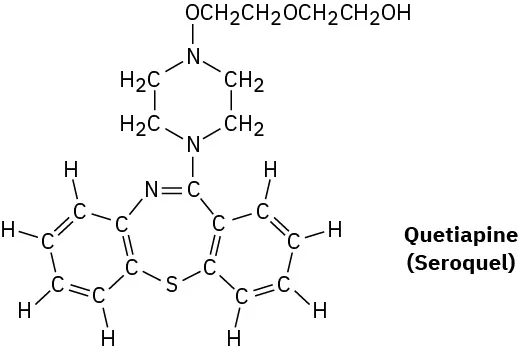
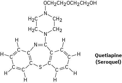
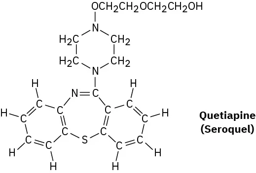
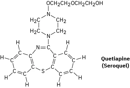
Quetiapine, marketed as Seroquel, is a heavily prescribed antipsychotic drug used in the treatment of schizophrenia and bipolar disorder. Convert the following representation into a skeletal structure, and give the molecular formula of quetiapine.

The line-bond structure of Quetiapine (Seroquel).
Problem 1-44

How many hydrogens are bonded to each carbon atom in (a) the antiinfluenza agent oseltamivir, marketed as Tamiflu, and (b) the platelet aggregation inhibitor clopidogrel, marketed as Plavix? Give the molecular formula of each.

(a)
The line-bond structure of oseltamivir (Tamiflu).
(b)
The line-bond structure of clopidogrel (Plavix).

General Problems

Problem 1-45

Why do you suppose no one has ever been able to make cyclopentyne as a stable molecule?

The skeletal structure of cyclopentyne featuring a triple bond within a five-carbon ring.
Problem 1-46

Allene, H2C = C = CH2, has two adjacent double bonds. Draw a picture showing the orbitals involved in the σ and π bonds of allene. Is the central carbon atom sp2- or sp-hybridized? What about the hybridization of the terminal carbons? What shape do you predict for allene?

Problem 1-47
Allene (see Problem 1-46) is structurally related to carbon dioxide, CO2. Draw a picture showing the orbitals involved in the σ and π bonds of CO2, and identify the likely hybridization of carbon.
Problem 1-48

Complete the electron-dot structure of caffeine, showing all lone-pair electrons, and identify the hybridization of the indicated atoms.

The line-bond structure of caffeine featuring three arrows and red text highlighting C2, C8, and N9 atoms.
Problem 1-49

Most stable organic species have tetravalent carbon atoms, but species with trivalent carbon atoms also exist. Carbocations are one such class of compounds.

A chemical structure of a carbocation featuring a carbon atom with a positive charge bonded to three hydrogen atoms.
(a)
How many valence electrons does the positively charged carbon atom have?
(b)
What hybridization do you expect this carbon atom to have?
(c)
What geometry is the carbocation likely to have?
Problem 1-50

A carbanion is a species that contains a negatively charged, trivalent carbon.

A chemical structure of a carbanion featuring a carbon atom with a negative charge and a lone pair bonded to three hydrogen atoms.
(a)
What is the electronic relationship between a carbanion and a trivalent nitrogen compound such as NH3?
(b)
How many valence electrons does the negatively charged carbon atom have?
(c)
What hybridization do you expect this carbon atom to have?
(d)
What geometry is the carbanion likely to have?
Problem 1-51

Divalent carbon species called carbenes are capable of fleeting existence. For example, methylene, :CH2, is the simplest carbene. The two unshared electrons in methylene can be either paired in a single orbital or unpaired in different orbitals. Predict the type of hybridization you expect carbon to adopt in singlet (spin-paired) methylene and triplet (spin-unpaired) methylene. Draw a picture of each, and identify the valence orbitals on carbon.

Problem 1-52
Two different substances have the formula C4H10. Draw both, and tell how they differ.
Problem 1-53

Two different substances have the formula C3H6. Draw both, and tell how they differ.

Problem 1-54
Two different substances have the formula C2H6O. Draw both, and tell how they differ.
Problem 1-55
Three different substances contain a carbon–carbon double bond and have the formula C4H8. Draw them, and tell how they differ.
Problem 1-56

Among the most common over-the-counter drugs you might find in a medicine cabinet are mild pain relievers such ibuprofen (Advil, Motrin), naproxen (Aleve), and acetaminophen (Tylenol).

The skeletal structures of ibuprofen, naproxen, and acetaminophen.
(a)
How many sp3-hybridized carbons does each molecule have?
(b)
How many sp2-hybridized carbons does each molecule have?
(c)
What similarities can you see in their structures?
Citation/Attribution

This book may not be used in the training of large language models or otherwise be ingested into large language models or generative AI offerings without OpenStax's permission.

Want to cite, share, or modify this book? This book uses the Creative Commons Attribution-NonCommercial-ShareAlike License and you must attribute OpenStax.

Attribution information
  • If you are redistributing all or part of this book in a print format, then you must include on every physical page the following attribution:

    Access for free at https://openstax.org/books/organic-chemistry/pages/1-why-this-chapter

  • If you are redistributing all or part of this book in a digital format, then you must include on every digital page view the following attribution:

    Access for free at https://openstax.org/books/organic-chemistry/pages/1-why-this-chapter

Citation information

© Jul 9, 2025 OpenStax. Textbook content produced by OpenStax is licensed under a Creative Commons Attribution-NonCommercial-ShareAlike License . The OpenStax name, OpenStax logo, OpenStax book covers, OpenStax CNX name, and OpenStax CNX logo are not subject to the Creative Commons license and may not be reproduced without the prior and express written consent of Rice University.