Skip to ContentGo to accessibility pageKeyboard shortcuts menu
OpenStax Logo
Microbiology

7.4 Proteins

Microbiology7.4 Proteins
Search for key terms or text.

Learning Objectives

By the end of this section, you will be able to:

  • Describe the fundamental structure of an amino acid
  • Describe the chemical structures of proteins
  • Summarize the unique characteristics of proteins

At the beginning of this chapter, a famous experiment was described in which scientists synthesized amino acids under conditions simulating those present on earth long before the evolution of life as we know it. These compounds are capable of bonding together in essentially any number, yielding molecules of essentially any size that possess a wide array of physical and chemical properties and perform numerous functions vital to all organisms. The molecules derived from amino acids can function as structural components of cells and subcellular entities, as sources of nutrients, as atom- and energy-storage reservoirs, and as functional species such as hormones, enzymes, receptors, and transport molecules.

Amino Acids and Peptide Bonds

An amino acid is an organic molecule in which a hydrogen atom, a carboxyl group (–COOH), and an amino group (–NH2) are all bonded to the same carbon atom, the so-called α carbon. The fourth group bonded to the α carbon varies among the different amino acids and is called a residue or a side chain, represented in structural formulas by the letter R. A residue is a monomer that results when two or more amino acids combine and remove water molecules. The primary structure of a protein, a peptide chain, is made of amino acid residues. The unique characteristics of the functional groups and R groups allow these components of the amino acids to form hydrogen, ionic, and disulfide bonds, along with polar/nonpolar interactions needed to form secondary, tertiary, and quaternary protein structures. These groups are composed primarily of carbon, hydrogen, oxygen, nitrogen, and sulfur, in the form of hydrocarbons, acids, amides, alcohols, and amines. A few examples illustrating these possibilities are provided in Figure 7.17.

A table titled some amino acids and their structures; 3 columns: amino acid, R group, structure.  Alanine has an R group of CH3. Its structure is a C attached to a COO-, an H, a NH3, and a CH3. Serine has an R group of CH2OH. Its structure is a C attached to a COO-, an H, a NH3, and a CH2OH. Lysine has an R group of (CH2)4NH3+.  Its structure is a C attached to a COO-, an H, a NH3, and a (CH2)4NH3+. Aspartate has an R group of CH2COO. Its structure is a C attached to a COO-, an H, a NH3, and a CH2COO.  Cysteine has an R group of CH2SH. Its structure is a C attached to a COO-, an H, a NH3, and a CH2SH.
Figure 7.17

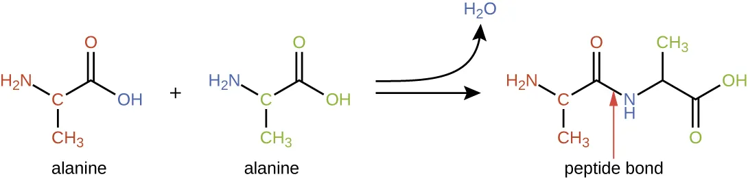
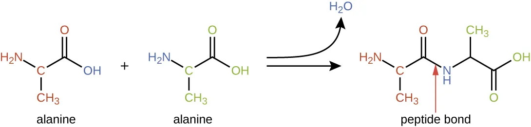
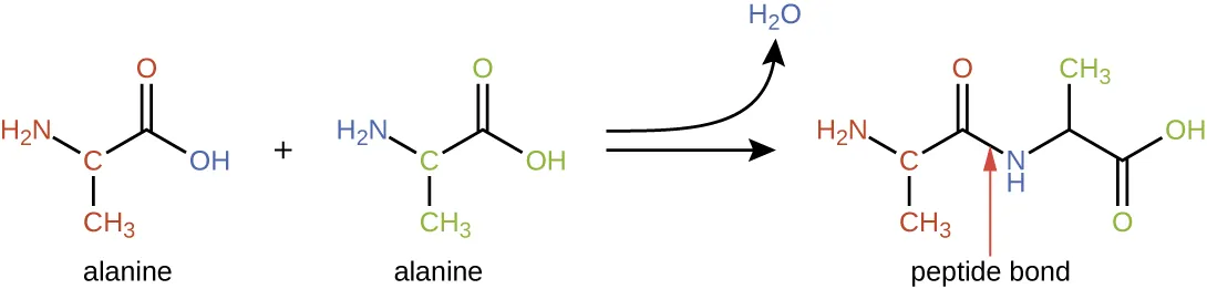
Amino acids may chemically bond together by reaction of the carboxylic acid group of one molecule with the amine group of another. This reaction forms a peptide bond and a water molecule and is another example of dehydration synthesis (Figure 7.18). Molecules formed by chemically linking relatively modest numbers of amino acids (approximately 50 or fewer) are called peptides, and prefixes are often used to specify these numbers: dipeptides (two amino acids), tripeptides (three amino acids), and so forth. More generally, the approximate number of amino acids is designated: oligopeptides are formed by joining up to approximately 20 amino acids, whereas polypeptides are synthesized from up to approximately 50 amino acids. When the number of amino acids linked together becomes very large, or when multiple polypeptides are used as building subunits, the macromolecules that result are called proteins. The continuously variable length (the number of monomers) of these biopolymers, along with the variety of possible R groups on each amino acid, allows for a nearly unlimited diversity in the types of proteins that may be formed.

Alanine has a 3 carbon chain. The second carbon has NH2 attached and the third has a double bonded O.  When 2 alanines bond, the OH from one and the H from the NH2 of the other form water. The resulting molecule is two alanines linked by an NH.
Figure 7.18 Peptide bond formation is a dehydration synthesis reaction. The carboxyl group of the first amino acid (alanine) is linked to the amino group of the incoming second amino acid (alanine). In the process, a molecule of water is released.

Check Your Understanding

  • How many amino acids are in polypeptides?

Protein Structure

The size (length) and specific amino acid sequence of a protein are major determinants of its shape, and the shape of a protein is critical to its function. For example, in the process of biological nitrogen fixation (see Biogeochemical Cycles), soil microorganisms collectively known as rhizobia symbiotically interact with roots of legume plants such as soybeans, peanuts, or beans to form a novel structure called a nodule on the plant roots. The plant then produces a carrier protein called leghemoglobin, a protein that carries nitrogen or oxygen. Leghemoglobin binds with a very high affinity to its substrate oxygen at a specific region of the protein where the shape and amino acid sequence are appropriate (the active site). If the shape or chemical environment of the active site is altered, even slightly, the substrate may not be able to bind as strongly, or it may not bind at all. Thus, for the protein to be fully active, it must have the appropriate shape for its function.

Protein structure is categorized in terms of four levels: primary, secondary, tertiary, and quaternary. The primary structure is simply the sequence of amino acids that make up the polypeptide chain. Figure 7.19 depicts the primary structure of a protein.

The chain of amino acids that defines a protein’s primary structure is not rigid, but instead is flexible because of the nature of the bonds that hold the amino acids together. When the chain is sufficiently long, hydrogen bonding may occur between amine and carbonyl functional groups within the peptide backbone (excluding the R side group), resulting in localized folding of the polypeptide chain into helices and sheets. These shapes constitute a protein’s secondary structure. The most common secondary structures are the α-helix and β-pleated sheet. In the α-helix structure, the helix is held by hydrogen bonds between the oxygen atom in a carbonyl group of one amino acid and the hydrogen atom of the amino group that is just four amino acid units farther along the chain. In the β-pleated sheet, the pleats are formed by similar hydrogen bonds between continuous sequences of carbonyl and amino groups that are further separated on the backbone of the polypeptide chain (Figure 7.20).

The next level of protein organization is the tertiary structure, which is the large-scale three-dimensional shape of a single polypeptide chain. Tertiary structure is determined by interactions between amino acid residues that are far apart in the chain. A variety of interactions give rise to protein tertiary structure, such as disulfide bridges, which are bonds between the sulfhydryl (–SH) functional groups on amino acid side groups; hydrogen bonds; ionic bonds; and hydrophobic interactions between nonpolar side chains. All these interactions, weak and strong, combine to determine the final three-dimensional shape of the protein and its function (Figure 7.21).

The process by which a polypeptide chain assumes a large-scale, three-dimensional shape is called protein folding. Folded proteins that are fully functional in their normal biological role are said to possess a native structure. When a protein loses its three-dimensional shape, it may no longer be functional. These unfolded proteins are denatured. Denaturation implies the loss of the secondary structure and tertiary structure (and, if present, the quaternary structure) without the loss of the primary structure.

Some proteins are assemblies of several separate polypeptides, also known as protein subunits. These proteins function adequately only when all subunits are present and appropriately configured. The interactions that hold these subunits together constitute the quaternary structure of the protein. The overall quaternary structure is stabilized by relatively weak interactions. Hemoglobin, for example, has a quaternary structure of four globular protein subunits: two α and two β polypeptides, each one containing an iron-based heme (Figure 7.22).

Another important class of proteins is the conjugated proteins that have a nonprotein portion. If the conjugated protein has a carbohydrate attached, it is called a glycoprotein. If it has a lipid attached, it is called a lipoprotein. These proteins are important components of membranes. Figure 7.23 summarizes the four levels of protein structure.

The primary protein structure is a chain of amino acids that makes up the protein. The image is a chain of circles (each circle is an amino acid). One end of the chain is the free amino group or N-terminus. The other end of the chain is the free carboxyl group or C-terminus. A drawing of a single amino acid shows a carbon with an H, an R group, a COOH (acidic carboxyl group) and an NH2 (amino group).
Figure 7.19 The primary structure of a protein is the sequence of amino acids. (credit: modification of work by National Human Genome Research Institute)
The secondary structure of a protein may be an α-helix or a β-pleated sheet, or both. A chain of spheres forms a spiral labeled alpha-helix. This chain also forms a ribbon that folds back and forth; this is labeled beta-pleated sheet. Closeups show that hydrogen bonds (dotted lines) between amino acids hold together these shapes.
Figure 7.20 The secondary structure of a protein may be an α-helix or a β-pleated sheet, or both.
A long ribbon labeled polypeptide backbone. Loops of the ribbon are held in place by various types of chemical reactions. An ionic bond is then a positively charged amino acid and a negatively charged amino acid are attracted to each other. Hydrophobic interactions are when hydrophobic amino acids (containing only carbons and hydrogens) are clustered together. A disulfide linkage is when a sulfur of one amino acid is covalently bound to the sulfur of another amino acid. A hydrogen bond is when two polar amino acids are attracted to each other.
Figure 7.21 The tertiary structure of proteins is determined by a variety of attractive forces, including hydrophobic interactions, ionic bonding, hydrogen bonding, and disulfide linkages.
A complex spherical shape made of ribbons that are coiled and wound around each other. There are 4 large regions (each made from a separate ribbon) – alpha 1, alpha 2, beta 1, beta 2.  There are also red spheres attached to each ribbon; these are labeled heme group.
Figure 7.22 A hemoglobin molecule has two α and two β polypeptides together with four heme groups.
Primary protein structure: sequence of a chain of amino acids. This is shown as a chain of circles. Secondary protein structure: local folding of the polypeptide chain into helices or sheets. This is shown as a spiral labeled alpha-helix and a folded sheet labeled beta-pleated sheet. Tertiary protein structure: three-dimensional folding pattern of a protein due to side chain interactions. This is shown as a complex 3-D shape made of alpha helices and beta pleated sheets. Quaternary protein structure: protein consisting of more than one amino acid chain. This is shown as 2 complex structures similar to that seen at the tertiary level.
Figure 7.23 Protein structure has four levels of organization. (credit: modification of work by National Human Genome Research Institute)

Check Your Understanding

  • What can happen if a protein’s primary, secondary, tertiary, or quaternary structure is changed?

Micro Connections

Primary Structure, Dysfunctional Proteins, and Cystic Fibrosis

Proteins associated with biological membranes are classified as extrinsic or intrinsic. Extrinsic proteins, also called peripheral proteins, are loosely associated with one side of the membrane. Intrinsic proteins, or integral proteins, are embedded in the membrane and often function as part of transport systems as transmembrane proteins. Cystic fibrosis (CF) is a human genetic disorder caused by a change in the transmembrane protein. It affects mostly the lungs but may also affect the pancreas, liver, kidneys, and intestine. CF is caused by a loss of the amino acid phenylalanine in a cystic fibrosis transmembrane protein (CFTR). The loss of one amino acid changes the primary structure of a protein that normally helps transport salt and water in and out of cells (Figure 7.24).

The change in the primary structure prevents the protein from functioning properly, which causes the body to produce unusually thick mucus that clogs the lungs and leads to the accumulation of sticky mucus. The mucus obstructs the pancreas and stops natural enzymes from helping the body break down food and absorb vital nutrients.

In the lungs of individuals with cystic fibrosis, the altered mucus provides an environment where bacteria can thrive. This colonization leads to the formation of biofilms in the small airways of the lungs. The most common pathogens found in the lungs of patients with cystic fibrosis are Pseudomonas aeruginosa (Figure 7.25) and Burkholderia cepacia. Pseudomonas differentiates within the biofilm in the lung and forms large colonies, called “mucoid” Pseudomonas. The colonies have a unique pigmentation that shows up in laboratory tests (Figure 7.25) and provides physicians with the first clue that the patient has CF (such colonies are rare in healthy individuals).

A drawing of a phospholipid bilayer in the center with two protein channels. One is open and lets Cl- flow out of the cell. The other is blocked by a mucus blockage on the outside of the cell; Cl- ions can’t flow through this channel.
Figure 7.24 The normal CFTR protein is a channel protein that helps salt (sodium chloride) move in and out of cells.
a) a micrograph of rod shaped cells. B) An agar plate with a green pigmented colonies; this green pigment is spreading past the edge of the colonies.
Figure 7.25 (a) A scanning electron micrograph shows the opportunistic bacterium Pseudomonas aeruginosa. (b) Pigment-producing P. aeruginosa on cetrimide agar shows the green pigment called pyocyanin. (credit a: modification of work by the Centers for Disease Control and Prevention)
Citation/Attribution

This book may not be used in the training of large language models or otherwise be ingested into large language models or generative AI offerings without OpenStax's permission.

Want to cite, share, or modify this book? This book uses the Creative Commons Attribution License and you must attribute OpenStax.

Attribution information
  • If you are redistributing all or part of this book in a print format, then you must include on every physical page the following attribution:

    Access for free at https://openstax.org/books/microbiology/pages/1-introduction

  • If you are redistributing all or part of this book in a digital format, then you must include on every digital page view the following attribution:

    Access for free at https://openstax.org/books/microbiology/pages/1-introduction

Citation information

© Apr 28, 2025 OpenStax. Textbook content produced by OpenStax is licensed under a Creative Commons Attribution License . The OpenStax name, OpenStax logo, OpenStax book covers, OpenStax CNX name, and OpenStax CNX logo are not subject to the Creative Commons license and may not be reproduced without the prior and express written consent of Rice University.