Skip to ContentGo to accessibility pageKeyboard shortcuts menu
OpenStax Logo
Microbiology

10.3 Structure and Function of RNA

Microbiology10.3 Structure and Function of RNA
Search for key terms or text.

Learning Objectives

By the end of this section, you will be able to:

  • Describe the biochemical structure of ribonucleotides
  • Describe the similarities and differences between RNA and DNA
  • Describe the functions of the three main types of RNA used in protein synthesis
  • Explain how RNA can serve as hereditary information

Structurally speaking, ribonucleic acid (RNA), is quite similar to DNA. However, whereas DNA molecules are typically long and double stranded, RNA molecules are much shorter and are typically single stranded. RNA molecules perform a variety of roles in the cell but are mainly involved in the process of protein synthesis (translation) and its regulation.

RNA Structure

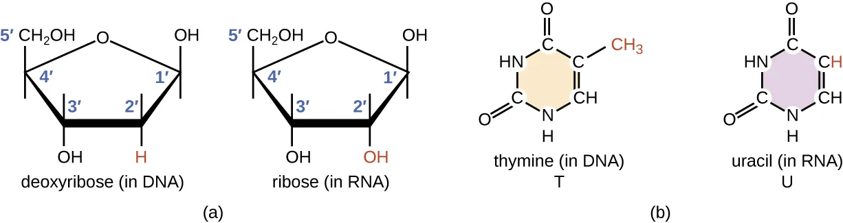
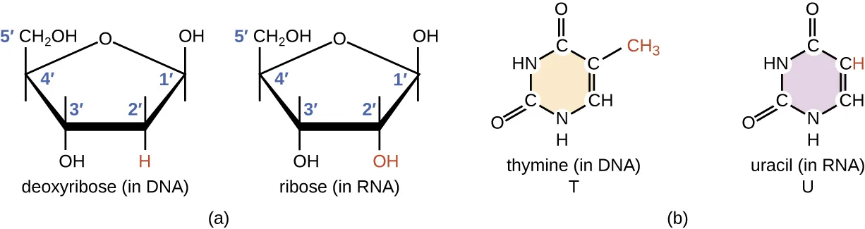
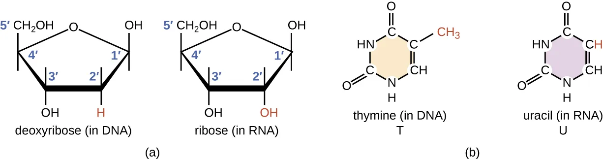
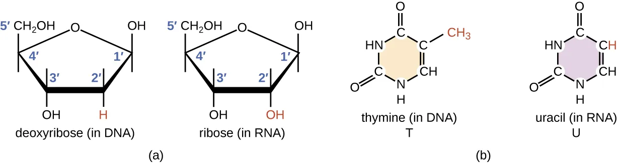
RNA is typically single stranded and is made of ribonucleotides that are linked by phosphodiester bonds. A ribonucleotide in the RNA chain contains ribose (the pentose sugar), one of the four nitrogenous bases (A, U, G, and C), and a phosphate group. The subtle structural difference between the sugars gives DNA added stability, making DNA more suitable for storage of genetic information, whereas the relative instability of RNA makes it more suitable for its more short-term functions. The RNA-specific pyrimidine uracil forms a complementary base pair with adenine and is used instead of the thymine used in DNA. Even though RNA is single stranded, most types of RNA molecules show extensive intramolecular base pairing between complementary sequences within the RNA strand, creating a predictable three-dimensional structure essential for their function (Figure 10.20 and Figure 10.21).

a) diagrams of ribose (in RNA) and deoxyribose (in DNA). Both have a pentagon shape with Oxygen at the top point of the pentagon. Both have an OH at carbon 1 and 3 and a CH2OH at carbon 4 (this last carbon is carbon 5). The difference is that ribose has an OH at carbon 2 and deoxyribose has an H at carbon 2. B) diagrams of thymine (T in DNA) and Uracil (U in RNA). Both have a single hexagon ring containing carbons and nitrogens. Both have a double bound O at the top carbon, and the bottom left carbon. The difference is that the top right carbon has an H in uracil and a CH3 in thymine.
Figure 10.20 (a) Ribonucleotides contain the pentose sugar ribose instead of the deoxyribose found in deoxyribonucleotides. (b) RNA contains the pyrimidine uracil in place of thymine found in DNA.
a) A diagram of DNA and RNA. DNA has the double helix shape with the helix of sugar-phosphates on the outside and the base pairs on the inside. RNA has a single helix of sugar-phosphates with nitrogenous bases along the length of the helix. B) A diagram showing RNA folding upon itself. The bases attached to the sugar-phosphate backbone can form hydrogen bonds if there are stretches of complimentary bases at some distance from each other on the long strand. Other regions do not have these hydrogen bonds.
Figure 10.21 (a) DNA is typically double stranded, whereas RNA is typically single stranded. (b) Although it is single stranded, RNA can fold upon itself, with the folds stabilized by short areas of complementary base pairing within the molecule, forming a three-dimensional structure.

Check Your Understanding

  • How does the structure of RNA differ from the structure of DNA?

Functions of RNA in Protein Synthesis

Cells access the information stored in DNA by creating RNA to direct the synthesis of proteins through the process of translation. Proteins within a cell have many functions, including building cellular structures and serving as enzyme catalysts for cellular chemical reactions that give cells their specific characteristics. The three main types of RNA directly involved in protein synthesis are messenger RNA (mRNA), ribosomal RNA (rRNA), and transfer RNA (tRNA).

In 1961, French scientists François Jacob and Jacques Monod hypothesized the existence of an intermediary between DNA and its protein products, which they called messenger RNA.16 Evidence supporting their hypothesis was gathered soon afterwards showing that information from DNA is transmitted to the ribosome for protein synthesis using mRNA. If DNA serves as the complete library of cellular information, mRNA serves as a photocopy of specific information needed at a particular point in time that serves as the instructions to make a protein.

The mRNA carries the message from the DNA, which controls all of the cellular activities in a cell. If a cell requires a certain protein to be synthesized, the gene for this product is “turned on” and the mRNA is synthesized through the process of transcription (see RNA Transcription). The mRNA then interacts with ribosomes and other cellular machinery (Figure 10.22) to direct the synthesis of the protein it encodes during the process of translation (see Protein Synthesis). mRNA is relatively unstable and short-lived in the cell, especially in prokaryotic cells, ensuring that proteins are only made when needed.

A diagram showing mRNA as a long strand with sets of 3 letters grouped; the left of the mRNA is labeled 3-prime, the right is labeled 5-prime. An oval labeled ribosome small subunit sits under the mRNA and spans 3 of the 3-letter groups. A larger dome (labeled ribosome large subunit) sits on top of the mRNA at this same region. The large subunit has 3 gaps where rectangles labeled tRNA sit. These rectangles each sit on a group of 3-letters on the mRNA at one end and contain an amino acid on the other end. The tRNA on the left has a single amino acid. The tRNA in the middle has a growing pepetide chain of many amino acids. The tRNA on the right as no amino acids and is leaving the ribosome.
Figure 10.22 A generalized illustration of how mRNA and tRNA are used in protein synthesis within a cell.

rRNA and tRNA are stable types of RNA. In prokaryotes and eukaryotes, tRNA and rRNA are encoded in the DNA, then copied into long RNA molecules that are cut to release smaller fragments containing the individual mature RNA species. In eukaryotes, synthesis, cutting, and assembly of rRNA into ribosomes takes place in the nucleolus region of the nucleus, but these activities occur in the cytoplasm of prokaryotes. Neither of these types of RNA carries instructions to direct the synthesis of a polypeptide, but they play other important roles in protein synthesis.

Ribosomes are composed of rRNA and protein. As its name suggests, rRNA is a major constituent of ribosomes, composing up to about 60% of the ribosome by mass and providing the location where the mRNA binds. The rRNA ensures the proper alignment of the mRNA, tRNA, and the ribosomes; the rRNA of the ribosome also has an enzymatic activity (peptidyl transferase) and catalyzes the formation of the peptide bonds between two aligned amino acids during protein synthesis. Although rRNA had long been thought to serve primarily a structural role, its catalytic role within the ribosome was proven in 2000.17 Scientists in the laboratories of Thomas Steitz (1940–) and Peter Moore (1939–) at Yale University were able to crystallize the ribosome structure from Haloarcula marismortui, a halophilic archaeon isolated from the Dead Sea. Because of the importance of this work, Steitz shared the 2009 Nobel Prize in Chemistry with other scientists who made significant contributions to the understanding of ribosome structure.

Transfer RNA is the third main type of RNA and one of the smallest, usually only 70–90 nucleotides long. It carries the correct amino acid to the site of protein synthesis in the ribosome. It is the base pairing between the tRNA and mRNA that allows for the correct amino acid to be inserted in the polypeptide chain being synthesized (Figure 10.23). Any mutations in the tRNA or rRNA can result in global problems for the cell because both are necessary for proper protein synthesis (Table 10.1).

A diagram of the 2-dimentional tRNA which is a single long strand of RNA folded into a plus shape with loops on the sides and bottom. The regions where the tRNA is folded so that there are 2 parts of the strand forming the linear portions of the plus are held together by hydrogen bonds labeled intramolecular pairing. The loop at the bottom has a set of 3 letters that are complimentary to 3 letters on the mRNA. The top part of the plus has a single stranded end at the 3-prime end; this is attached to an amino acid. B) The 3-dimentional structure looks like single strand folded into a double stranded structure with a bend in the middle.
Figure 10.23 A tRNA molecule is a single-stranded molecule that exhibits significant intracellular base pairing, giving it its characteristic three-dimensional shape.
Structure and Function of RNA
mRNA rRNA tRNA
Structure Short, unstable, single-stranded RNA corresponding to a gene encoded within DNA Longer, stable RNA molecules composing 60% of ribosome’s mass Short (70-90 nucleotides), stable RNA with extensive intramolecular base pairing; contains an amino acid binding site and an mRNA binding site
Function Serves as intermediary between DNA and protein; used by ribosome to direct synthesis of protein it encodes Ensures the proper alignment of mRNA, tRNA, and ribosome during protein synthesis; catalyzes peptide bond formation between amino acids Carries the correct amino acid to the site of protein synthesis in the ribosome
Table 10.1

Check Your Understanding

  • What are the functions of the three major types of RNA molecules involved in protein synthesis?

RNA as Hereditary Information

Although RNA does not serve as the hereditary information in most cells, RNA does hold this function for many viruses that do not contain DNA. Thus, RNA clearly does have the additional capacity to serve as genetic information. Although RNA is typically single stranded within cells, there is significant diversity in viruses. Rhinoviruses, which cause the common cold; influenza viruses; and the Ebola virus are single-stranded RNA viruses. Rotaviruses, which cause severe gastroenteritis in children and other immunocompromised individuals, are examples of double-stranded RNA viruses. Because double-stranded RNA is uncommon in eukaryotic cells, its presence serves as an indicator of viral infection. The implications for a virus having an RNA genome instead of a DNA genome are discussed in more detail in Viruses.

Footnotes

  • 16A. Rich. “The Era of RNA Awakening: Structural Biology of RNA in the Early Years.” Quarterly Reviews of Biophysics 42 no. 2 (2009):117–137.
  • 17P. Nissen et al. “The Structural Basis of Ribosome Activity in Peptide Bond Synthesis.” Science 289 no. 5481 (2000):920–930.
Citation/Attribution

This book may not be used in the training of large language models or otherwise be ingested into large language models or generative AI offerings without OpenStax's permission.

Want to cite, share, or modify this book? This book uses the Creative Commons Attribution License and you must attribute OpenStax.

Attribution information
  • If you are redistributing all or part of this book in a print format, then you must include on every physical page the following attribution:

    Access for free at https://openstax.org/books/microbiology/pages/1-introduction

  • If you are redistributing all or part of this book in a digital format, then you must include on every digital page view the following attribution:

    Access for free at https://openstax.org/books/microbiology/pages/1-introduction

Citation information

© Apr 28, 2025 OpenStax. Textbook content produced by OpenStax is licensed under a Creative Commons Attribution License . The OpenStax name, OpenStax logo, OpenStax book covers, OpenStax CNX name, and OpenStax CNX logo are not subject to the Creative Commons license and may not be reproduced without the prior and express written consent of Rice University.