Skip to ContentGo to accessibility pageKeyboard shortcuts menu
OpenStax Logo
Intermediate Algebra

3.1 Graph Linear Equations in Two Variables

Intermediate Algebra3.1 Graph Linear Equations in Two Variables
Search for key terms or text.

Learning Objectives

By the end of this section, you will be able to:
  • Plot points in a rectangular coordinate system
  • Graph a linear equation by plotting points
  • Graph vertical and horizontal lines
  • Find the x- and y-intercepts
  • Graph a line using the intercepts

Be Prepared 3.1

Before you get started, take this readiness quiz.

  1. Evaluate 5x45x4 when x=−1.x=−1.
    If you missed this problem, review Example 1.6.
  2. Evaluate 3x2y3x2y when x=4,y=−3.x=4,y=−3.
    If you missed this problem, review Example 1.21.
  3. Solve for y: 83y=20.83y=20.
    If you missed this problem, review Example 2.2.

Plot Points on a Rectangular Coordinate System

Just like maps use a grid system to identify locations, a grid system is used in algebra to show a relationship between two variables in a rectangular coordinate system. The rectangular coordinate system is also called the xy-plane or the “coordinate plane.”

The rectangular coordinate system is formed by two intersecting number lines, one horizontal and one vertical. The horizontal number line is called the x-axis. The vertical number line is called the y-axis. These axes divide a plane into four regions, called quadrants. The quadrants are identified by Roman numerals, beginning on the upper right and proceeding counterclockwise. See Figure 3.2.

This figure shows a square grid. A horizontal number line in the middle is labeled x. A vertical number line in the middle is labeled y. The number lines intersect at zero and together divide the square grid into 4 equally sized smaller squares. The square in the top right is labeled I. The square in the top left is labeled II. The square in the bottom left is labeled III. The square in the bottom right is labeled IV.
Figure 3.2

In the rectangular coordinate system, every point is represented by an ordered pair. The first number in the ordered pair is the x-coordinate of the point, and the second number is the y-coordinate of the point. The phrase “ordered pair” means that the order is important.

Ordered Pair

An ordered pair, (x,y)(x,y) gives the coordinates of a point in a rectangular coordinate system. The first number is the x-coordinate. The second number is the y-coordinate.

This figure shows the expression (x, y). The variable x is labeled x-coordinate. The variable y is labeled y-coordinate.

What is the ordered pair of the point where the axes cross? At that point both coordinates are zero, so its ordered pair is (0,0).(0,0). The point (0,0)(0,0) has a special name. It is called the origin.

The Origin

The point (0,0)(0,0) is called the origin. It is the point where the x-axis and y-axis intersect.

We use the coordinates to locate a point on the xy-plane. Let’s plot the point (1,3)(1,3) as an example. First, locate 1 on the x-axis and lightly sketch a vertical line through x=1.x=1. Then, locate 3 on the y-axis and sketch a horizontal line through y=3.y=3. Now, find the point where these two lines meet—that is the point with coordinates (1,3).(1,3). See Figure 3.3.

This figure shows a point plotted on the x y-coordinate plane. The x and y axes run from negative 6 to 6. The point (1, 3) is labeled. A dashed vertical line goes through the point and intersects the x-axis at xplus1. A dashed horizontal line goes through the point and intersects the y-axis at yplus3.
Figure 3.3

Notice that the vertical line through x=1x=1 and the horizontal line through y=3y=3 are not part of the graph. We just used them to help us locate the point (1,3).(1,3).

When one of the coordinate is zero, the point lies on one of the axes. In Figure 3.4 the point (0,4)(0,4) is on the y-axis and the point (−2,0)(−2,0) is on the x-axis.

This figure shows points plotted on the x y-coordinate plane. The x and y axes run from negative 6 to 6. The point (negative 2, 0) is labeled and lies on the x-axis. The point (0, 4) is labeled and lies on the y-axis.
Figure 3.4

Points on the Axes

Points with a y-coordinate equal to 0 are on the x-axis, and have coordinates (a,0).(a,0).

Points with an x-coordinate equal to 0 are on the y-axis, and have coordinates (0,b).(0,b).

Example 3.1

Plot each point in the rectangular coordinate system and identify the quadrant in which the point is located:

(−5,4)(−5,4) (−3,−4)(−3,−4) (2,−3)(2,−3) (0,−1)(0,−1) (3,52).(3,52).

Try It 3.1

Plot each point in a rectangular coordinate system and identify the quadrant in which the point is located:
(−2,1)(−2,1) (−3,−1)(−3,−1) (4,−4)(4,−4) (−4,4)(−4,4) (−4,32)(−4,32)

Try It 3.2

Plot each point in a rectangular coordinate system and identify the quadrant in which the point is located:
(−4,1)(−4,1) (−2,3)(−2,3) (2,−5)(2,−5) (−2,5)(−2,5) (−3,52)(−3,52)

The signs of the x-coordinate and y-coordinate affect the location of the points. You may have noticed some patterns as you graphed the points in the previous example. We can summarize sign patterns of the quadrants in this way:

Quadrants

Quadrant IQuadrant IIQuadrant IIIQuadrant IV (x,y)(x,y)(x,y)(x,y) (+,+)(,+)(,)(+,) Quadrant IQuadrant IIQuadrant IIIQuadrant IV (x,y)(x,y)(x,y)(x,y) (+,+)(,+)(,)(+,)
This figure shows the x y-coordinate plane with the four quadrants labeled. In the top right of the plane is quadrant I labeled (plus, plus). In the top left of the plane is quadrant II labeled (minus, plus). In the bottom left of the plane is quadrant III labeled (minus, minus). In the bottom right of the plane is quadrant IV labeled (plus, minus).

Up to now, all the equations you have solved were equations with just one variable. In almost every case, when you solved the equation you got exactly one solution. But equations can have more than one variable. Equations with two variables may be of the form Ax+By=C.Ax+By=C. An equation of this form is called a linear equation in two variables.

Linear Equation

An equation of the form Ax+By=C,Ax+By=C, where A and B are not both zero, is called a linear equation in two variables.

Here is an example of a linear equation in two variables, x and y.

This figure shows the equation A x plus B y plus C. Below this is the equation x plus 4 y plus 8. Below this are the equations A plus 1, B plus 4, C plus 8. B and 4 are the same color in all the equations. C and 8 are the same color in all the equations.

The equation y=−3x+5y=−3x+5 is also a linear equation. But it does not appear to be in the form Ax+By=C.Ax+By=C. We can use the Addition Property of Equality and rewrite it in Ax+By=CAx+By=C form.

y=−3x+5 Add to both sides.y+3x=−3x+5+3x Simplify.y+3x=5 Use the Commutative Property to put it in Ax+By=Cform.3x+y=5 y=−3x+5 Add to both sides.y+3x=−3x+5+3x Simplify.y+3x=5 Use the Commutative Property to put it in Ax+By=Cform.3x+y=5

By rewriting y=−3x+5y=−3x+5 as 3x+y=5,3x+y=5, we can easily see that it is a linear equation in two variables because it is of the form Ax+By=C.Ax+By=C. When an equation is in the form Ax+By=C,Ax+By=C, we say it is in standard form of a linear equation.

Standard Form of Linear Equation

A linear equation is in standard form when it is written Ax+By=C.Ax+By=C.

Most people prefer to have A, B, and C be integers and A0A0 when writing a linear equation in standard form, although it is not strictly necessary.

Linear equations have infinitely many solutions. For every number that is substituted for x there is a corresponding y value. This pair of values is a solution to the linear equation and is represented by the ordered pair (x,y).(x,y). When we substitute these values of x and y into the equation, the result is a true statement, because the value on the left side is equal to the value on the right side.

Solution of a Linear Equation in Two Variables

An ordered pair (x,y)(x,y) is a solution of the linear equationAx+By=C,Ax+By=C, if the equation is a true statement when the x- and y-values of the ordered pair are substituted into the equation.

Linear equations have infinitely many solutions. We can plot these solutions in the rectangular coordinate system. The points will line up perfectly in a straight line. We connect the points with a straight line to get the graph of the equation. We put arrows on the ends of each side of the line to indicate that the line continues in both directions.

A graph is a visual representation of all the solutions of the equation. It is an example of the saying, “A picture is worth a thousand words.” The line shows you all the solutions to that equation. Every point on the line is a solution of the equation. And, every solution of this equation is on this line. This line is called the graph of the equation. Points not on the line are not solutions!

Graph of a Linear Equation

The graph of a linear equation Ax+By=CAx+By=C is a straight line.

  • Every point on the line is a solution of the equation.
  • Every solution of this equation is a point on this line.

Example 3.2

The graph of y=2x3y=2x3 is shown.

This figure shows a straight line graphed on the x y-coordinate plane. The x and y-axes run from negative 10 to 10. The line has arrows on both ends and goes through the points (negative 3, negative 9), (negative 2, negative 7), (negative 1, negative 5), (0, negative 3), (1, negative 1), (2, 1), (3, 3), (4, 5), (5, 7), and (6, 9). The line is labeled y plus 2 x minus 3.

For each ordered pair, decide:

Is the ordered pair a solution to the equation?

Is the point on the line?

A: (0,−3)(0,−3) B: (3,3)(3,3) C: (2,−3)(2,−3) D: (−1,−5)(−1,−5)

Try It 3.3

Use graph of y=3x1.y=3x1. For each ordered pair, decide:

Is the ordered pair a solution to the equation?
Is the point on the line?

A (0,−1)(0,−1) B (2,5)(2,5)

This figure shows a straight line graphed on the x y-coordinate plane. The x and y-axes run from negative 10 to 10. The line has arrows on both ends and goes through the points (negative 3, negative 10), (negative 2, negative 7), (negative 1, negative 4), (0, negative 1), (1, 2), (2, 5), and (3, 8). The line is labeled y plus 3 x minus 1.

Try It 3.4

Use graph of y=3x1.y=3x1. For each ordered pair, decide:

Is the ordered pair a solution to the equation?
Is the point on the line?

A(3,−1)(3,−1) B(−1,−4)(−1,−4)

This figure shows a straight line graphed on the x y-coordinate plane. The x and y-axes run from negative 10 to 10. The line has arrows on both ends and goes through the points (negative 3, negative 10), (negative 2, negative 7), (negative 1, negative 4), (0, negative 1), (1, 2), (2, 5), and (3, 8). The line is labeled y plus 3 x minus 1.

Graph a Linear Equation by Plotting Points

There are several methods that can be used to graph a linear equation. The first method we will use is called plotting points, or the Point-Plotting Method. We find three points whose coordinates are solutions to the equation and then plot them in a rectangular coordinate system. By connecting these points in a line, we have the graph of the linear equation.

Example 3.3

How to Graph a Linear Equation by Plotting Points

Graph the equation y=2x+1y=2x+1 by plotting points.

Try It 3.5

Graph the equation by plotting points: y=2x3.y=2x3.

Try It 3.6

Graph the equation by plotting points: y=−2x+4.y=−2x+4.

The steps to take when graphing a linear equation by plotting points are summarized here.

How To

Graph a linear equation by plotting points.

  1. Step 1. Find three points whose coordinates are solutions to the equation. Organize them in a table.
  2. Step 2. Plot the points in a rectangular coordinate system. Check that the points line up. If they do not, carefully check your work.
  3. Step 3. Draw the line through the three points. Extend the line to fill the grid and put arrows on both ends of the line.

It is true that it only takes two points to determine a line, but it is a good habit to use three points. If you only plot two points and one of them is incorrect, you can still draw a line but it will not represent the solutions to the equation. It will be the wrong line.

If you use three points, and one is incorrect, the points will not line up. This tells you something is wrong and you need to check your work. Look at the difference between these illustrations.

The figure shows two images. In the first image there are three points with a straight line going through all three. In the second image there are three points that do not all lie on a straight line.

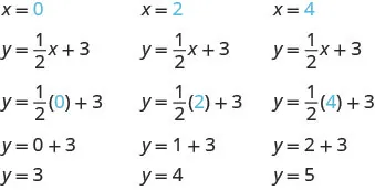
When an equation includes a fraction as the coefficient of xx, we can still substitute any numbers for x. But the arithmetic is easier if we make “good” choices for the values of x. This way we will avoid fractional answers, which are hard to graph precisely.

Example 3.4

Graph the equation: y=12x+3.y=12x+3.

Try It 3.7

Graph the equation: y=13x1.y=13x1.

Try It 3.8

Graph the equation: y=14x+2.y=14x+2.

Graph Vertical and Horizontal Lines

Some linear equations have only one variable. They may have just x and no y, or just y without an x. This changes how we make a table of values to get the points to plot.

Let’s consider the equation x=−3.x=−3. This equation has only one variable, x. The equation says that x is always equal to−3,−3, so its value does not depend on y. No matter what is the value of y, the value of x is always −3.−3.

So to make a table of values, write −3−3 in for all the x-values. Then choose any values for y. Since x does not depend on y, you can choose any numbers you like. But to fit the points on our coordinate graph, we’ll use 1, 2, and 3 for the y-coordinates. See Table 3.2.

x=−3x=−3
x y (x,y)(x,y)
−3−3 1 (−3,1)(−3,1)
−3−3 2 (−3,2)(−3,2)
−3−3 3 (−3,3)(−3,3)
Table 3.2

Plot the points from the table and connect them with a straight line. Notice that we have graphed a vertical line.

The figure shows the graph of a straight vertical line on the x y-coordinate plane. The x and y axes run from negative 7 to 7. The points (negative 3, 1), (negative 3, 2), and (negative 3, 3) are plotted. The line goes through the three points and has arrows on both ends. The line is labeled x plus negative 3.

What if the equation has y but no x? Let’s graph the equation y=4.y=4. This time the y-value is a constant, so in this equation, y does not depend on x. Fill in 4 for all the y’s in Table 3.3 and then choose any values for x. We’ll use 0, 2, and 4 for the x-coordinates.

y=4y=4
x y (x,y)(x,y)
0 4 (0,4)(0,4)
2 4 (2,4)(2,4)
4 4 (4,4)(4,4)
Table 3.3

In this figure, we have graphed a horizontal line passing through the y-axis at 4.

The figure shows the graph of a straight horizontal line on the x y-coordinate plane. The x and y axes run from negative 7 to 7. The points (0, 4), (2, 4), and (4, 4) are plotted. The line goes through the three points and has arrows on both ends. The line is labeled y plus 4.

Vertical and Horizontal Lines

A vertical line is the graph of an equation of the form x=a.x=a.

The line passes through the x-axis at (a,0).(a,0).

A horizontal line is the graph of an equation of the form y=b.y=b.

The line passes through the y-axis at (0,b).(0,b).

Example 3.5

Graph: x=2x=2 y=−1.y=−1.

Try It 3.9

Graph the equations: x=5x=5 y=−4.y=−4.

Try It 3.10

Graph the equations: x=−2x=−2 y=3.y=3.

What is the difference between the equations y=4xy=4x and y=4?y=4?

The equation y=4xy=4x has both x and y. The value of y depends on the value of x, so the y -coordinate changes according to the value of x. The equation y=4y=4 has only one variable. The value of y is constant, it does not depend on the value of x, so the y-coordinate is always 4.

This figure has two tables. The first table has 5 rows and 3 columns. The first row is a title row with the equation y plus 4 x. The second row is a header row with the headers x, y, and (x, y). The third row has the numbers 0, 0, and (0, 0). The fourth row has the numbers 1, 4, and (1, 4). The fifth row has the numbers 2, 8, and (2, 8). The second table has 5 rows and 3 columns. The first row is a title row with the equation y plus 4. The second row is a header row with the headers x, y, and (x, y). The third row has the numbers 0, 4, and (0, 4). The fourth row has the numbers 1, 4, and (1, 4). The fifth row has the numbers 2, 4, and (2, 4). The figure shows the graphs of a straight horizontal line and a straight slanted line on the same x y-coordinate plane. The x and y axes run from negative 7 to 7. The horizontal line goes through the points (0, 4), (1, 4), and (2,4) and is labeled y plus 4. The slanted line goes through the points (0, 0), (1, 4), and (2, 8) and is labeled y plus 4 x.

Notice, in the graph, the equation y=4xy=4x gives a slanted line, while y=4y=4 gives a horizontal line.

Example 3.6

Graph y=−3xy=−3x and y=−3y=−3 in the same rectangular coordinate system.

Try It 3.11

Graph the equations in the same rectangular coordinate system: y=−4xy=−4x and y=−4.y=−4.

Try It 3.12

Graph the equations in the same rectangular coordinate system: y=3y=3 and y=3x.y=3x.

Find x- and y-intercepts

Every linear equation can be represented by a unique line that shows all the solutions of the equation. We have seen that when graphing a line by plotting points, you can use any three solutions to graph. This means that two people graphing the line might use different sets of three points.

At first glance, their two lines might not appear to be the same, since they would have different points labeled. But if all the work was done correctly, the lines should be exactly the same. One way to recognize that they are indeed the same line is to look at where the line crosses the x-axis and the y-axis. These points are called the intercepts of a line.

Intercepts of a Line

The points where a line crosses the x-axis and the y-axis are called the intercepts of the line.

Let’s look at the graphs of the lines.

The figure shows four graphs of different equations. In example a the graph of 2 x plus y plus 6 is graphed on the x y-coordinate plane. The x and y axes run from negative 8 to 8. The points (0, 6) and (3, 0) are plotted and labeled. A straight line goes through both points and has arrows on both ends. In example b the graph of 3 x minus 4 y plus 12 is graphed on the x y-coordinate plane. The x and y axes run from negative 8 to 8. The points (0, negative 3) and (4, 0) are plotted and labeled. A straight line goes through both points and has arrows on both ends. In example c the graph of x minus y plus 5 is graphed on the x y-coordinate plane. The x and y axes run from negative 8 to 8. The points (0, negative 5) and (5, 0) are plotted and labeled. A straight line goes through both points and has arrows on both ends. In example d the graph of y plus negative 2 x is graphed on the x y-coordinate plane. The x and y axes run from negative 8 to 8. The point (0, 0) is plotted and labeled. A straight line goes through this point and the points (negative 1, 2) and (1, negative 2) and has arrows on both ends.

First, notice where each of these lines crosses the x-axis. See Table 3.4.

Now, let’s look at the points where these lines cross the y-axis.

Figure The line crosses
the x-axis at:
Ordered pair
for this point
The line crosses
the y-axis at:
Ordered pair
for this point
Figure (a) 3 (3,0)(3,0) 6 (0,6)(0,6)
Figure (b) 4 (4,0)(4,0) −3−3 (0,−3)(0,−3)
Figure (c) 5 (5,0)(5,0) −5−5 (0,5)(0,5)
Figure (d) 0 (0,0)(0,0) 0 (0,0)(0,0)
General Figure a (a,0)(a,0) b (0,b)(0,b)
Table 3.4

Do you see a pattern?

For each line, the y-coordinate of the point where the line crosses the x-axis is zero. The point where the line crosses the x-axis has the form (a,0)(a,0) and is called the x-intercept of the line. The x-intercept occurs when y is zero.

In each line, the x-coordinate of the point where the line crosses the y-axis is zero. The point where the line crosses the y-axis has the form (0,b)(0,b) and is called the y-intercept of the line. The y-intercept occurs when x is zero.

x-intercept and y-intercept of a Line

The x-intercept is the point (a,0)(a,0) where the line crosses the x-axis.

The y-intercept is the point (0,b)(0,b) where the line crosses the y-axis.

The table has 3 rows and 2 columns. The first row is a header row with the headers x and y. The second row contains a and 0. The third row contains 0 and b.

Example 3.7

Find the x- and y-intercepts on each graph shown.

The figure has three graphs. Figure a shows a straight line graphed on the x y-coordinate plane. The x and y axes run from negative 8 to 8. The line goes through the points (negative 8, 6), (negative 4, 4), (0, 2), (4, 0), (8, negative 2). Figure b shows a straight line graphed on the x y-coordinate plane. The x and y axes run from negative 8 to 8. The line goes through the points (0, negative 6), (2, 0), and (4, 6). Figure c shows a straight line graphed on the x y-coordinate plane. The x and y axes run from negative 8 to 8. The line goes through the points (negative 5, 0), (negative 3, negative 3), (0, negative 5), (1, negative 6), and (2, negative 7).

Try It 3.13

Find the x- and y-intercepts on the graph.

This figure a shows a straight line graphed on the x y-coordinate plane. The x and y axes run from negative 10 to 10. The line goes through the points (negative 6, negative 8), (negative 4, negative 6), (negative 2, negative 4), (0, negative 2), (2, 0), (4, 2), (6, 4), (8, 6).

Try It 3.14

Find the x- and y-intercepts on the graph.

This figure a shows a straight line graphed on the x y-coordinate plane. The x and y axes run from negative 10 to 10. The line goes through the points (negative 6, 6), (negative 3, 4), (0, 2), (3, 0), (6, negative 2), and (9, negative 4).

Recognizing that the x-intercept occurs when y is zero and that the y-intercept occurs when x is zero, gives us a method to find the intercepts of a line from its equation. To find the x-intercept, let y=0y=0 and solve for x. To find the y-intercept, let x=0x=0 and solve for y.

Find the x- and y-intercepts from the Equation of a Line

Use the equation of the line. To find:

  • the x-intercept of the line, let y=0y=0 and solve for x.
  • the y-intercept of the line, let x=0x=0 and solve for y.

Example 3.8

Find the intercepts of 2x+y=8.2x+y=8.

Try It 3.15

Find the intercepts: 3x+y=12.3x+y=12.

Try It 3.16

Find the intercepts: x+4y=8.x+4y=8.

Graph a Line Using the Intercepts

To graph a linear equation by plotting points, you need to find three points whose coordinates are solutions to the equation. You can use the x- and y- intercepts as two of your three points. Find the intercepts, and then find a third point to ensure accuracy. Make sure the points line up—then draw the line. This method is often the quickest way to graph a line.

Example 3.9

How to Graph a Line Using the Intercepts

Graph x+2y=6x+2y=6 using the intercepts.

Try It 3.17

Graph using the intercepts: x2y=4.x2y=4.

Try It 3.18

Graph using the intercepts: x+3y=6.x+3y=6.

The steps to graph a linear equation using the intercepts are summarized here.

How To

Graph a linear equation using the intercepts.

  1. Step 1.
    Find the x- and y-intercepts of the line.
    • Let y=0y=0 and solve for x.
    • Let x=0x=0 and solve for y.
  2. Step 2. Find a third solution to the equation.
  3. Step 3. Plot the three points and check that they line up.
  4. Step 4. Draw the line.

Example 3.10

Graph 4x3y=124x3y=12 using the intercepts.

Try It 3.19

Graph using the intercepts: 5x2y=10.5x2y=10.

Try It 3.20

Graph using the intercepts: 3x4y=12.3x4y=12.

When the line passes through the origin, the x-intercept and the y-intercept are the same point.

Example 3.11

Graph y=5xy=5x using the intercepts.

Try It 3.21

Graph using the intercepts: y=4x.y=4x.

Try It 3.22

Graph the intercepts: y=x.y=x.

Section 3.1 Exercises

Practice Makes Perfect

Plot Points in a Rectangular Coordinate System

In the following exercises, plot each point in a rectangular coordinate system and identify the quadrant in which the point is located.

1.

(−4,2)(−4,2) (−1,−2)(−1,−2) (3,−5)(3,−5) (−3,0)(−3,0) (53,2)(53,2)

2.

(−2,−3)(−2,−3) (3,−3)(3,−3) (−4,1)(−4,1) (4,−1)(4,−1) (32,1)(32,1)

3.

(3,−1)(3,−1) (−3,1)(−3,1) (−2,0)(−2,0) (−4,−3)(−4,−3) (1,145)(1,145)

4.

(−1,1)(−1,1) (−2,−1)(−2,−1) (2,0)(2,0) (1,−4)(1,−4) (3,72)(3,72)

In the following exercises, for each ordered pair, decide

is the ordered pair a solution to the equation? is the point on the line?

5.

y=x+2;y=x+2;
A: (0,2);(0,2); B: (1,2);(1,2); C: (−1,1);(−1,1); D: (−3,−1).(−3,−1).

This figure shows a straight line graphed on the x y-coordinate plane. The x and y-axes run from negative 8 to 8. The line goes through the points (negative 3, negative 1), (negative 2, 0), (negative 1, 1), (0, 2), (1, 3), (2, 4), and (3, 5).
6.

y=x4;y=x4;
A: (0,−4);(0,−4); B: (3,−1);(3,−1); C: (2,2);(2,2); D: (1,−5).(1,−5).

This figure shows a straight line graphed on the x y-coordinate plane. The x and y-axes run from negative 8 to 8. The line goes through the points (negative 3, negative 7), (negative 2, negative 6), (negative 1, negative 5), (0, negative 4), (1, negative 3), (2, negative 2), and (3, negative 1).
7.

y=12x3;y=12x3;
A: (0,−3);(0,−3); B: (2,−2);(2,−2); C: (−2,−4);(−2,−4); D: (4,1)(4,1)

This figure shows a straight line graphed on the x y-coordinate plane. The x and y-axes run from negative 8 to 8. The line goes through the points (negative 4, negative 5), (negative 2, negative 4), (0, negative 3), (2, negative 2), (4, negative 1), and (6, 0).
8.

y=13x+2;y=13x+2;
A: (0,2);(0,2); B: (3,3);(3,3); C: (−3,2);(−3,2); D: (−6,0).(−6,0).

This figure shows a straight line graphed on the x y-coordinate plane. The x and y-axes run from negative 8 to 8. The line goes through the points (negative 6, 0), (negative 3, 1), (0, 2), (3, 3), (6, 4), and (9, 5).

Graph a Linear Equation by Plotting Points

In the following exercises, graph by plotting points.

9.

y = x + 2 y = x + 2

10.

y = x 3 y = x 3

11.

y = 3 x 1 y = 3 x 1

12.

y = −2 x + 2 y = −2 x + 2

13.

y = x 3 y = x 3

14.

y = x 2 y = x 2

15.

y = 2 x y = 2 x

16.

y = −2 x y = −2 x

17.

y = 1 2 x + 2 y = 1 2 x + 2

18.

y = 1 3 x 1 y = 1 3 x 1

19.

y = 4 3 x 5 y = 4 3 x 5

20.

y = 3 2 x 3 y = 3 2 x 3

21.

y = 2 5 x + 1 y = 2 5 x + 1

22.

y = 4 5 x 1 y = 4 5 x 1

23.

y = 3 2 x + 2 y = 3 2 x + 2

24.

y = 5 3 x + 4 y = 5 3 x + 4

Graph Vertical and Horizontal lines

In the following exercises, graph each equation.

25.

x=4x=4 y=3y=3

26.

x=3x=3 y=1y=1

27.

x=−2x=−2 y=−5y=−5

28.

x=−5x=−5 y=−2y=−2

In the following exercises, graph each pair of equations in the same rectangular coordinate system.

29.

y=2xy=2x and y=2y=2

30.

y=5xy=5x and y=5y=5

31.

y=12xy=12x and y=12y=12

32.

y=13xy=13x and y=13y=13

Find x- and y-Intercepts

In the following exercises, find the x- and y-intercepts on each graph.

33.


The figure shows a straight line graphed on the x y-coordinate plane. The x and y axes run from negative 8 to 8. The line goes through the points (negative 6, 9), (negative 3, 6), (0, 3), (3, 0), and (6, negative 3).
34.


The figure shows a straight line graphed on the x y-coordinate plane. The x and y axes run from negative 8 to 8. The line goes through the points (negative 6, 4), (negative 4, 2), (negative 2, 0), (0, negative 2), (2, negative 4), and (4, negative 6).
35.


The figure shows a straight line graphed on the x y-coordinate plane. The x and y axes run from negative 8 to 8. The line goes through the points (negative 1, negative 6), (0, negative 5), (2, negative 3), (5, 0), and (7, 2).
36.


The figure shows a straight line graphed on the x y-coordinate plane. The x and y axes run from negative 8 to 8. The line goes through the points (negative 2, negative 4), (negative 1, negative 2), (0, 0), (1, 2), and (2, 4).

In the following exercises, find the intercepts for each equation.

37.

x y = 5 x y = 5

38.

x y = −4 x y = −4

39.

3 x + y = 6 3 x + y = 6

40.

x 2 y = 8 x 2 y = 8

41.

4 x y = 8 4 x y = 8

42.

5 x y = 5 5 x y = 5

43.

2 x + 5 y = 10 2 x + 5 y = 10

44.

3 x 2 y = 12 3 x 2 y = 12

Graph a Line Using the Intercepts

In the following exercises, graph using the intercepts.

45.

x + 4 y = 8 x + 4 y = 8

46.

x + 2 y = 4 x + 2 y = 4

47.

x + y = −3 x + y = −3

48.

x y = −4 x y = −4

49.

4 x + y = 4 4 x + y = 4

50.

3 x + y = 3 3 x + y = 3

51.

3 x y = −6 3 x y = −6

52.

2 x y = −8 2 x y = −8

53.

2 x + 4 y = 12 2 x + 4 y = 12

54.

3 x 2 y = 6 3 x 2 y = 6

55.

2 x 5 y = −20 2 x 5 y = −20

56.

3 x 4 y = −12 3 x 4 y = −12

57.

y = −2 x y = −2 x

58.

y = 5 x y = 5 x

59.

y = x y = x

60.

y = x y = x

Mixed Practice

In the following exercises, graph each equation.

61.

y = 3 2 x y = 3 2 x

62.

y = 2 3 x y = 2 3 x

63.

y = 1 2 x + 3 y = 1 2 x + 3

64.

y = 1 4 x 2 y = 1 4 x 2

65.

4 x + y = 2 4 x + y = 2

66.

5 x + 2 y = 10 5 x + 2 y = 10

67.

y = −1 y = −1

68.

x = 3 x = 3

Writing Exercises

69.

Explain how you would choose three x-values to make a table to graph the line y=15x2.y=15x2.

70.

What is the difference between the equations of a vertical and a horizontal line?

71.

Do you prefer to use the method of plotting points or the method using the intercepts to graph the equation 4x+y=−4?4x+y=−4? Why?

72.

Do you prefer to use the method of plotting points or the method using the intercepts to graph the equation y=23x2?y=23x2? Why?

Self Check

After completing the exercises, use this checklist to evaluate your mastery of the objectives of this section.

This table has 6 rows and 4 columns. The first row is a header row and it labels each column. The first column header is “I can…”, the second is “Confidently”, the third is “With some help”, and the fourth is “No, I don’t get it”. Under the first column are the phrases “plot points on a rectangular coordinate system”, “graph a linear equation by plotting points”, “graph vertical and horizontal lines”, “find x and y intercepts”, and “graph a line using intercepts”. The other columns are left blank so that the learner may indicate their mastery level for each topic.

If most of your checks were:

Confidently. Congratulations! You have achieved the objectives in this section. Reflect on the study skills you used so that you can continue to use them. What did you do to become confident of your ability to do these things? Be specific.

With some help. This must be addressed quickly because topics you do not master become potholes in your road to success. In math every topic builds upon previous work. It is important to make sure you have a strong foundation before you move on. Who can you ask for help? Your fellow classmates and instructor are good resources. Is there a place on campus where math tutors are available? Can your study skills be improved?

No, I don’t get it. This is a warning sign and you must address it. You should get help right away or you will quickly be overwhelmed. See your instructor as soon as you can to discuss your situation. Together you can come up with a plan to get you the help you need.

Citation/Attribution

This book may not be used in the training of large language models or otherwise be ingested into large language models or generative AI offerings without OpenStax's permission.

Want to cite, share, or modify this book? This book uses the Creative Commons Attribution License and you must attribute OpenStax.

Attribution information
  • If you are redistributing all or part of this book in a print format, then you must include on every physical page the following attribution:

    Access for free at https://openstax.org/books/intermediate-algebra/pages/1-introduction

  • If you are redistributing all or part of this book in a digital format, then you must include on every digital page view the following attribution:

    Access for free at https://openstax.org/books/intermediate-algebra/pages/1-introduction

Citation information

© Feb 9, 2022 OpenStax. Textbook content produced by OpenStax is licensed under a Creative Commons Attribution License . The OpenStax name, OpenStax logo, OpenStax book covers, OpenStax CNX name, and OpenStax CNX logo are not subject to the Creative Commons license and may not be reproduced without the prior and express written consent of Rice University.