Skip to ContentGo to accessibility pageKeyboard shortcuts menu
OpenStax Logo
Intermediate Algebra

12.1 Sequences

Intermediate Algebra12.1 Sequences
Search for key terms or text.

Learning Objectives

By the end of this section, you will be able to:
  • Write the first few terms of a sequence
  • Find a formula for the general term (nth term) of a sequence
  • Use factorial notation
  • Find the partial sum
  • Use summation notation to write a sum

Be Prepared 12.1

Before you get started, take this readiness quiz.

  1. Evaluate 2n+32n+3 for the integers 1, 2, 3, and 4.
    If you missed this problem, review Example 1.6.
  2. Evaluate (−1)n(−1)n for the integers 1, 2, 3, and 4.
    If you missed this problem, review Example 1.19.
  3. If f(n)=n2+2,f(n)=n2+2, find f(1)+f(2)+f(3).f(1)+f(2)+f(3).
    If you missed this problem, review Example 3.49.

Write the First Few Terms of a Sequence

Let’s look at the function f(x)=2xf(x)=2x and evaluate it for just the counting numbers.

f(x)=2xf(x)=2x
xx 2x2x
1 2
2 4
3 6
4 8
5 10

If we list the function values in order as 2, 4, 6, 8, and 10, … we have a sequence. A sequence is a function whose domain is the counting numbers.

Sequences

A sequence is a function whose domain is the counting numbers.

A sequence can also be seen as an ordered list of numbers and each number in the list is a term. A sequence may have an infinite number of terms or a finite number of terms. Our sequence has three dots (ellipsis) at the end which indicates the list never ends. If the domain is the set of all counting numbers, then the sequence is an infinite sequence. Its domain is all counting numbers and there is an infinite number of counting numbers.

2,4,6,8,10,,2,4,6,8,10,,

If we limit the domain to a finite number of counting numbers, then the sequence is a finite sequence. If we use only the first four counting numbers, 1, 2, 3, 4 our sequence would be the finite sequence,

2,4,6,82,4,6,8

Often when working with sequences we do not want to write out all the terms. We want more compact way to show how each term is defined. When we worked with functions, we wrote f(x)=2xf(x)=2x and we said the expression 2x2x was the rule that defined values in the range. While a sequence is a function, we do not use the usual function notation. Instead of writing the function as f(x)=2x,f(x)=2x, we would write it as an=2n.an=2n. The anan is the nth term of the sequence, the term in the nth position where n is a value in the domain. The formula for writing the nth term of the sequence is called the general term or formula of the sequence.

General Term of a Sequence

The general term of the sequence is found from the formula for writing the nth term of the sequence. The nth term of the sequence, an, is the term in the nth position where n is a value in the domain.

When we are given the general term of the sequence, we can find the terms by replacing n with the counting numbers in order. For an=2n,an=2n,

nn 1 2 3 4 5 anan
anan 2·122·12 2·242·24 2·362·36 2·482·48 2·5102·510 2n
a1,a2,a3,a4,a5,,an,2,4,6,8,10,a1,a2,a3,a4,a5,,an,2,4,6,8,10,

To find the values of a sequence, we substitute in the counting numbers in order into the general term of the sequence.

Example 12.1

Write the first five terms of the sequence whose general term is an=4n3.an=4n3.

Try It 12.1

Write the first five terms of the sequence whose general term is an=3n4.an=3n4.

Try It 12.2

Write the first five terms of the sequence whose general term is an=2n5.an=2n5.

For some sequences, the variable is an exponent.

Example 12.2

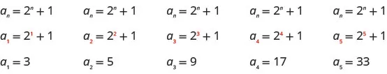
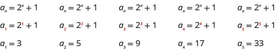
Write the first five terms of the sequence whose general term is an=2n+1.an=2n+1.

Try It 12.3

Write the first five terms of the sequence whose general term is an=3n+4.an=3n+4.

Try It 12.4

Write the first five terms of the sequence whose general term is an=2n5.an=2n5.

It is not uncommon to see the expressions (−1)n(−1)n or (−1)n+1(−1)n+1 in the general term for a sequence. If we evaluate each of these expressions for a few values, we see that this expression alternates the sign for the terms.

nn 1 2 3 4 5
(1)n(1)n (−1)1−1(−1)1−1 (−1)21(−1)21 (−1)3−1(−1)3−1 (−1)41(−1)41 (−1)5−1(−1)5−1
(−1)n+1(−1)n+1 (−1)1+11(−1)1+11 (−1)2+1−1(−1)2+1−1 (−1)3+11(−1)3+11 (−1)4+1−1(−1)4+1−1 (−1)5+11(−1)5+11
a1,a2,a3,a4,a5,,an,−1,1,−1,1,−11,−1,1,−1,1a1,a2,a3,a4,a5,,an,−1,1,−1,1,−11,−1,1,−1,1

The terms in the next example will alternate signs as a result of the powers of −1.−1.

Example 12.3

Write the first five terms of the sequence whose general term is an=(−1)nn3.an=(−1)nn3.

Try It 12.5

Write the first five terms of the sequence whose general term is an=(−1)nn2.an=(−1)nn2.

Try It 12.6

Write the first five terms of the sequence whose general term is an=(−1)n+1n3.an=(−1)n+1n3.

Find a Formula for the General Term (nth Term) of a Sequence

Sometimes we have a few terms of a sequence and it would be helpful to know the general term or nth term. To find the general term, we look for patterns in the terms. Often the patterns involve multiples or powers. We also look for a pattern in the signs of the terms.

Example 12.4

Find a general term for the sequence whose first five terms are shown.

4,8,12,16,20,4,8,12,16,20,

Try It 12.7

Find a general term for the sequence whose first five terms are shown.

3,6,9,12,15,3,6,9,12,15,

Try It 12.8

Find a general term for the sequence whose first five terms are shown.

5,10,15,20,25,5,10,15,20,25,

Example 12.5

Find a general term for the sequence whose first five terms are shown.

2,−4,8,−16,32,2,−4,8,−16,32,

Try It 12.9

Find a general term for the sequence whose first five terms are shown.

−3,9,−27,81,−243,−3,9,−27,81,−243,

Try It 12.10

Find a general term for the sequence whose first five terms are shown

1,−4,9,−16,25,1,−4,9,−16,25,

Example 12.6

Find a general term for the sequence whose first five terms are shown.

13,19,127,181,1243,13,19,127,181,1243,

Try It 12.11

Find a general term for the sequence whose first five terms are shown.

12,14,18,116,132,12,14,18,116,132,

Try It 12.12

Find a general term for the sequence whose first five terms are shown.

11,14,19,116,125,11,14,19,116,125,

Use Factorial Notation

Sequences often have terms that are products of consecutive integers. We indicate these products with a special notation called factorial notation. For example,5!5!, read 5 factorial, means 5·4·3·2·1.5·4·3·2·1. The exclamation point is not punctuation here; it indicates the factorial notation.

Factorial Notation

If n is a positive integer, then n!n! is

n!=n(n1)(n2)n!=n(n1)(n2)

We define 0!0! as 1, so 0!=1.0!=1.

The values of n!n! for the first 5 positive integers are shown.

1!2!3!4!5!121321432154321126241201!2!3!4!5!12132143215432112624120

Example 12.7

Write the first five terms of the sequence whose general term is an=1n!an=1n!.

Try It 12.13

Write the first five terms of the sequence whose general term is an=2n!.an=2n!.

Try It 12.14

Write the first five terms of the sequence whose general term is an=3n!.an=3n!.

When there is a fraction with factorials in the numerator and denominator, we line up the factors vertically to make our calculations easier.

Example 12.8

Write the first five terms of the sequence whose general term is an=(n+1)!(n1)!.an=(n+1)!(n1)!.

Try It 12.15

Write the first five terms of the sequence whose general term is an=(n1)!(n+1)!.an=(n1)!(n+1)!.

Try It 12.16

Write the first five terms of the sequence whose general term is an=n!(n+1)!.an=n!(n+1)!.

Find the Partial Sum

Sometimes in applications, rather than just list the terms, it is important for us to add the terms of a sequence. Rather than just connect the terms with plus signs, we can use summation notation.

For example, a1+a2+a3+a4+a5a1+a2+a3+a4+a5 can be written as i=15ai.i=15ai. We read this as “the sum of a sub i from i equals one to five.” The symbol means to add and the i is the index of summation. The 1 tells us where to start (initial value) and the 5 tells us where to end (terminal value).

Summation Notation

The sum of the first n terms of a sequence whose nth term is anan is written in summation notation as:

i=1nai=a1+a2+a3+a4+a5++ani=1nai=a1+a2+a3+a4+a5++an

The i is the index of summation and the 1 tells us where to start and the n tells us where to end.

When we add a finite number of terms, we call the sum a partial sum.

Example 12.9

Expand the partial sum and find its value: i=152i.i=152i.

Try It 12.17

Expand the partial sum and find its value: i=153i.i=153i.

Try It 12.18

Expand the partial sum and find its value: i=154i.i=154i.

The index does not always have to be i we can use any letter, but i and k are commonly used. The index does not have to start with 1 either—it can start and end with any positive integer.

Example 12.10

Expand the partial sum and find its value: k=031k!.k=031k!.

Try It 12.19

Expand the partial sum and find its value: k=032k!.k=032k!.

Try It 12.20

Expand the partial sum and find its value: k=033k!.k=033k!.

Use Summation Notation to Write a Sum

In the last two examples, we went from summation notation to writing out the sum. Now we will start with a sum and change it to summation notation. This is very similar to finding the general term of a sequence. We will need to look at the terms and find a pattern. Often the patterns involve multiples or powers.

Example 12.11

Write the sum using summation notation: 1+12+13+14+15.1+12+13+14+15.

Try It 12.21

Write the sum using summation notation: 12+14+18+116+132.12+14+18+116+132.

Try It 12.22

Write the sum using summation notation: 1+14+19+116+125.1+14+19+116+125.

When the terms of a sum have negative coefficients, we must carefully analyze the pattern of the signs.

Example 12.12

Write the sum using summation notation: −1+827+64125.−1+827+64125.

Try It 12.23

Write each sum using summation notation: 14+916+25.14+916+25.

Try It 12.24

Write each sum using summation notation: −2+46+810.−2+46+810.

Media

Access this online resource for additional instruction and practice with sequences.

Section 12.1 Exercises

Practice Makes Perfect

Write the First Few Terms of a Sequence

In the following exercises, write the first five terms of the sequence whose general term is given.

1.

a n = 2 n 7 a n = 2 n 7

2.

a n = 5 n 1 a n = 5 n 1

3.

a n = 3 n + 1 a n = 3 n + 1

4.

a n = 4 n + 2 a n = 4 n + 2

5.

a n = 2 n + 3 a n = 2 n + 3

6.

a n = 3 n 1 a n = 3 n 1

7.

a n = 3 n 2 n a n = 3 n 2 n

8.

a n = 2 n 3 n a n = 2 n 3 n

9.

a n = 2 n n 2 a n = 2 n n 2

10.

a n = 3 n n 3 a n = 3 n n 3

11.

a n = 4 n 2 2 n a n = 4 n 2 2 n

12.

a n = 3 n + 3 3 n a n = 3 n + 3 3 n

13.

a n = ( −1 ) n · 2 n a n = ( −1 ) n · 2 n

14.

a n = ( −1 ) n · 3 n a n = ( −1 ) n · 3 n

15.

a n = ( −1 ) n + 1 n 2 a n = ( −1 ) n + 1 n 2

16.

a n = ( −1 ) n + 1 n 4 a n = ( −1 ) n + 1 n 4

17.

a n = ( −1 ) n + 1 n 2 a n = ( −1 ) n + 1 n 2

18.

a n = ( −1 ) n + 1 2 n a n = ( −1 ) n + 1 2 n

Find a Formula for the General Term (nth Term) of a Sequence

In the following exercises, find a general term for the sequence whose first five terms are shown.

19.

8 , 16 , 24 , 32 , 40 , 8 , 16 , 24 , 32 , 40 ,

20.

7 , 14 , 21 , 28 , 35 , 7 , 14 , 21 , 28 , 35 ,

21.

6 , 7 , 8 , 9 , 10 , 6 , 7 , 8 , 9 , 10 ,

22.

−3 , −2 , −1 , 0 , 1 , −3 , −2 , −1 , 0 , 1 ,

23.

e 3 , e 4 , e 5 , e 6 , e 7 , e 3 , e 4 , e 5 , e 6 , e 7 ,

24.

1 e 2 , 1 e , 1 , e , e 2 , 1 e 2 , 1 e , 1 , e , e 2 ,

25.

−5 , 10 , −15 , 20 , −25 , −5 , 10 , −15 , 20 , −25 ,

26.

−6 , 11 , −16 , 21 , −26 , −6 , 11 , −16 , 21 , −26 ,

27.

−1 , 8 , −27 , 64 , −125 , −1 , 8 , −27 , 64 , −125 ,

28.

2 , −5 , 10 , −17 , 26 , 2 , −5 , 10 , −17 , 26 ,

29.

−2 , 4 , −6 , 8 , −10 , −2 , 4 , −6 , 8 , −10 ,

30.

1 , −3 , 5 , −7 , 9 , 1 , −3 , 5 , −7 , 9 ,

31.

1 4 , 1 16 , 1 64 , 1 256 , 1 1,024 , 1 4 , 1 16 , 1 64 , 1 256 , 1 1,024 ,

32.

1 1 , 1 8 , 1 27 , 1 64 , 1 125 , 1 1 , 1 8 , 1 27 , 1 64 , 1 125 ,

33.

1 2 , 2 3 , 3 4 , 4 5 , 5 6 , 1 2 , 2 3 , 3 4 , 4 5 , 5 6 ,

34.

−2 , 3 2 , 4 3 , 5 4 , 6 5 , −2 , 3 2 , 4 3 , 5 4 , 6 5 ,

35.

5 2 , 5 4 , 5 8 , 5 16 , 5 32 , 5 2 , 5 4 , 5 8 , 5 16 , 5 32 ,

36.

4 , 1 2 , 4 27 , 4 64 , 4 125 , 4 , 1 2 , 4 27 , 4 64 , 4 125 ,

Use Factorial Notation

In the following exercises, using factorial notation, write the first five terms of the sequence whose general term is given.

37.

a n = 4 n ! a n = 4 n !

38.

a n = 5 n ! a n = 5 n !

39.

a n = 3 n ! a n = 3 n !

40.

a n = 2 n ! a n = 2 n !

41.

a n = ( 2 n ) ! a n = ( 2 n ) !

42.

a n = ( 3 n ) ! a n = ( 3 n ) !

43.

a n = ( n 1 ) ! ( n ) ! a n = ( n 1 ) ! ( n ) !

44.

a n = n ! ( n + 1 ) ! a n = n ! ( n + 1 ) !

45.

a n = n ! n 2 a n = n ! n 2

46.

a n = n 2 n ! a n = n 2 n !

47.

a n = ( n + 1 ) ! n 2 a n = ( n + 1 ) ! n 2

48.

a n = ( n + 1 ) ! 2 n a n = ( n + 1 ) ! 2 n

Find the Partial Sum

In the following exercises, expand the partial sum and find its value.

49.

i = 1 5 i 2 i = 1 5 i 2

50.

i = 1 5 i 3 i = 1 5 i 3

51.

i = 1 6 ( 2 i + 3 ) i = 1 6 ( 2 i + 3 )

52.

i = 1 6 ( 3 i 2 ) i = 1 6 ( 3 i 2 )

53.

i = 1 4 2 i i = 1 4 2 i

54.

i = 1 4 3 i i = 1 4 3 i

55.

k = 0 3 4 k ! k = 0 3 4 k !

56.

k = 0 4 1 k ! k = 0 4 1 k !

57.

k = 1 5 k ( k + 1 ) k = 1 5 k ( k + 1 )

58.

k = 1 5 k ( 2 k 3 ) k = 1 5 k ( 2 k 3 )

59.

n = 1 5 n n + 1 n = 1 5 n n + 1

60.

n = 1 4 n n + 2 n = 1 4 n n + 2

Use Summation Notation to write a Sum

In the following exercises, write each sum using summation notation.

61.

1 3 + 1 9 + 1 27 + 1 81 + 1 243 1 3 + 1 9 + 1 27 + 1 81 + 1 243

62.

1 4 + 1 16 + 1 64 + 1 256 1 4 + 1 16 + 1 64 + 1 256

63.

1 + 1 8 + 1 27 + 1 64 + 1 125 1 + 1 8 + 1 27 + 1 64 + 1 125

64.

1 5 + 1 25 + 1 125 + 1 625 1 5 + 1 25 + 1 125 + 1 625

65.

2 + 1 + 2 3 + 1 2 + 2 5 2 + 1 + 2 3 + 1 2 + 2 5

66.

3 + 3 2 + 1 + 3 4 + 3 5 + 1 2 3 + 3 2 + 1 + 3 4 + 3 5 + 1 2

67.

3 6 + 9 12 + 15 3 6 + 9 12 + 15

68.

−5 + 10 15 + 20 25 −5 + 10 15 + 20 25

69.

−2 + 4 6 + 8 10 + + 20 −2 + 4 6 + 8 10 + + 20

70.

1 3 + 5 7 + 9 + + 21 1 3 + 5 7 + 9 + + 21

71.

14 + 16 + 18 + 20 + 22 + 24 + 26 14 + 16 + 18 + 20 + 22 + 24 + 26

72.

9 + 11 + 13 + 15 + 17 + 19 + 21 9 + 11 + 13 + 15 + 17 + 19 + 21

Writing Exercises

73.

In your own words, explain how to write the terms of a sequence when you know the formula. Show an example to illustrate your explanation.

74.

Which terms of the sequence are negative when the nth term of the sequence is an=(−1)n(n+2)?an=(−1)n(n+2)?

75.

In your own words, explain what is meant by n!n! Show some examples to illustrate your explanation.

76.

Explain what each part of the notation k=1122kk=1122k means.

Self Check

After completing the exercises, use this checklist to evaluate your mastery of the objectives of this section.

This figure shows a table with four columns and six rows. The first row is the header row and labels each column, “I can”, “Confidently”, “With some help”, and “No I don’t get it!”. The first row in the second column reads, “Write the first few terms of a sequence”, the third row, first column reads, “Find a Formula for the nth Term of a Sequence”, the fourth row first column reads “Use Factorial Notation, the fifth row, first column reads, Find the partial sum”, and the last row, first column reads, “Use Summation Notation to write a Sum”. The remaining three columns and rows are blank.

If most of your checks were:

…confidently. Congratulations! You have achieved the objectives in this section. Reflect on the study skills you used so that you can continue to use them. What did you do to become confident of your ability to do these things? Be specific.

…with some help. This must be addressed quickly because topics you do not master become potholes in your road to success. In math, every topic builds upon previous work. It is important to make sure you have a strong foundation before you move on. Who can you ask for help? Your fellow classmates and instructor are good resources. Is there a place on campus where math tutors are available? Can your study skills be improved?

…no - I don’t get it! This is a warning sign and you must not ignore it. You should get help right away or you will quickly be overwhelmed. See your instructor as soon as you can to discuss your situation. Together you can come up with a plan to get you the help you need.

Citation/Attribution

This book may not be used in the training of large language models or otherwise be ingested into large language models or generative AI offerings without OpenStax's permission.

Want to cite, share, or modify this book? This book uses the Creative Commons Attribution License and you must attribute OpenStax.

Attribution information
  • If you are redistributing all or part of this book in a print format, then you must include on every physical page the following attribution:

    Access for free at https://openstax.org/books/intermediate-algebra/pages/1-introduction

  • If you are redistributing all or part of this book in a digital format, then you must include on every digital page view the following attribution:

    Access for free at https://openstax.org/books/intermediate-algebra/pages/1-introduction

Citation information

© Feb 9, 2022 OpenStax. Textbook content produced by OpenStax is licensed under a Creative Commons Attribution License . The OpenStax name, OpenStax logo, OpenStax book covers, OpenStax CNX name, and OpenStax CNX logo are not subject to the Creative Commons license and may not be reproduced without the prior and express written consent of Rice University.