Skip to ContentGo to accessibility pageKeyboard shortcuts menu
OpenStax Logo
Intermediate Algebra

11.5 Solve Systems of Nonlinear Equations

Intermediate Algebra11.5 Solve Systems of Nonlinear Equations
Search for key terms or text.

Learning Objectives

By the end of this section, you will be able to:
  • Solve a system of nonlinear equations using graphing
  • Solve a system of nonlinear equations using substitution
  • Solve a system of nonlinear equations using elimination
  • Use a system of nonlinear equations to solve applications

Be Prepared 11.5

  1. Solve the system by graphing: {x3y=−3x+y=5.{x3y=−3x+y=5.
    If you missed this problem, review Example 4.2.
  2. Solve the system by substitution: {x4y=−43x+4y=0.{x4y=−43x+4y=0.
    If you missed this problem, review Example 4.7.
  3. Solve the system by elimination: {3x4y=−95x+3y=14.{3x4y=−95x+3y=14.
    If you missed this problem, review Example 4.9.

Solve a System of Nonlinear Equations Using Graphing

We learned how to solve systems of linear equations with two variables by graphing, substitution and elimination. We will be using these same methods as we look at nonlinear systems of equations with two equations and two variables. A system of nonlinear equations is a system where at least one of the equations is not linear.

For example each of the following systems is a system of nonlinear equations.

{x2+y2=9x2y=9{9x2+y2=9y=3x3{x+y=4y=x2+2{x2+y2=9x2y=9{9x2+y2=9y=3x3{x+y=4y=x2+2

System of Nonlinear Equations

A system of nonlinear equations is a system where at least one of the equations is not linear.

Just as with systems of linear equations, a solution of a nonlinear system is an ordered pair that makes both equations true. In a nonlinear system, there may be more than one solution. We will see this as we solve a system of nonlinear equations by graphing.

When we solved systems of linear equations, the solution of the system was the point of intersection of the two lines. With systems of nonlinear equations, the graphs may be circles, parabolas or hyperbolas and there may be several points of intersection, and so several solutions. Once you identify the graphs, visualize the different ways the graphs could intersect and so how many solutions there might be.

To solve systems of nonlinear equations by graphing, we use basically the same steps as with systems of linear equations modified slightly for nonlinear equations. The steps are listed below for reference.

How To

Solve a system of nonlinear equations by graphing.

  1. Step 1. Identify the graph of each equation. Sketch the possible options for intersection.
  2. Step 2. Graph the first equation.
  3. Step 3. Graph the second equation on the same rectangular coordinate system.
  4. Step 4. Determine whether the graphs intersect.
  5. Step 5. Identify the points of intersection.
  6. Step 6. Check that each ordered pair is a solution to both original equations.

Example 11.33

Solve the system by graphing: {xy=−2y=x2.{xy=−2y=x2.

Try It 11.65

Solve the system by graphing: {x+y=4y=x2+2.{x+y=4y=x2+2.

Try It 11.66

Solve the system by graphing: {xy=−1y=x2+3.{xy=−1y=x2+3.

To identify the graph of each equation, keep in mind the characteristics of the x2x2 and y2y2 terms of each conic.

Example 11.34

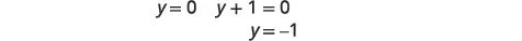
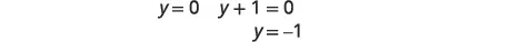
Solve the system by graphing: {y=−1(x2)2+(y+3)2=4.{y=−1(x2)2+(y+3)2=4.

Try It 11.67

Solve the system by graphing: {x=−6(x+3)2+(y1)2=9.{x=−6(x+3)2+(y1)2=9.

Try It 11.68

Solve the system by graphing: {y=4(x2)2+(y+3)2=4.{y=4(x2)2+(y+3)2=4.

Solve a System of Nonlinear Equations Using Substitution

The graphing method works well when the points of intersection are integers and so easy to read off the graph. But more often it is difficult to read the coordinates of the points of intersection. The substitution method is an algebraic method that will work well in many situations. It works especially well when it is easy to solve one of the equations for one of the variables.

The substitution method is very similar to the substitution method that we used for systems of linear equations. The steps are listed below for reference.

How To

Solve a system of nonlinear equations by substitution.

  1. Step 1. Identify the graph of each equation. Sketch the possible options for intersection.
  2. Step 2. Solve one of the equations for either variable.
  3. Step 3. Substitute the expression from Step 2 into the other equation.
  4. Step 4. Solve the resulting equation.
  5. Step 5. Substitute each solution in Step 4 into one of the original equations to find the other variable.
  6. Step 6. Write each solution as an ordered pair.
  7. Step 7. Check that each ordered pair is a solution to both original equations.

Example 11.35

Solve the system by using substitution: {9x2+y2=9y=3x3.{9x2+y2=9y=3x3.

Try It 11.69

Solve the system by using substitution: {x2+9y2=9y=13x3.{x2+9y2=9y=13x3.

Try It 11.70

Solve the system by using substitution: {4x2+y2=4y=x+2.{4x2+y2=4y=x+2.

So far, each system of nonlinear equations has had at least one solution. The next example will show another option.

Example 11.36

Solve the system by using substitution: {x2y=0y=x2.{x2y=0y=x2.

Try It 11.71

Solve the system by using substitution: {x2y=0y=2x3.{x2y=0y=2x3.

Try It 11.72

Solve the system by using substitution: {y2x=0y=3x2.{y2x=0y=3x2.

Solve a System of Nonlinear Equations Using Elimination

When we studied systems of linear equations, we used the method of elimination to solve the system. We can also use elimination to solve systems of nonlinear equations. It works well when the equations have both variables squared. When using elimination, we try to make the coefficients of one variable to be opposites, so when we add the equations together, that variable is eliminated.

The elimination method is very similar to the elimination method that we used for systems of linear equations. The steps are listed for reference.

How To

Solve a system of equations by elimination.

  1. Step 1. Identify the graph of each equation. Sketch the possible options for intersection.
  2. Step 2. Write both equations in standard form.
  3. Step 3. Make the coefficients of one variable opposites.
    Decide which variable you will eliminate.
    Multiply one or both equations so that the coefficients of that variable are opposites.
  4. Step 4. Add the equations resulting from Step 3 to eliminate one variable.
  5. Step 5. Solve for the remaining variable.
  6. Step 6. Substitute each solution from Step 5 into one of the original equations. Then solve for the other variable.
  7. Step 7. Write each solution as an ordered pair.
  8. Step 8. Check that each ordered pair is a solution to both original equations.

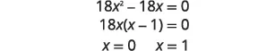
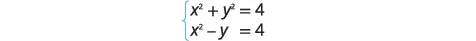
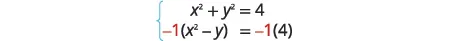
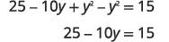
Example 11.37

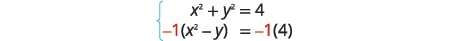
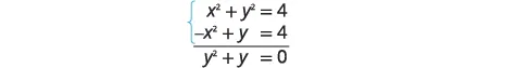
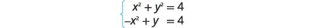
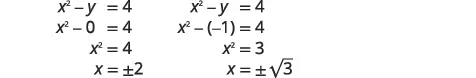
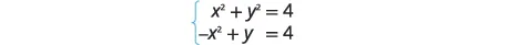
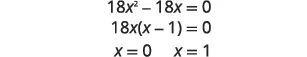
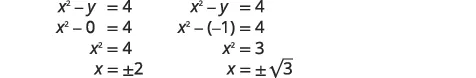
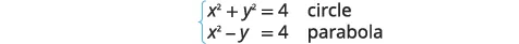
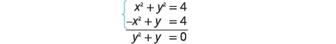
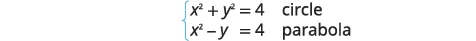
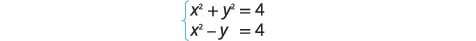
Solve the system by elimination: {x2+y2=4x2y=4.{x2+y2=4x2y=4.

Try It 11.73

Solve the system by elimination: {x2+y2=9x2y=9.{x2+y2=9x2y=9.

Try It 11.74

Solve the system by elimination: {x2+y2=1x+y2=1.{x2+y2=1x+y2=1.

There are also four options when we consider a circle and a hyperbola.

Example 11.38

Solve the system by elimination: {x2+y2=7x2y2=1.{x2+y2=7x2y2=1.

Try It 11.75

Solve the system by elimination: {x2+y2=25y2x2=7.{x2+y2=25y2x2=7.

Try It 11.76

Solve the system by elimination: {x2+y2=4x2y2=4.{x2+y2=4x2y2=4.

Use a System of Nonlinear Equations to Solve Applications

Systems of nonlinear equations can be used to model and solve many applications. We will look at an everyday geometric situation as our example.

Example 11.39

The difference of the squares of two numbers is 15. The sum of the numbers is 5. Find the numbers.

Try It 11.77

The difference of the squares of two numbers is −20.−20. The sum of the numbers is 10. Find the numbers.

Try It 11.78

The difference of the squares of two numbers is 35. The sum of the numbers is −1.−1. Find the numbers.

Example 11.40

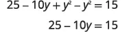
Myra purchased a small 25” TV for her kitchen. The size of a TV is measured on the diagonal of the screen. The screen also has an area of 300 square inches. What are the length and width of the TV screen?

Try It 11.79

Edgar purchased a small 20” TV for his garage. The size of a TV is measured on the diagonal of the screen. The screen also has an area of 192 square inches. What are the length and width of the TV screen?

Try It 11.80

The Harper family purchased a small microwave for their family room. The diagonal of the door measures 15 inches. The door also has an area of 108 square inches. What are the length and width of the microwave door?

Section 11.5 Exercises

Practice Makes Perfect

Solve a System of Nonlinear Equations Using Graphing

In the following exercises, solve the system of equations by using graphing.

188.

{ y = 2 x + 2 y = x 2 + 2 { y = 2 x + 2 y = x 2 + 2

189.

{ y = 6 x 4 y = 2 x 2 { y = 6 x 4 y = 2 x 2

190.

{ x + y = 2 x = y 2 { x + y = 2 x = y 2

191.

{ x y = −2 x = y 2 { x y = −2 x = y 2

192.

{ y = 3 2 x + 3 y = x 2 + 2 { y = 3 2 x + 3 y = x 2 + 2

193.

{ y = x 1 y = x 2 + 1 { y = x 1 y = x 2 + 1

194.

{ x = −2 x 2 + y 2 = 4 { x = −2 x 2 + y 2 = 4

195.

{ y = −4 x 2 + y 2 = 16 { y = −4 x 2 + y 2 = 16

196.

{ x = 2 ( x + 2 ) 2 + ( y + 3 ) 2 = 16 { x = 2 ( x + 2 ) 2 + ( y + 3 ) 2 = 16

197.

{ y = −1 ( x 2 ) 2 + ( y 4 ) 2 = 25 { y = −1 ( x 2 ) 2 + ( y 4 ) 2 = 25

198.

{ y = −2 x + 4 y = x + 1 { y = −2 x + 4 y = x + 1

199.

{ y = 1 2 x + 2 y = x 2 { y = 1 2 x + 2 y = x 2

Solve a System of Nonlinear Equations Using Substitution

In the following exercises, solve the system of equations by using substitution.

200.

{ x 2 + 4 y 2 = 4 y = 1 2 x 1 { x 2 + 4 y 2 = 4 y = 1 2 x 1

201.

{ 9 x 2 + y 2 = 9 y = 3 x + 3 { 9 x 2 + y 2 = 9 y = 3 x + 3

202.

{ 9 x 2 + y 2 = 9 y = x + 3 { 9 x 2 + y 2 = 9 y = x + 3

203.

{ 9 x 2 + 4 y 2 = 36 x = 2 { 9 x 2 + 4 y 2 = 36 x = 2

204.

{ 4 x 2 + y 2 = 4 y = 4 { 4 x 2 + y 2 = 4 y = 4

205.

{ x 2 + y 2 = 169 x = 12 { x 2 + y 2 = 169 x = 12

206.

{ 3 x 2 y = 0 y = 2 x 1 { 3 x 2 y = 0 y = 2 x 1

207.

{ 2 y 2 x = 0 y = x + 1 { 2 y 2 x = 0 y = x + 1

208.

{ y = x 2 + 3 y = x + 3 { y = x 2 + 3 y = x + 3

209.

{ y = x 2 4 y = x 4 { y = x 2 4 y = x 4

210.

{ x 2 + y 2 = 25 x y = 1 { x 2 + y 2 = 25 x y = 1

211.

{ x 2 + y 2 = 25 2 x + y = 10 { x 2 + y 2 = 25 2 x + y = 10

Solve a System of Nonlinear Equations Using Elimination

In the following exercises, solve the system of equations by using elimination.

212.

{ x 2 + y 2 = 16 x 2 2 y = 8 { x 2 + y 2 = 16 x 2 2 y = 8

213.

{ x 2 + y 2 = 16 x 2 y = 4 { x 2 + y 2 = 16 x 2 y = 4

214.

{ x 2 + y 2 = 4 x 2 + 2 y = 1 { x 2 + y 2 = 4 x 2 + 2 y = 1

215.

{ x 2 + y 2 = 4 x 2 y = 2 { x 2 + y 2 = 4 x 2 y = 2

216.

{ x 2 + y 2 = 9 x 2 y = 3 { x 2 + y 2 = 9 x 2 y = 3

217.

{ x 2 + y 2 = 4 y 2 x = 2 { x 2 + y 2 = 4 y 2 x = 2

218.

{ x 2 + y 2 = 25 2 x 2 3 y 2 = 5 { x 2 + y 2 = 25 2 x 2 3 y 2 = 5

219.

{ x 2 + y 2 = 20 x 2 y 2 = −12 { x 2 + y 2 = 20 x 2 y 2 = −12

220.

{ x 2 + y 2 = 13 x 2 y 2 = 5 { x 2 + y 2 = 13 x 2 y 2 = 5

221.

{ x 2 + y 2 = 16 x 2 y 2 = 16 { x 2 + y 2 = 16 x 2 y 2 = 16

222.

{ 4 x 2 + 9 y 2 = 36 2 x 2 9 y 2 = 18 { 4 x 2 + 9 y 2 = 36 2 x 2 9 y 2 = 18

223.

{ x 2 y 2 = 3 2 x 2 + y 2 = 6 { x 2 y 2 = 3 2 x 2 + y 2 = 6

224.

{ 4 x 2 y 2 = 4 4 x 2 + y 2 = 4 { 4 x 2 y 2 = 4 4 x 2 + y 2 = 4

225.

{ x 2 y 2 = −5 3 x 2 + 2 y 2 = 30 { x 2 y 2 = −5 3 x 2 + 2 y 2 = 30

226.

{ x 2 y 2 = 1 x 2 2 y = 4 { x 2 y 2 = 1 x 2 2 y = 4

227.

{ 2 x 2 + y 2 = 11 x 2 + 3 y 2 = 28 { 2 x 2 + y 2 = 11 x 2 + 3 y 2 = 28

Use a System of Nonlinear Equations to Solve Applications

In the following exercises, solve the problem using a system of equations.

228.

The sum of two numbers is −6−6 and the product is 8. Find the numbers.

229.

The sum of two numbers is 11 and the product is −42.−42. Find the numbers.

230.

The sum of the squares of two numbers is 65. The difference of the number is 3. Find the numbers.

231.

The sum of the squares of two numbers is 113. The difference of the number is 1. Find the numbers.

232.

The difference of the squares of two numbers is 15. The difference of twice the square of the first number and the square of the second number is 30. Find the numbers.

233.

The difference of the squares of two numbers is 20. The difference of the square of the first number and twice the square of the second number is 4. Find the numbers.

234.

The perimeter of a rectangle is 32 inches and its area is 63 square inches. Find the length and width of the rectangle.

235.

The perimeter of a rectangle is 52 cm and its area is 165 cm2.cm2. Find the length and width of the rectangle.

236.

Dion purchased a new microwave. The diagonal of the door measures 17 inches. The door also has an area of 120 square inches. What are the length and width of the microwave door?

237.

Jules purchased a microwave for his kitchen. The diagonal of the front of the microwave measures 26 inches. The front also has an area of 240 square inches. What are the length and width of the microwave?

238.

Roman found a widescreen TV on sale, but isn’t sure if it will fit his entertainment center. The TV is 60”. The size of a TV is measured on the diagonal of the screen and a widescreen has a length that is larger than the width. The screen also has an area of 1728 square inches. His entertainment center has an insert for the TV with a length of 50 inches and width of 40 inches. What are the length and width of the TV screen and will it fit Roman’s entertainment center?

239.

Donnette found a widescreen TV at a garage sale, but isn’t sure if it will fit her entertainment center. The TV is 50”. The size of a TV is measured on the diagonal of the screen and a widescreen has a length that is larger than the width. The screen also has an area of 1200 square inches. Her entertainment center has an insert for the TV with a length of 38 inches and width of 27 inches. What are the length and width of the TV screen and will it fit Donnette’s entertainment center?

Writing Exercises

240.

In your own words, explain the advantages and disadvantages of solving a system of equations by graphing.

241.

Explain in your own words how to solve a system of equations using substitution.

242.

Explain in your own words how to solve a system of equations using elimination.

243.

A circle and a parabola can intersect in ways that would result in 0, 1, 2, 3, or 4 solutions. Draw a sketch of each of the possibilities.

Self Check

After completing the exercises, use this checklist to evaluate your mastery of the objectives of this section.

This table has four columns and five rows. The first row is a header and it labels each column, “I can…”, “Confidently,” “With some help,” and “No-I don’t get it!” In row 2, the I can was solve a system of nonlinear equations using graphing. In row 3, the I can solve a system of nonlinear equations using substitution. In row 4, the I can was solve a system of a nonlinear equations using the elimination. In row 5, the I can was use a system of nonlinear equations to solve applications.

After looking at the checklist, do you think you are well-prepared for the next section? Why or why not?

Citation/Attribution

This book may not be used in the training of large language models or otherwise be ingested into large language models or generative AI offerings without OpenStax's permission.

Want to cite, share, or modify this book? This book uses the Creative Commons Attribution License and you must attribute OpenStax.

Attribution information
  • If you are redistributing all or part of this book in a print format, then you must include on every physical page the following attribution:

    Access for free at https://openstax.org/books/intermediate-algebra/pages/1-introduction

  • If you are redistributing all or part of this book in a digital format, then you must include on every digital page view the following attribution:

    Access for free at https://openstax.org/books/intermediate-algebra/pages/1-introduction

Citation information

© Feb 9, 2022 OpenStax. Textbook content produced by OpenStax is licensed under a Creative Commons Attribution License . The OpenStax name, OpenStax logo, OpenStax book covers, OpenStax CNX name, and OpenStax CNX logo are not subject to the Creative Commons license and may not be reproduced without the prior and express written consent of Rice University.