Skip to ContentGo to accessibility pageKeyboard shortcuts menu
OpenStax Logo
Intermediate Algebra 2e

4.1 Solve Systems of Linear Equations with Two Variables

Intermediate Algebra 2e4.1 Solve Systems of Linear Equations with Two Variables
Search for key terms or text.

Learning Objectives

By the end of this section, you will be able to:

  • Determine whether an ordered pair is a solution of a system of equations
  • Solve a system of linear equations by graphing
  • Solve a system of equations by substitution
  • Solve a system of equations by elimination
  • Choose the most convenient method to solve a system of linear equations

Be Prepared 4.1

Before you get started, take this readiness quiz.

For the equation y=23x4,y=23x4,
Is (6,0)(6,0) a solution? Is (−3,−2)(−3,−2) a solution?
If you missed this problem, review Example 3.2.

Be Prepared 4.2

Find the slope and y-intercept of the line 3xy=12.3xy=12.
If you missed this problem, review Example 3.16.

Be Prepared 4.3

Find the x- and y-intercepts of the line 2x3y=12.2x3y=12.
If you missed this problem, review Example 3.8.

Determine Whether an Ordered Pair is a Solution of a System of Equations

In Solving Linear Equations, we learned how to solve linear equations with one variable. Now we will work with two or more linear equations grouped together, which is known as a system of linear equations.

System of Linear Equations

When two or more linear equations are grouped together, they form a system of linear equations.

In this section, we will focus our work on systems of two linear equations in two unknowns. We will solve larger systems of equations later in this chapter.

An example of a system of two linear equations is shown below. We use a brace to show the two equations are grouped together to form a system of equations.

{2x+y=7x2y=6{2x+y=7x2y=6

A linear equation in two variables, such as 2x+y=7,2x+y=7, has an infinite number of solutions. Its graph is a line. Remember, every point on the line is a solution to the equation and every solution to the equation is a point on the line.

To solve a system of two linear equations, we want to find the values of the variables that are solutions to both equations. In other words, we are looking for the ordered pairs (x,y)(x,y) that make both equations true. These are called the solutions of a system of equations.

Solutions of a System of Equations

The solutions of a system of equations are the values of the variables that make all the equations true. A solution of a system of two linear equations is represented by an ordered pair (x,y).(x,y).

To determine if an ordered pair is a solution to a system of two equations, we substitute the values of the variables into each equation. If the ordered pair makes both equations true, it is a solution to the system.

Example 4.1

Determine whether the ordered pair is a solution to the system {xy=−12xy=−5.{xy=−12xy=−5.

(−2,−1)(−2,−1) (−4,−3)(−4,−3)

Try It 4.1

Determine whether the ordered pair is a solution to the system {3x+y=0x+2y=−5.{3x+y=0x+2y=−5.

(1,−3)(1,−3) (0,0)(0,0)

Try It 4.2

Determine whether the ordered pair is a solution to the system {x3y=−83xy=4.{x3y=−83xy=4.

(2,−2)(2,−2) (−2,2)(−2,2)

Solve a System of Linear Equations by Graphing

In this section, we will use three methods to solve a system of linear equations. The first method we’ll use is graphing.

The graph of a linear equation is a line. Each point on the line is a solution to the equation. For a system of two equations, we will graph two lines. Then we can see all the points that are solutions to each equation. And, by finding what the lines have in common, we’ll find the solution to the system.

Most linear equations in one variable have one solution, but we saw that some equations, called contradictions, have no solutions and for other equations, called identities, all numbers are solutions.

Similarly, when we solve a system of two linear equations represented by a graph of two lines in the same plane, there are three possible cases, as shown.

Figure shows three graphs. In the first, the lines intersect at point 3, minus 1. The intersecting lines have one point in common. There is one solution to the system. In the second graph, the lines are parallel. Parallel lines have no points in common. There is no solution to the system. The third graph has only one line. Here, both equations give the same line. Because we have only one line, there are infinite many solutions.
Figure 4.2

Each time we demonstrate a new method, we will use it on the same system of linear equations. At the end of the section you’ll decide which method was the most convenient way to solve this system.

Example 4.2

How to Solve a System of Equations by Graphing

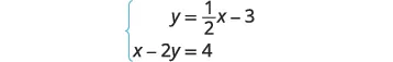
Solve the system by graphing {2x+y=7x2y=6.{2x+y=7x2y=6.

Try It 4.3

Solve the system by graphing: {x3y=−3x+y=5.{x3y=−3x+y=5.

Try It 4.4

Solve the system by graphing: {x+y=13x+2y=12.{x+y=13x+2y=12.

The steps to use to solve a system of linear equations by graphing are shown here.

How To

Solve a system of linear equations by graphing.

  1. Step 1. Graph the first equation.
  2. Step 2. Graph the second equation on the same rectangular coordinate system.
  3. Step 3. Determine whether the lines intersect, are parallel, or are the same line.
  4. Step 4.
    Identify the solution to the system.
    • If the lines intersect, identify the point of intersection. This is the solution to the system.
    • If the lines are parallel, the system has no solution.
    • If the lines are the same, the system has an infinite number of solutions.
  5. Step 5. Check the solution in both equations.

In the next example, we’ll first re-write the equations into slope–intercept form as this will make it easy for us to quickly graph the lines.

Example 4.3

Solve the system by graphing: {3x+y=12x+y=0.{3x+y=12x+y=0.

Try It 4.5

Solve the system by graphing: {x+y=12x+y=10.{x+y=12x+y=10.

Try It 4.6

Solve the system by graphing: {2x+y=6x+y=1.{2x+y=6x+y=1.

In all the systems of linear equations so far, the lines intersected and the solution was one point. In the next two examples, we’ll look at a system of equations that has no solution and at a system of equations that has an infinite number of solutions.

Example 4.4

Solve the system by graphing: {y=12x3x2y=4.{y=12x3x2y=4.

Try It 4.7

Solve the system by graphing: {y=14x+2x+4y=8.{y=14x+2x+4y=8.

Try It 4.8

Solve the system by graphing: {y=3x16x2y=6.{y=3x16x2y=6.

Sometimes the equations in a system represent the same line. Since every point on the line makes both equations true, there are infinitely many ordered pairs that make both equations true. There are infinitely many solutions to the system.

Example 4.5

Solve the system by graphing: {y=2x36x+3y=9.{y=2x36x+3y=9.

Try It 4.9

Solve the system by graphing: { y=3x66x+2y=12.{ y=3x66x+2y=12.

Try It 4.10

Solve the system by graphing: {y=12x42x4y=16.{y=12x42x4y=16.

When we graphed the second line in the last example, we drew it right over the first line. We say the two lines are coincident. Coincident lines have the same slope and same y-intercept.

Coincident Lines

Coincident lines have the same slope and same y-intercept.

The systems of equations in Example 4.2 and Example 4.3 each had two intersecting lines. Each system had one solution.

In Example 4.5, the equations gave coincident lines, and so the system had infinitely many solutions.

The systems in those three examples had at least one solution. A system of equations that has at least one solution is called a consistent system.

A system with parallel lines, like Example 4.4, has no solution. We call a system of equations like this inconsistent. It has no solution.

Consistent and Inconsistent Systems

A consistent system of equations is a system of equations with at least one solution.

An inconsistent system of equations is a system of equations with no solution.

We also categorize the equations in a system of equations by calling the equations independent or dependent. If two equations are independent, they each have their own set of solutions. Intersecting lines and parallel lines are independent.

If two equations are dependent, all the solutions of one equation are also solutions of the other equation. When we graph two dependent equations, we get coincident lines.

Let’s sum this up by looking at the graphs of the three types of systems. See below and Table 4.1.

The figure shows three graphs. The first one has two intersecting line. The second one has two parallel lines. The third one has only one line. This is labeled coincident.
Lines Intersecting Parallel Coincident
Number of solutions 1 point No solution Infinitely many
Consistent/inconsistent Consistent Inconsistent Consistent
Dependent/ independent Independent Independent Dependent
Table 4.1

Example 4.6

Without graphing, determine the number of solutions and then classify the system of equations.

{y=3x16x2y=12{y=3x16x2y=12 {2x+y=3x5y=5{2x+y=3x5y=5

Try It 4.11

Without graphing, determine the number of solutions and then classify the system of equations.

{y=−2x44x+2y=9{y=−2x44x+2y=9 {3x+2y=22x+y=1{3x+2y=22x+y=1

Try It 4.12

Without graphing, determine the number of solutions and then classify the system of equations.

{y=13x5x3y=6{y=13x5x3y=6 {x+4y=12x+y=3{x+4y=12x+y=3

Solving systems of linear equations by graphing is a good way to visualize the types of solutions that may result. However, there are many cases where solving a system by graphing is inconvenient or imprecise. If the graphs extend beyond the small grid with x and y both between −10−10 and 10, graphing the lines may be cumbersome. And if the solutions to the system are not integers, it can be hard to read their values precisely from a graph.

Solve a System of Equations by Substitution

We will now solve systems of linear equations by the substitution method.

We will use the same system we used first for graphing.

{2x+y=7x2y=6{2x+y=7x2y=6

We will first solve one of the equations for either x or y. We can choose either equation and solve for either variable—but we’ll try to make a choice that will keep the work easy.

Then we substitute that expression into the other equation. The result is an equation with just one variable—and we know how to solve those!

After we find the value of one variable, we will substitute that value into one of the original equations and solve for the other variable. Finally, we check our solution and make sure it makes both equations true.

Example 4.7

How to Solve a System of Equations by Substitution

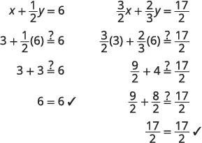
Solve the system by substitution: {2x+y=7x2y=6.{2x+y=7x2y=6.

Try It 4.13

Solve the system by substitution: {2x+y=−11x+3y=9.{2x+y=−11x+3y=9.

Try It 4.14

Solve the system by substitution: {2x+y=−14x+3y=3.{2x+y=−14x+3y=3.

How To

Solve a system of equations by substitution.

  1. Step 1. Solve one of the equations for either variable.
  2. Step 2. Substitute the expression from Step 1 into the other equation.
  3. Step 3. Solve the resulting equation.
  4. Step 4. Substitute the solution in Step 3 into either of the original equations to find the other variable.
  5. Step 5. Write the solution as an ordered pair.
  6. Step 6. Check that the ordered pair is a solution to both original equations.

Be very careful with the signs in the next example.

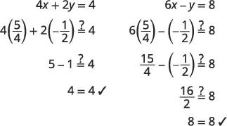
Example 4.8

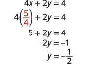
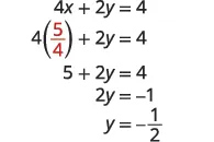
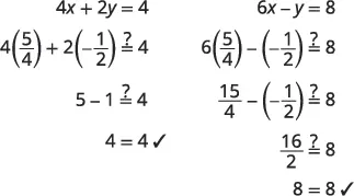
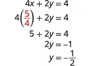
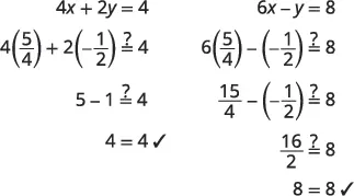
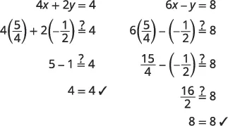
Solve the system by substitution: {4x+2y=46xy=8.{4x+2y=46xy=8.

Try It 4.15

Solve the system by substitution: {x4y=−43x+4y=0.{x4y=−43x+4y=0.

Try It 4.16

Solve the system by substitution: {4xy=02x3y=5.{4xy=02x3y=5.

Solve a System of Equations by Elimination

We have solved systems of linear equations by graphing and by substitution. Graphing works well when the variable coefficients are small and the solution has integer values. Substitution works well when we can easily solve one equation for one of the variables and not have too many fractions in the resulting expression.

The third method of solving systems of linear equations is called the Elimination Method. When we solved a system by substitution, we started with two equations and two variables and reduced it to one equation with one variable. This is what we’ll do with the elimination method, too, but we’ll have a different way to get there.

The Elimination Method is based on the Addition Property of Equality. The Addition Property of Equality says that when you add the same quantity to both sides of an equation, you still have equality. We will extend the Addition Property of Equality to say that when you add equal quantities to both sides of an equation, the results are equal.

For any expressions a, b, c, and d.

ifa=bandc=dthena+c=b+d.ifa=bandc=dthena+c=b+d.

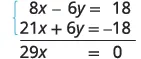
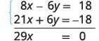
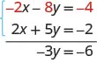
To solve a system of equations by elimination, we start with both equations in standard form. Then we decide which variable will be easiest to eliminate. How do we decide? We want to have the coefficients of one variable be opposites, so that we can add the equations together and eliminate that variable.

Notice how that works when we add these two equations together:

{3x+y=52xy=0—————5x=5{3x+y=52xy=0—————5x=5

The y’s add to zero and we have one equation with one variable.

Let’s try another one:

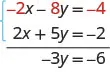
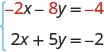
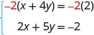
{x+4y=22x+5y=−2{x+4y=22x+5y=−2

This time we don’t see a variable that can be immediately eliminated if we add the equations.

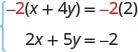
But if we multiply the first equation by −2,−2, we will make the coefficients of x opposites. We must multiply every term on both sides of the equation by −2.−2.

Minus 2 open parentheses x plus 4y close parentheses is minus 2 times 2. And, 2 x plus 5y is minus 2.

Then rewrite the system of equations.

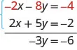
Minus 2 x minus 8y is minus 4 and 2 x plus 5y is minus 2.

Now we see that the coefficients of the x terms are opposites, so x will be eliminated when we add these two equations.

Minus 2 x minus 8y is minus 4 and 2 x plus 5y is minus 2. Adding these, we get minus 3y equals minus 6.

Once we get an equation with just one variable, we solve it. Then we substitute that value into one of the original equations to solve for the remaining variable. And, as always, we check our answer to make sure it is a solution to both of the original equations.

Now we’ll see how to use elimination to solve the same system of equations we solved by graphing and by substitution.

Example 4.9

How to Solve a System of Equations by Elimination

Solve the system by elimination: {2x+y=7x2y=6.{2x+y=7x2y=6.

Try It 4.17

Solve the system by elimination: {3x+y=52x3y=7.{3x+y=52x3y=7.

Try It 4.18

Solve the system by elimination: { 4x+y=52x2y=2.{ 4x+y=52x2y=2.

The steps are listed here for easy reference.

How To

Solve a system of equations by elimination.

  1. Step 1. Write both equations in standard form. If any coefficients are fractions, clear them.
  2. Step 2.
    Make the coefficients of one variable opposites.
    • Decide which variable you will eliminate.
    • Multiply one or both equations so that the coefficients of that variable are opposites.
  3. Step 3. Add the equations resulting from Step 2 to eliminate one variable.
  4. Step 4. Solve for the remaining variable.
  5. Step 5. Substitute the solution from Step 4 into one of the original equations. Then solve for the other variable.
  6. Step 6. Write the solution as an ordered pair.
  7. Step 7. Check that the ordered pair is a solution to both original equations.

Now we’ll do an example where we need to multiply both equations by constants in order to make the coefficients of one variable opposites.

Example 4.10

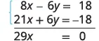
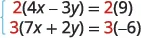
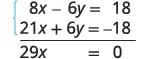
Solve the system by elimination: {4x3y=97x+2y=−6.{4x3y=97x+2y=−6.

Try It 4.19

Solve the system by elimination: { 3x4y=95x+3y=14.{ 3x4y=95x+3y=14.

Try It 4.20

Solve each system by elimination: { 7x+8y=43x5y=27.{ 7x+8y=43x5y=27.

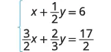
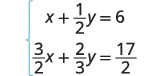
When the system of equations contains fractions, we will first clear the fractions by multiplying each equation by the LCD of all the fractions in the equation.

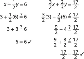
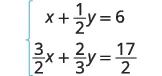
Example 4.11

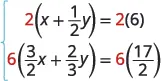
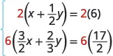
Solve the system by elimination: {x+12y=632x+23y=172.{x+12y=632x+23y=172.

Try It 4.21

Solve each system by elimination: { 13x12y=134xy=52 .{ 13x12y=134xy=52 .

Try It 4.22

Solve each system by elimination: { x+35y=15 12x23y=56 .{ x+35y=15 12x23y=56 .

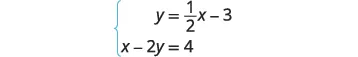
When we solved the system by graphing, we saw that not all systems of linear equations have a single ordered pair as a solution. When the two equations were really the same line, there were infinitely many solutions. We called that a consistent system. When the two equations described parallel lines, there was no solution. We called that an inconsistent system.

The same is true using substitution or elimination. If the equation at the end of substitution or elimination is a true statement, we have a consistent but dependent system and the system of equations has infinitely many solutions. If the equation at the end of substitution or elimination is a false statement, we have an inconsistent system and the system of equations has no solution.

Example 4.12

Solve the system by elimination: {3x+4y=12y=334x.{3x+4y=12y=334x.

Try It 4.23

Solve the system by elimination: { 5x3y=15y=5+53x.{ 5x3y=15y=5+53x.

Try It 4.24

Solve the system by elimination: { x+2y=6y=12x+3.{ x+2y=6y=12x+3.

Choose the Most Convenient Method to Solve a System of Linear Equations

When you solve a system of linear equations in in an application, you will not be told which method to use. You will need to make that decision yourself. So you’ll want to choose the method that is easiest to do and minimizes your chance of making mistakes.

Choose the Most Convenient Method to Solve a System of Linear EquationsGraphing————Substitution—————Elimination—————Use when you need aUse when one equation isUse when the equations are picture of the situation.already solved or can bein standard form. easily solved for onevariable.Choose the Most Convenient Method to Solve a System of Linear EquationsGraphing————Substitution—————Elimination—————Use when you need aUse when one equation isUse when the equations are picture of the situation.already solved or can bein standard form. easily solved for onevariable.

Example 4.13

For each system of linear equations, decide whether it would be more convenient to solve it by substitution or elimination. Explain your answer.

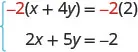
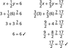
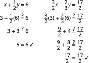
{3x+8y=407x4y=−32{3x+8y=407x4y=−32 {5x+6y=12y=23x1{5x+6y=12y=23x1

Try It 4.25

For each system of linear equations decide whether it would be more convenient to solve it by substitution or elimination. Explain your answer.

{4x5y=−323x+2y=−1{4x5y=−323x+2y=−1 {x=2y13x5y=−7{x=2y13x5y=−7

Try It 4.26

For each system of linear equations decide whether it would be more convenient to solve it by substitution or elimination. Explain your answer.

{y=2x13x4y=6{y=2x13x4y=6 {6x2y=123x+7y=−13{6x2y=123x+7y=−13

Section 4.1 Exercises

Practice Makes Perfect

Determine Whether an Ordered Pair is a Solution of a System of Equations

In the following exercises, determine if the following points are solutions to the given system of equations.

1.

{ 2 x 6 y = 0 3 x 4 y = 5 { 2 x 6 y = 0 3 x 4 y = 5

(3,1)(3,1) (−3,4)(−3,4)

2.

{ 3 x + y = 8 x + 2 y = −9 { 3 x + y = 8 x + 2 y = −9

(−5,−7)(−5,−7) (−5,7)(−5,7)

3.

{ x + y = 2 y = 3 4 x { x + y = 2 y = 3 4 x

(87,67)(87,67) (1,34)(1,34)

4.

{2x+3y=6y=23x+2{2x+3y=6y=23x+2
(−6,2)(−6,2) (−3,4)(−3,4)

Solve a System of Linear Equations by Graphing

In the following exercises, solve the following systems of equations by graphing.

5.

{ 3 x + y = −3 2 x + 3 y = 5 { 3 x + y = −3 2 x + 3 y = 5

6.

{ x + y = 2 2 x + y = −4 { x + y = 2 2 x + y = −4

7.

{ y = x + 2 y = −2 x + 2 { y = x + 2 y = −2 x + 2

8.

{ y = x 2 y = −3 x + 2 { y = x 2 y = −3 x + 2

9.

{ y = 3 2 x + 1 y = 1 2 x + 5 { y = 3 2 x + 1 y = 1 2 x + 5

10.

{ y = 2 3 x 2 y = 1 3 x 5 { y = 2 3 x 2 y = 1 3 x 5

11.

{ x + y = −4 x + 2 y = −2 { x + y = −4 x + 2 y = −2

12.

{ x + 3 y = 3 x + 3 y = 3 { x + 3 y = 3 x + 3 y = 3

13.

{ 2 x + 3 y = 3 x + 3 y = 12 { 2 x + 3 y = 3 x + 3 y = 12

14.

{ 2 x y = 4 2 x + 3 y = 12 { 2 x y = 4 2 x + 3 y = 12

15.

{ x + 3 y = −6 y = 4 3 x + 4 { x + 3 y = −6 y = 4 3 x + 4

16.

{ x + 2 y = −6 y = 1 2 x 1 { x + 2 y = −6 y = 1 2 x 1

17.

{ 2 x + 4 y = 4 y = 1 2 x { 2 x + 4 y = 4 y = 1 2 x

18.

{ 3 x + 5 y = 10 y = 3 5 x + 1 { 3 x + 5 y = 10 y = 3 5 x + 1

19.

{ 4 x 3 y = 8 8 x 6 y = 14 { 4 x 3 y = 8 8 x 6 y = 14

20.

{ x + 3 y = 4 2 x 6 y = 3 { x + 3 y = 4 2 x 6 y = 3

21.

{ x = −3 y + 4 2 x + 6 y = 8 { x = −3 y + 4 2 x + 6 y = 8

22.

{ 4 x = 3 y + 7 8 x 6 y = 14 { 4 x = 3 y + 7 8 x 6 y = 14

23.

{ 2 x + y = 6 8 x 4 y = −24 { 2 x + y = 6 8 x 4 y = −24

24.

{ 5 x + 2 y = 7 10 x 4 y = −14 { 5 x + 2 y = 7 10 x 4 y = −14

Without graphing, determine the number of solutions and then classify the system of equations.

25.

{ y = 2 3 x + 1 2 x + 3 y = 5 { y = 2 3 x + 1 2 x + 3 y = 5

26.

{ y = 3 2 x + 1 2 x 3 y = 7 { y = 3 2 x + 1 2 x 3 y = 7

27.

{ 5 x + 3 y = 4 2 x 3 y = 5 { 5 x + 3 y = 4 2 x 3 y = 5

28.

{ y = 1 2 x + 5 x + 2 y = 10 { y = 1 2 x + 5 x + 2 y = 10

29.

{ 5 x 2 y = 10 y = 5 2 x 5 { 5 x 2 y = 10 y = 5 2 x 5

Solve a System of Equations by Substitution

In the following exercises, solve the systems of equations by substitution.

30.

{ 2 x + y = −4 3 x 2 y = −6 { 2 x + y = −4 3 x 2 y = −6

31.

{ 2 x + y = −2 3 x y = 7 { 2 x + y = −2 3 x y = 7

32.

{ x 2 y = −5 2 x 3 y = −4 { x 2 y = −5 2 x 3 y = −4

33.

{ x 3 y = −9 2 x + 5 y = 4 { x 3 y = −9 2 x + 5 y = 4

34.

{ 5 x 2 y = −6 y = 3 x + 3 { 5 x 2 y = −6 y = 3 x + 3

35.

{ 2 x + 2 y = 6 y = −3 x + 1 { 2 x + 2 y = 6 y = −3 x + 1

36.

{ 2 x + 5 y = 1 y = 1 3 x 2 { 2 x + 5 y = 1 y = 1 3 x 2

37.

{ 3 x + 4 y = 1 y = 2 5 x + 2 { 3 x + 4 y = 1 y = 2 5 x + 2

38.

{ 2 x + y = 5 x 2 y = −15 { 2 x + y = 5 x 2 y = −15

39.

{ 4 x + y = 10 x 2 y = −20 { 4 x + y = 10 x 2 y = −20

40.

{ y = −2 x 1 y = 1 3 x + 4 { y = −2 x 1 y = 1 3 x + 4

41.

{ y = x 6 y = 3 2 x + 4 { y = x 6 y = 3 2 x + 4

42.

{ x = 2 y 4 x 8 y = 0 { x = 2 y 4 x 8 y = 0

43.

{ 2 x 16 y = 8 x 8 y = −4 { 2 x 16 y = 8 x 8 y = −4

44.

{ y = 7 8 x + 4 7 x + 8 y = 6 { y = 7 8 x + 4 7 x + 8 y = 6

45.

{ y = 2 3 x + 5 2 x + 3 y = 11 { y = 2 3 x + 5 2 x + 3 y = 11

Solve a System of Equations by Elimination

In the following exercises, solve the systems of equations by elimination.

46.

{ 5 x + 2 y = 2 3 x y = 0 { 5 x + 2 y = 2 3 x y = 0

47.

{ 6 x 5 y = −1 2 x + y = 13 { 6 x 5 y = −1 2 x + y = 13

48.

{ 2 x 5 y = 7 3 x y = 17 { 2 x 5 y = 7 3 x y = 17

49.

{ 5 x 3 y = −1 2 x y = 2 { 5 x 3 y = −1 2 x y = 2

50.

{ 3 x 5 y = −9 5 x + 2 y = 16 { 3 x 5 y = −9 5 x + 2 y = 16

51.

{ 4 x 3 y = 3 2 x + 5 y = −31 { 4 x 3 y = 3 2 x + 5 y = −31

52.

{ 3 x + 8 y = −3 2 x + 5 y = −3 { 3 x + 8 y = −3 2 x + 5 y = −3

53.

{ 11 x + 9 y = −5 7 x + 5 y = −1 { 11 x + 9 y = −5 7 x + 5 y = −1

54.

{ 3 x + 8 y = 67 5 x + 3 y = 60 { 3 x + 8 y = 67 5 x + 3 y = 60

55.

{ 2 x + 9 y = −4 3 x + 13 y = −7 { 2 x + 9 y = −4 3 x + 13 y = −7

56.

{ 1 3 x y = −3 x + 5 2 y = 2 { 1 3 x y = −3 x + 5 2 y = 2

57.

{ x + 1 2 y = 3 2 1 5 x 1 5 y = 3 { x + 1 2 y = 3 2 1 5 x 1 5 y = 3

58.

{ x + 1 3 y = −1 1 3 x + 1 2 y = 1 { x + 1 3 y = −1 1 3 x + 1 2 y = 1

59.

{ 1 3 x y = −3 2 3 x + 5 2 y = 3 { 1 3 x y = −3 2 3 x + 5 2 y = 3

60.

{ 2 x + y = 3 6 x + 3 y = 9 { 2 x + y = 3 6 x + 3 y = 9

61.

{ x 4 y = −1 3 x + 12 y = 3 { x 4 y = −1 3 x + 12 y = 3

62.

{ 3 x y = 8 6 x + 2 y = −16 { 3 x y = 8 6 x + 2 y = −16

63.

{ 4 x + 3 y = 2 20 x + 15 y = 10 { 4 x + 3 y = 2 20 x + 15 y = 10

Choose the Most Convenient Method to Solve a System of Linear Equations

In the following exercises, decide whether it would be more convenient to solve the system of equations by substitution or elimination.

64.


{8x15y=−326x+3y=−5{8x15y=−326x+3y=−5
{x=4y34x2y=−6{x=4y34x2y=−6

65.


{y=7x53x2y=16{y=7x53x2y=16
{12x5y=−423x+7y=−15{12x5y=−423x+7y=−15

66.


{y=4x+95x2y=−21{y=4x+95x2y=−21
{9x4y=243x+5y=−14{9x4y=243x+5y=−14

67.


{14x15y=−307x+2y=10{14x15y=−307x+2y=10
{x=9y112x7y=−27{x=9y112x7y=−27

Writing Exercises

68.

In a system of linear equations, the two equations have the same intercepts. Describe the possible solutions to the system.

69.

Solve the system of equations by substitution and explain all your steps in words: {3x+y=12x=y8.{3x+y=12x=y8.

70.

Solve the system of equations by elimination and explain all your steps in words: {5x+4y=102x=3y+27.{5x+4y=102x=3y+27.

71.

Solve the system of equations {x+y=10xy=6{x+y=10xy=6

by graphing by substitution
Which method do you prefer? Why?

Self Check

After completing the exercises, use this checklist to evaluate your mastery of the objectives of this section.

This table has 4 columns 5 rows and a header row. The header row labels each column: I can, confidently, with some help and no, I don’t get it. The first column has the following statements: determine whether an ordered pair is a solution of a system of equations, solve a system of linear equations by graphing, solve a system of equations by substitution, solve a system of equations by elimination, choose the most convenient method to solve a system of linear equations. The remaining columns are blank.

If most of your checks were:

…confidently. Congratulations! You have achieved the objectives in this section. Reflect on the study skills you used so that you can continue to use them. What did you do to become confident of your ability to do these things? Be specific.

…with some help. This must be addressed quickly because topics you do not master become potholes in your road to success. In math every topic builds upon previous work. It is important to make sure you have a strong foundation before you move on. Whom can you ask for help?Your fellow classmates and instructor are good resources. Is there a place on campus where math tutors are available? Can your study skills be improved?

…no - I don’t get it! This is a warning sign and you must not ignore it. You should get help right away or you will quickly be overwhelmed. See your instructor as soon as you can to discuss your situation. Together you can come up with a plan to get you the help you need.

Citation/Attribution

This book may not be used in the training of large language models or otherwise be ingested into large language models or generative AI offerings without OpenStax's permission.

Want to cite, share, or modify this book? This book uses the Creative Commons Attribution License and you must attribute OpenStax.

Attribution information
  • If you are redistributing all or part of this book in a print format, then you must include on every physical page the following attribution:

    Access for free at https://openstax.org/books/intermediate-algebra-2e/pages/1-introduction

  • If you are redistributing all or part of this book in a digital format, then you must include on every digital page view the following attribution:

    Access for free at https://openstax.org/books/intermediate-algebra-2e/pages/1-introduction

Citation information

© Jul 8, 2025 OpenStax. Textbook content produced by OpenStax is licensed under a Creative Commons Attribution License . The OpenStax name, OpenStax logo, OpenStax book covers, OpenStax CNX name, and OpenStax CNX logo are not subject to the Creative Commons license and may not be reproduced without the prior and express written consent of Rice University.