Skip to ContentGo to accessibility pageKeyboard shortcuts menu
OpenStax Logo
Search for key terms or text.

Learning Objectives

By the end of this section, you will be able to:

  • Graph a hyperbola with center at (0,0)(0,0)
  • Graph a hyperbola with center at (h,k)(h,k)
  • Identify conic sections by their equations

Be Prepared 11.10

Before you get started, take this readiness quiz.

Solve: x2=12.x2=12.
If you missed this problem, review Example 9.1.

Be Prepared 11.11

Expand: (x4)2.(x4)2.
If you missed this problem, review Example 5.32.

Be Prepared 11.12

Graph y=23x.y=23x.
If you missed this problem, review Example 3.4.

Graph a Hyperbola with Center at (0, 0)

The last conic section we will look at is called a hyperbola. We will see that the equation of a hyperbola looks the same as the equation of an ellipse, except it is a difference rather than a sum. While the equations of an ellipse and a hyperbola are very similar, their graphs are very different.

We define a hyperbola as all points in a plane where the difference of their distances from two fixed points is constant. Each of the fixed points is called a focus of the hyperbola.

Hyperbola

A hyperbola is all points in a plane where the difference of their distances from two fixed points is constant. Each of the fixed points is called a focus of the hyperbola.

The figure shows a double napped right circular cone sliced by a plane that is parallel to the vertical axis of the cone forming a hyperbola. The figure is labeled ‘hyperbola’.

The line through the foci, is called the transverse axis. The two points where the transverse axis intersects the hyperbola are each a vertex of the hyperbola. The midpoint of the segment joining the foci is called the center of the hyperbola. The line perpendicular to the transverse axis that passes through the center is called the conjugate axis. Each piece of the graph is called a branch of the hyperbola.

The figure shows two graphs of a hyperbola. The first graph shows the x-axis and y-axis that both run in the negative and positive directions, but at unlabeled intervals. The center of the hyperbola is the origin. The vertices and foci are shown with points that lie on the transverse axis, which is the x-axis. The branches pass through the vertices and open left and right. The y-axis is the conjugate axis. The second graph shows the x-axis and y-axis that both run in the negative and positive directions, but at unlabeled intervals. The center of the hyperbola is the origin. The vertices and foci lie are shown with points that lie on the transverse axis, which is the y-axis. The branches pass through the vertices and open up and down. The x-axis is the conjugate axis.

Again our goal is to connect the geometry of a conic with algebra. Placing the hyperbola on a rectangular coordinate system gives us that opportunity. In the figure, we placed the hyperbola so the foci ((c,0),(c,0))((c,0),(c,0)) are on the x-axis and the center is the origin.

The figure shows the graph of a hyperbola. The graph shows the x-axis and y-axis that both run in the negative and positive directions, but at unlabeled intervals. The center of the hyperbola is the origin. The foci (negative c, 0) and (c, 0) are marked with a point and lie on the x-axis. The vertices are marked with a point and lie on the x-axis. The branches pass through the vertices and open left and right. The distance from (negative c, 0) to a point on the branch (x, y) is marked d sub 1. The distance from (x, y) on the branch to (c, 0) is marked d sub 2.

The definition states the difference of the distance from the foci to a point (x,y)(x,y) is constant. So |d1d2||d1d2| is a constant that we will call 2a2a so |d1d2|=2a.|d1d2|=2a. We will use the distance formula to lead us to an algebraic formula for an ellipse.

|d1d2|=2aUse the distance formula to findd1,d2|(x(c))2+(y0)2(xc)2+(y0)2|=2aEliminate the radicals.To simplify the equation of the ellipse, weletc2a2=b2.x2a2+y2c2a2=1So, the equation of a hyperbola centered atthe origin in standard form is:x2a2y2b2=1|d1d2|=2aUse the distance formula to findd1,d2|(x(c))2+(y0)2(xc)2+(y0)2|=2aEliminate the radicals.To simplify the equation of the ellipse, weletc2a2=b2.x2a2+y2c2a2=1So, the equation of a hyperbola centered atthe origin in standard form is:x2a2y2b2=1

To graph the hyperbola, it will be helpful to know about the intercepts. We will find the x-intercepts and y-intercepts using the formula.

x-interceptsy-intercepts x2a2y2b2=1x2a2y2b2=1 Lety=0.x2a202b2=1Letx=0.02a2y2b2=1 x2a2=1y2b2=1 x2=a2y2=b2 x=±ay=±b2 Thex-intercepts are(a,0)and(a,0).There are noy-intercepts.x-interceptsy-intercepts x2a2y2b2=1x2a2y2b2=1 Lety=0.x2a202b2=1Letx=0.02a2y2b2=1 x2a2=1y2b2=1 x2=a2y2=b2 x=±ay=±b2 Thex-intercepts are(a,0)and(a,0).There are noy-intercepts.

The a, b values in the equation also help us find the asymptotes of the hyperbola. The asymptotes are intersecting straight lines that the branches of the graph approach but never intersect as the x, y values get larger and larger.

To find the asymptotes, we sketch a rectangle whose sides intersect the x-axis at the vertices (a,0),(a,0), (a,0)(a,0) and intersect the y-axis at (0,b),(0,b), (0,b).(0,b). The lines containing the diagonals of this rectangle are the asymptotes of the hyperbola. The rectangle and asymptotes are not part of the hyperbola, but they help us graph the hyperbola.

The figure shows the graph of a hyperbola. The graph shows the x-axis and y-axis that both run in the negative and positive directions, but at unlabeled intervals. The center of the hyperbola is the origin. The vertices are (negative a, 0) and (a, 0) and are marked with a point and lie on the x-axis. The points (0, b) and (0, negative) lie on the on the y-axis. There is a central rectangle who sides intersect the x-axis at the vertices (negative a, 0) and (a, 0) and intersect the y-axis at (0, b) and (0, negative b). The asymptotes are given by y is equal to b divided by a times x and y is equal to negative b divided by a times x and are drawn as the diagonals of the central rectangle. The branches of the hyperbola pass through the vertices, open left and right, and approach the asymptotes.

The asymptotes pass through the origin and we can evaluate their slope using the rectangle we sketched. They have equations y=baxy=bax and y=bax.y=bax.

There are two equations for hyperbolas, depending whether the transverse axis is vertical or horizontal. We can tell whether the transverse axis is horizontal by looking at the equation. When the equation is in standard form, if the x2-term is positive, the transverse axis is horizontal. When the equation is in standard form, if the y2-term is positive, the transverse axis is vertical.

The second equations could be derived similarly to what we have done. We will summarize the results here.

Standard Form of the Equation a Hyperbola with Center ( 0 , 0 ) ( 0 , 0 )

The standard form of the equation of a hyperbola with center (0,0),(0,0), is

x2a2y2b2=1ory2a2x2b2=1x2a2y2b2=1ory2a2x2b2=1
The figure shows the graph of two hyperbolas. The first graph shows the x-axis and y-axis that both run in the negative and positive directions, but at unlabeled intervals. The center of the hyperbola is the origin. The vertices are (negative a, 0) and (a, 0) and are marked with a point and lie on the x-axis. The points (0, b) and (0, negative) lie on the on the y-axis. There is a central rectangle who sides intersect the x-axis at the vertices (negative a, 0) and (a, 0) and intersect the y-axis at (0, b) and (0, negative b). The asymptotes are given by y is equal to b divided by a times x and y is equal to negative b divided by a times x and are drawn as the diagonals of the central rectangle. The branches of the hyperbola pass through the vertices, open left and right, and approach the asymptotes. The second graph shows the x-axis and y-axis that both run in the negative and positive directions, but at unlabeled intervals. The center of the hyperbola is the origin. The vertices are (0, a) and (0, negative a) and are marked with a point and lie on the y-axis. The points (0, b) and (0, negative) lie on the on the y-axis. There is a central rectangle who sides intersect the y-axis at the vertices (0, a) and (0, negative a) and intersect the y-axis at (negative b, 0) and (b, 0). The branches of the hyperbola pass through the vertices, open up and down, and approach the asymptotes.

Notice that, unlike the equation of an ellipse, the denominator of x2x2 is not always a2a2 and the denominator of y2y2 is not always b2.b2.

Notice that when the x2x2-term is positive, the transverse axis is on the x-axis. When the y2y2-term is positive, the transverse axis is on the y-axis.

Standard Forms of the Equation a Hyperbola with Center (0,0)(0,0)
x2a2y2b2=1x2a2y2b2=1 y2a2x2b2=1y2a2x2b2=1
Orientation Transverse axis on the x-axis.
Opens left and right
Transverse axis on the y-axis.
Opens up and down
Vertices (a,0),(a,0), (a,0)(a,0) (0,a),(0,a), (0,a)(0,a)
x-intercepts (a,0),(a,0), (a,0)(a,0) none
y-intercepts none (0,a),(0,a), (0,a)(0,a)
Rectangle Use (±a,0)(±a,0) (0,±b)(0,±b) Use (0,±a)(0,±a) (±b,0)(±b,0)
asymptotes y=bax,y=bax, y=baxy=bax y=abx,y=abx, y=abxy=abx

We will use these properties to graph hyperbolas.

Example 11.27

How to Graph a Hyperbola with Center (0,0)(0,0)

Graph x225y24=1.x225y24=1.

Try It 11.53

Graph x216y24=1.x216y24=1.

Try It 11.54

Graph x29y216=1.x29y216=1.

We summarize the steps for reference.

How To

Graph a hyperbola centered at (0,0).(0,0).

  1. Step 1. Write the equation in standard form.
  2. Step 2. Determine whether the transverse axis is horizontal or vertical.
  3. Step 3. Find the vertices.
  4. Step 4. Sketch the rectangle centered at the origin intersecting one axis at ±a±a and the other at ±b.±b.
  5. Step 5. Sketch the asymptotes—the lines through the diagonals of the rectangle.
  6. Step 6. Draw the two branches of the hyperbola.

Sometimes the equation for a hyperbola needs to be first placed in standard form before we graph it.

Example 11.28

Graph 4y216x2=64.4y216x2=64.

Try It 11.55

Graph 4y225x2=100.4y225x2=100.

Try It 11.56

Graph 25y29x2=225.25y29x2=225.

Graph a Hyperbola with Center at (h,k)(h,k)

Hyperbolas are not always centered at the origin. When a hyperbola is centered at (h,k)(h,k) the equations changes a bit as reflected in the table.

Standard Forms of the Equation a Hyperbola with Center (h,k)(h,k)
(xh)2a2(yk)2b2=1(xh)2a2(yk)2b2=1 (yk)2a2(xh)2b2=1(yk)2a2(xh)2b2=1
Orientation Transverse axis is horizontal.
Opens left and right
Transverse axis is vertical.
Opens up and down
Center (h,k)(h,k) (h,k)(h,k)
Vertices a units to the left and right of the center a units above and below the center
Rectangle Use a units left/right of center
b units above/ below the center
Use a units above/below the center
b units left/right of center

Example 11.29

How to Graph a Hyperbola with Center (h,k)(h,k)

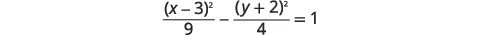
Graph (x1)29(y2)216=1(x1)29(y2)216=1

Try It 11.57

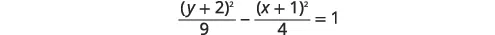
Graph (x3)225(y1)29=1.(x3)225(y1)29=1.

Try It 11.58

Graph (x2)24(y2)29=1.(x2)24(y2)29=1.

We summarize the steps for easy reference.

How To

Graph a hyperbola centered at (h,k).(h,k).

  1. Step 1. Write the equation in standard form.
  2. Step 2. Determine whether the transverse axis is horizontal or vertical.
  3. Step 3. Find the center and a, b.
  4. Step 4. Sketch the rectangle centered at (h,k)(h,k) using a, b.
  5. Step 5. Sketch the asymptotes—the lines through the diagonals of the rectangle. Mark the vertices.
  6. Step 6. Draw the two branches of the hyperbola.

Be careful as you identify the center. The standard equation has xhxh and ykyk with the center as (h,k).(h,k).

Example 11.30

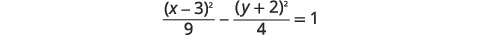
Graph (y+2)29(x+1)24=1.(y+2)29(x+1)24=1.

Try It 11.59

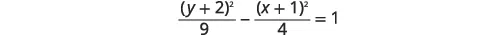
Graph (y+3)216(x+2)29=1.(y+3)216(x+2)29=1.

Try It 11.60

Graph (y+2)29(x+2)29=1.(y+2)29(x+2)29=1.

Again, sometimes we have to put the equation in standard form as our first step.

Example 11.31

Write the equation in standard form and graph 4x29y224x36y36=0.4x29y224x36y36=0.

Try It 11.61

Write the equation in standard form and graph 9x216y2+18x+64y199=0.9x216y2+18x+64y199=0.

Try It 11.62

Write the equation in standard form and graph 16x225y2+96x50y281=0.16x225y2+96x50y281=0.

Identify Conic Sections by their Equations

Now that we have completed our study of the conic sections, we will take a look at the different equations and recognize some ways to identify a conic by its equation. When we are given an equation to graph, it is helpful to identify the conic so we know what next steps to take.

To identify a conic from its equation, it is easier if we put the variable terms on one side of the equation and the constants on the other.

Conic Characteristics of x2-x2- and y2-y2- terms Example
Parabola Either x2x2 OR y2.y2. Only one variable is squared. x=3y22y+1x=3y22y+1
Circle x2-x2- and y2-y2- terms have the same coefficients x2+y2=49x2+y2=49
Ellipse x2-x2- and y2-y2- terms have the same sign, different coefficients 4x2+25y2=1004x2+25y2=100
Hyperbola x2-x2- and y2-y2- terms have different signs, different coefficients 25y24x2=10025y24x2=100

Example 11.32

Identify the graph of each equation as a circle, parabola, ellipse, or hyperbola.

9x2+4y2+56y+160=09x2+4y2+56y+160=0 9x216y2+18x+64y199=09x216y2+18x+64y199=0 x2+y26x8y=0x2+y26x8y=0 y=−2x24x5y=−2x24x5

Try It 11.63

Identify the graph of each equation as a circle, parabola, ellipse, or hyperbola.

x2+y28x6y=0x2+y28x6y=0 4x2+25y2=1004x2+25y2=100 y=6x2+2x1y=6x2+2x1 16y29x2=14416y29x2=144

Try It 11.64

Identify the graph of each equation as a circle, parabola, ellipse, or hyperbola.

16x2+9y2=14416x2+9y2=144 y=2x2+4x+6y=2x2+4x+6 x2+y2+2x+6y+9=0x2+y2+2x+6y+9=0 4x216y2=644x216y2=64

Section 11.4 Exercises

Practice Makes Perfect

Graph a Hyperbola with Center at (0,0)(0,0)

In the following exercises, graph.

147.

x 2 9 y 2 4 = 1 x 2 9 y 2 4 = 1

148.

x 2 25 y 2 9 = 1 x 2 25 y 2 9 = 1

149.

x 2 16 y 2 25 = 1 x 2 16 y 2 25 = 1

150.

x 2 9 y 2 36 = 1 x 2 9 y 2 36 = 1

151.

y 2 25 x 2 4 = 1 y 2 25 x 2 4 = 1

152.

y 2 36 x 2 16 = 1 y 2 36 x 2 16 = 1

153.

16 y 2 9 x 2 = 144 16 y 2 9 x 2 = 144

154.

25 y 2 9 x 2 = 225 25 y 2 9 x 2 = 225

155.

4 y 2 9 x 2 = 36 4 y 2 9 x 2 = 36

156.

16 y 2 25 x 2 = 400 16 y 2 25 x 2 = 400

157.

4 x 2 16 y 2 = 64 4 x 2 16 y 2 = 64

158.

9 x 2 4 y 2 = 36 9 x 2 4 y 2 = 36

Graph a Hyperbola with Center at (h,k)(h,k)

In the following exercises, graph.

159.

( x 1 ) 2 16 ( y 3 ) 2 4 = 1 ( x 1 ) 2 16 ( y 3 ) 2 4 = 1

160.

( x 2 ) 2 4 ( y 3 ) 2 16 = 1 ( x 2 ) 2 4 ( y 3 ) 2 16 = 1

161.

( y 4 ) 2 9 ( x 2 ) 2 25 = 1 ( y 4 ) 2 9 ( x 2 ) 2 25 = 1

162.

( y 1 ) 2 25 ( x 4 ) 2 16 = 1 ( y 1 ) 2 25 ( x 4 ) 2 16 = 1

163.

( y + 4 ) 2 25 ( x + 1 ) 2 36 = 1 ( y + 4 ) 2 25 ( x + 1 ) 2 36 = 1

164.

( y + 1 ) 2 16 ( x + 1 ) 2 4 = 1 ( y + 1 ) 2 16 ( x + 1 ) 2 4 = 1

165.

( y 4 ) 2 16 ( x + 1 ) 2 25 = 1 ( y 4 ) 2 16 ( x + 1 ) 2 25 = 1

166.

( y + 3 ) 2 16 ( x 3 ) 2 36 = 1 ( y + 3 ) 2 16 ( x 3 ) 2 36 = 1

167.

( x 3 ) 2 25 ( y + 2 ) 2 9 = 1 ( x 3 ) 2 25 ( y + 2 ) 2 9 = 1

168.

( x + 2 ) 2 4 ( y 1 ) 2 9 = 1 ( x + 2 ) 2 4 ( y 1 ) 2 9 = 1

In the following exercises, write the equation in standard form and graph.

169.

9 x 2 4 y 2 18 x + 8 y 31 = 0 9 x 2 4 y 2 18 x + 8 y 31 = 0

170.

16 x 2 4 y 2 + 64 x 24 y 36 = 0 16 x 2 4 y 2 + 64 x 24 y 36 = 0

171.

y 2 x 2 4 y + 2 x 6 = 0 y 2 x 2 4 y + 2 x 6 = 0

172.

4 y 2 16 x 2 24 y + 96 x 172 = 0 4 y 2 16 x 2 24 y + 96 x 172 = 0

173.

9 y 2 x 2 + 18 y 4 x 4 = 0 9 y 2 x 2 + 18 y 4 x 4 = 0

Identify the Graph of each Equation as a Circle, Parabola, Ellipse, or Hyperbola

In the following exercises, identify the type of graph.

174.

x=y22y+3x=y22y+3 9y2x2+18y4x4=09y2x2+18y4x4=0 9x2+25y2=2259x2+25y2=225 x2+y24x+10y7=0x2+y24x+10y7=0

175.

x=−2y212y16x=−2y212y16 x2+y2=9x2+y2=9 16x24y2+64x24y36=016x24y2+64x24y36=0 16x2+36y2=57616x2+36y2=576

Mixed Practice

In the following exercises, graph each equation.

176.

( y 3 ) 2 9 ( x + 2 ) 2 16 = 1 ( y 3 ) 2 9 ( x + 2 ) 2 16 = 1

177.

x 2 + y 2 4 x + 10 y 7 = 0 x 2 + y 2 4 x + 10 y 7 = 0

178.

y = ( x 1 ) 2 + 2 y = ( x 1 ) 2 + 2

179.

x 2 9 + y 2 25 = 1 x 2 9 + y 2 25 = 1

180.

( x + 2 ) 2 + ( y 5 ) 2 = 4 ( x + 2 ) 2 + ( y 5 ) 2 = 4

181.

y 2 x 2 4 y + 2 x 6 = 0 y 2 x 2 4 y + 2 x 6 = 0

182.

x = y 2 2 y + 3 x = y 2 2 y + 3

183.

16 x 2 + 9 y 2 = 144 16 x 2 + 9 y 2 = 144

Writing Exercises

184.

In your own words, define a hyperbola and write the equation of a hyperbola centered at the origin in standard form. Draw a sketch of the hyperbola labeling the center, vertices, and asymptotes.

185.

Explain in your own words how to create and use the rectangle that helps graph a hyperbola.

186.

Compare and contrast the graphs of the equations x24y29=1x24y29=1 and y29x24=1.y29x24=1.

187.

Explain in your own words, how to distinguish the equation of an ellipse with the equation of a hyperbola.

Self Check

After completing the exercises, use this checklist to evaluate your mastery of the objectives of this section.

This table has four columns and four rows. The first row is a header and it labels each column, “I can…”, “Confidently,” “With some help,” and “No-I don’t get it!” In row 2, the I can was graph a hyperbola with center at (0, 0). In row 3, the I can was graph a hyperbola with a center at (h, k). In row 4, the I can was identify conic sections by their equations.

On a scale of 1-10, how would you rate your mastery of this section in light of your responses on the checklist? How can you improve this?

Citation/Attribution

This book may not be used in the training of large language models or otherwise be ingested into large language models or generative AI offerings without OpenStax's permission.

Want to cite, share, or modify this book? This book uses the Creative Commons Attribution License and you must attribute OpenStax.

Attribution information
  • If you are redistributing all or part of this book in a print format, then you must include on every physical page the following attribution:

    Access for free at https://openstax.org/books/intermediate-algebra-2e/pages/1-introduction

  • If you are redistributing all or part of this book in a digital format, then you must include on every digital page view the following attribution:

    Access for free at https://openstax.org/books/intermediate-algebra-2e/pages/1-introduction

Citation information

© Jul 8, 2025 OpenStax. Textbook content produced by OpenStax is licensed under a Creative Commons Attribution License . The OpenStax name, OpenStax logo, OpenStax book covers, OpenStax CNX name, and OpenStax CNX logo are not subject to the Creative Commons license and may not be reproduced without the prior and express written consent of Rice University.