Skip to ContentGo to accessibility pageKeyboard shortcuts menu
OpenStax Logo
Elementary Algebra

8.9 Use Direct and Inverse Variation

Elementary Algebra8.9 Use Direct and Inverse Variation
Search for key terms or text.

Learning Objectives

By the end of this section, you will be able to:

  • Solve direct variation problems
  • Solve inverse variation problems

Be Prepared 8.9

Before you get started, take this readiness quiz.

If you miss a problem, go back to the section listed and review the material.

  1. Find the multiplicative inverse of −8−8.
    If you missed this problem, review Example 1.126.
  2. Solve for nn: 45=20n45=20n.
    If you missed this problem, review Example 2.13.
  3. Evaluate 5x25x2 when x=10x=10.
    If you missed this problem, review Example 1.20.

When two quantities are related by a proportion, we say they are proportional to each other. Another way to express this relation is to talk about the variation of the two quantities. We will discuss direct variation and inverse variation in this section.

Solve Direct Variation Problems

Lindsay gets paid $15 per hour at her job. If we let s be her salary and h be the number of hours she has worked, we could model this situation with the equation

s=15hs=15h

Lindsay’s salary is the product of a constant, 15, and the number of hours she works. We say that Lindsay’s salary varies directly with the number of hours she works. Two variables vary directly if one is the product of a constant and the other.

Direct Variation

For any two variables x and y, y varies directly with x if

y=kx,wherek0y=kx,wherek0

The constant k is called the constant of variation.

In applications using direct variation, generally we will know values of one pair of the variables and will be asked to find the equation that relates x and y. Then we can use that equation to find values of y for other values of x.

Example 8.86

How to Solve Direct Variation Problems

If y varies directly with x and y=20y=20 when x=8x=8, find the equation that relates x and y.

Try It 8.171

If yy varies directly as xx and y=3,whenx=10.y=3,whenx=10. find the equation that relates x and y.

Try It 8.172

If yy varies directly as xx and y=12whenx=4y=12whenx=4 find the equation that relates x and y.

We’ll list the steps below.

How To

Solve direct variation problems.

  1. Step 1. Write the formula for direct variation.
  2. Step 2. Substitute the given values for the variables.
  3. Step 3. Solve for the constant of variation.
  4. Step 4. Write the equation that relates x and y.

Now we’ll solve a few applications of direct variation.

Example 8.87

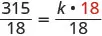
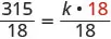
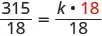
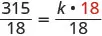
When Raoul runs on the treadmill at the gym, the number of calories, c, he burns varies directly with the number of minutes, m, he uses the treadmill. He burned 315 calories when he used the treadmill for 18 minutes.

  1. Write the equation that relates c and m.
  2. How many calories would he burn if he ran on the treadmill for 25 minutes?

Try It 8.173

The number of calories, c, burned varies directly with the amount of time, t, spent exercising. Arnold burned 312 calories in 65 minutes exercising.

  1. Write the equation that relates c and t.
  2. How many calories would he burn if he exercises for 90 minutes?

Try It 8.174

The distance a moving body travels, d, varies directly with time, t, it moves. A train travels 100 miles in 2 hours

Write the equation that relates d and t.
How many miles would it travel in 5 hours?

In the previous example, the variables c and m were named in the problem. Usually that is not the case. We will have to name the variables in the next example as part of the solution, just like we do in most applied problems.

Example 8.88

The number of gallons of gas Eunice’s car uses varies directly with the number of miles she drives. Last week she drove 469.8 miles and used 14.5 gallons of gas.

  1. Write the equation that relates the number of gallons of gas used to the number of miles driven.
  2. How many gallons of gas would Eunice’s car use if she drove 1000 miles?

Try It 8.175

The distance that Brad travels varies directly with the time spent traveling. Brad travelled 660 miles in 12 hours,

  1. Write the equation that relates the number of miles travelled to the time.
  2. How many miles could Brad travel in 4 hours?

Try It 8.176

The weight of a liquid varies directly as its volume. A liquid that weighs 24 pounds has a volume of 4 gallons.

  1. Write the equation that relates the weight to the volume.
  2. If a liquid has volume 13 gallons, what is its weight?

In some situations, one variable varies directly with the square of the other variable. When that happens, the equation of direct variation is y=kx2y=kx2. We solve these applications just as we did the previous ones, by substituting the given values into the equation to solve for k.

Example 8.89

The maximum load a beam will support varies directly with the square of the diagonal of the beam’s cross-section. A beam with diagonal 4” will support a maximum load of 75 pounds.

  1. Write the equation that relates the maximum load to the cross-section.
  2. What is the maximum load that can be supported by a beam with diagonal 8”?

Try It 8.177

The distance an object falls is directly proportional to the square of the time it falls. A ball falls 144 feet in 3 seconds.

  1. Write the equation that relates the distance to the time.
  2. How far will an object fall in 4 seconds?

Try It 8.178

The area of a circle varies directly as the square of the radius. A circular pizza with a radius of 6 inches has an area of 113.04 square inches.

  1. Write the equation that relates the area to the radius.
  2. What is the area of a pizza with a radius of 9 inches?

Solve Inverse Variation Problems

Many applications involve two variable that vary inversely. As one variable increases, the other decreases. The equation that relates them is y=kxy=kx.

Inverse Variation

For any two variables x and y, y varies inversely with x if

y=kx,wherek0y=kx,wherek0

The constant k is called the constant of variation.

The word ‘inverse’ in inverse variation refers to the multiplicative inverse. The multiplicative inverse of x is 1x1x.

We solve inverse variation problems in the same way we solved direct variation problems. Only the general form of the equation has changed. We will copy the procedure box here and just change ‘direct’ to ‘inverse’.

How To

Solve inverse variation problems.

  1. Step 1. Write the formula for inverse variation.
  2. Step 2. Substitute the given values for the variables.
  3. Step 3. Solve for the constant of variation.
  4. Step 4. Write the equation that relates x and y.

Example 8.90

If y varies inversely with xx and y=20y=20 when x=8x=8, find the equation that relates x and y.

Try It 8.179

If pp varies inversely with qq and p=30p=30 when q=12q=12 find the equation that relates pp and q.q.

Try It 8.180

If yy varies inversely with xx and y=8y=8 when x=2x=2 find the equation that relates xx and yy.

Example 8.91

The fuel consumption (mpg) of a car varies inversely with its weight. A car that weighs 3100 pounds gets 26 mpg on the highway.

  1. Write the equation of variation.
  2. What would be the fuel consumption of a car that weighs 4030 pounds?

Try It 8.181

A car’s value varies inversely with its age. Elena bought a two-year-old car for $20,000.

Write the equation of variation. What will be the value of Elena’s car when it is 5 years old?

Try It 8.182

The time required to empty a pool varies inversely as the rate of pumping. It took Lucy 2.5 hours to empty her pool using a pump that was rated at 400 gpm (gallons per minute).

  1. Write the equation of variation.
  2. How long will it take her to empty the pool using a pump rated at 500 gpm?

Example 8.92

The frequency of a guitar string varies inversely with its length. A 26” long string has a frequency of 440 vibrations per second.

  1. Write the equation of variation.
  2. How many vibrations per second will there be if the string’s length is reduced to 20” by putting a finger on a fret?

Try It 8.183

The number of hours it takes for ice to melt varies inversely with the air temperature. Suppose a block of ice melts in 2 hours when the temperature is 65 degrees.

  1. Write the equation of variation.
  2. How many hours would it take for the same block of ice to melt if the temperature was 78 degrees?

Try It 8.184

The force needed to break a board varies inversely with its length. Richard uses 24 pounds of pressure to break a 2-foot long board.

  1. Write the equation of variation.
  2. How many pounds of pressure is needed to break a 5-foot long board?

Section 8.9 Exercises

Practice Makes Perfect

Solve Direct Variation Problems

In the following exercises, solve.

463.

If yy varies directly as xx and y=14,whenx=3y=14,whenx=3, find the equation that relates xandyxandy.

464.

If pp varies directly as qq and p=5,whenq=2p=5,whenq=2, find the equation that relates pandqpandq.

465.

If vv varies directly as ww and v=24,whenw=8v=24,whenw=8, find the equation that relates vandw.vandw.

466.

If aa varies directly as bb and a=16,whenb=4a=16,whenb=4, find the equation that relates aandb.aandb.

467.

If pp varies directly as qq and p=9.6,whenq=3p=9.6,whenq=3, find the equation that relates pandq.pandq.

468.

If yy varies directly as xx and y=12.4,whenx=4,y=12.4,whenx=4, find the equation that relates xandyxandy

469.

If aa varies directly as bb and a=6,whenb=13a=6,whenb=13, find the equation that relates aandb.aandb.

470.

If vv varies directly as ww and v=8,whenw=12v=8,whenw=12, find the equation that relates vandw.vandw.

471.

The amount of money Sally earns, P, varies directly with the number, n, of necklaces she sells. When Sally sells 15 necklaces she earns $150.

  1. Write the equation that relates P and n.
  2. How much money would she earn if she sold 4 necklaces?
472.

The price, P, that Eric pays for gas varies directly with the number of gallons, g, he buys. It costs him $50 to buy 20 gallons of gas.

  1. Write the equation that relates P and g.
  2. How much would 33 gallons cost Eric?
473.

Terri needs to make some pies for a fundraiser. The number of apples, a, varies directly with number of pies, p. It takes nine apples to make two pies.

  1. Write the equation that relates a and p.
  2. How many apples would Terri need for six pies?
474.

Joseph is traveling on a road trip. The distance, d, he travels before stopping for lunch varies directly with the speed, v, he travels. He can travel 120 miles at a speed of 60 mph.

  1. Write the equation that relates d and v.
  2. How far would he travel before stopping for lunch at a rate of 65 mph?
475.

The price of gas that Jesse purchased varies directly to how many gallons he purchased. He purchased 10 gallons of gas for $39.80.

  1. Write the equation that relates the price to the number of gallons.
  2. How much will it cost Jesse for 15 gallons of gas?
476.

The distance that Sarah travels varies directly to how long she drives. She travels 440 miles in 8 hours.

  1. Write the equation that relates the distance to the number of hours.
  2. How far can Sally travel in 6 hours?
477.

The mass of a liquid varies directly with its volume. A liquid with mass 16 kilograms has a volume of 2 liters.

  1. Write the equation that relates the mass to the volume.
  2. What is the volume of this liquid if its mass is 128 kilograms?
478.

The length that a spring stretches varies directly with a weight placed at the end of the spring. When Sarah placed a 10 pound watermelon on a hanging scale, the spring stretched 5 inches.

  1. Write the equation that relates the length of the spring to the weight.
  2. What weight of watermelon would stretch the spring 6 inches?
479.

The distance an object falls varies directly to the square of the time it falls. A ball falls 45 feet in 3 seconds.

  1. Write the equation that relates the distance to the time.
  2. How far will the ball fall in 7 seconds?
480.

The maximum load a beam will support varies directly with the square of the diagonal of the beam’s cross-section. A beam with diagonal 6 inch will support a maximum load of 108 pounds.

  1. Write the equation that relates the load to the diagonal of the cross-section.
  2. What load will a beam with a 10 inch diagonal support?
481.

The area of a circle varies directly as the square of the radius. A circular pizza with a radius of 6 inches has an area of 113.04 square inches.

  1. Write the equation that relates the area to the radius.
  2. What is the area of a personal pizza with a radius 4 inches?
482.

The distance an object falls varies directly to the square of the time it falls. A ball falls 72 feet in 3 seconds,

  1. Write the equation that relates the distance to the time.
  2. How far will the ball have fallen in 8 seconds?

Solve Inverse Variation Problems

In the following exercises, solve.

483.

If yy varies inversely with xx and y=5y=5 when x=4x=4 find the equation that relates xx and y.y.

484.

If pp varies inversely with qq and p=2p=2 when q=1q=1 find the equation that relates pp and q.q.

485.

If vv varies inversely with ww and v=6v=6 when w=12w=12 find the equation that relates vv and w.w.

486.

If aa varies inversely with bb and a=12a=12 when b=13b=13 find the equation that relates aa and b.b.

Write an inverse variation equation to solve the following problems.

487.

The fuel consumption (mpg) of a car varies inversely with its weight. A Toyota Corolla weighs 2800 pounds and gets 33 mpg on the highway.

  1. Write the equation that relates the mpg to the car’s weight.
  2. What would the fuel consumption be for a Toyota Sequoia that weighs 5500 pounds?
488.

A car’s value varies inversely with its age. Jackie bought a 10 year old car for $2,400.

  1. Write the equation that relates the car’s value to its age.
  2. What will be the value of Jackie’s car when it is 15 years old ?
489.

The time required to empty a tank varies inversely as the rate of pumping. It took Janet 5 hours to pump her flooded basement using a pump that was rated at 200 gpm (gallons per minute),

  1. Write the equation that relates the number of hours to the pump rate.
  2. How long would it take Janet to pump her basement if she used a pump rated at 400 gpm?
490.

The volume of a gas in a container varies inversely as pressure on the gas. A container of helium has a volume of 370 cubic inches under a pressure of 15 psi.

  1. Write the equation that relates the volume to the pressure.
  2. What would be the volume of this gas if the pressure was increased to 20 psi?
491.

On a string instrument, the length of a string varies inversely as the frequency of its vibrations. An 11-inch string on a violin has a frequency of 400 cycles per second.

  1. Write the equation that relates the string length to its frequency.
  2. What is the frequency of a 10-inch string?
492.

Paul, a dentist, determined that the number of cavities that develops in his patient’s mouth each year varies inversely to the number of minutes spent brushing each night. His patient, Lori, had 4 cavities when brushing her teeth 30 seconds (0.5 minutes) each night.

  1. Write the equation that relates the number of cavities to the time spent brushing.
  2. How many cavities would Paul expect Lori to have if she had brushed her teeth for 2 minutes each night?
493.

The number of tickets for a sports fundraiser varies inversely to the price of each ticket. Brianna can buy 25 tickets at $5each.

  1. Write the equation that relates the number of tickets to the price of each ticket.
  2. How many tickets could Brianna buy if the price of each ticket was $2.50?
494.

Boyle’s Law states that if the temperature of a gas stays constant, then the pressure varies inversely to the volume of the gas. Braydon, a scuba diver, has a tank that holds 6 liters of air under a pressure of 220 psi.

  1. Write the equation that relates pressure to volume.
  2. If the pressure increases to 330 psi, how much air can Braydon’s tank hold?

Mixed Practice

495.

If yy varies directly as xx and y=5,whenx=3.y=5,whenx=3., find the equation that relates xandyxandy.

496.

If vv varies directly as ww and v=21,whenw=8.v=21,whenw=8. find the equation that relates vandw.vandw.

497.

If pp varies inversely with qq and p=5p=5 when q=6q=6, find the equation that relates pp and q.q.

498.

If yy varies inversely with xx and y=11y=11 when x=3x=3 find the equation that relates xx and y.y.

499.

If pp varies directly as qq and p=10,whenq=2.p=10,whenq=2. find the equation that relates pandqpandq.

500.

If vv varies inversely with ww and v=18v=18 when w=13w=13 find the equation that relates vv and w.w.

501.

The force needed to break a board varies inversely with its length. If Tom uses 20 pounds of pressure to break a 1.5-foot long board, how many pounds of pressure would he need to use to break a 6 foot long board?

502.

The number of hours it takes for ice to melt varies inversely with the air temperature. A block of ice melts in 2.5 hours when the temperature is 54 degrees. How long would it take for the same block of ice to melt if the temperature was 45 degrees?

503.

The length a spring stretches varies directly with a weight placed at the end of the spring. When Meredith placed a 6-pound cantaloupe on a hanging scale, the spring stretched 2 inches. How far would the spring stretch if the cantaloupe weighed 9 pounds?

504.

The amount that June gets paid varies directly the number of hours she works. When she worked 15 hours, she got paid $111. How much will she be paid for working 18 hours?

505.

The fuel consumption (mpg) of a car varies inversely with its weight. A Ford Focus weighs 3000 pounds and gets 28.7 mpg on the highway. What would the fuel consumption be for a Ford Expedition that weighs 5,500 pounds? Round to the nearest tenth.

506.

The volume of a gas in a container varies inversely as the pressure on the gas. If a container of argon has a volume of 336 cubic inches under a pressure of 2,500 psi, what will be its volume if the pressure is decreased to 2,000 psi?

507.

The distance an object falls varies directly to the square of the time it falls. If an object falls 52.8 feet in 4 seconds, how far will it fall in 9 seconds?

508.

The area of the face of a Ferris wheel varies directly with the square of its radius. If the area of one face of a Ferris wheel with diameter 150 feet is 70,650 square feet, what is the area of one face of a Ferris wheel with diameter of 16 feet?

Everyday Math

509.

Ride Service It costs $35 for a ride from the city center to the airport, 14 miles away.

  1. Write the equation that relates the cost, c, with the number of miles, m.
  2. What would it cost to travel 22 miles with this service?
510.

Road Trip The number of hours it takes Jack to drive from Boston to Bangor is inversely proportional to his average driving speed. When he drives at an average speed of 40 miles per hour, it takes him 6 hours for the trip.

  1. Write the equation that relates the number of hours, h, with the speed, s.
  2. How long would the trip take if his average speed was 75 miles per hour?

Writing Exercises

511.

In your own words, explain the difference between direct variation and inverse variation.

512.

Make up an example from your life experience of inverse variation.

Self Check

After completing the exercises, use this checklist to evaluate your mastery of the objectives of this section.

This image is four columns and three rows. The first row is the header row. The first header is labeled “I can…”, the second “Confidently”, the third, “With some help”, and the fourth “No – I don’t get it!”. In the first column under “I can”, the next row reads “solve direct variation problems.”, the next row reads “solve direct variation problems.” The remaining columns are blank.

After looking at the checklist, do you think you are well-prepared for the next chapter? Why or why not?

Citation/Attribution

This book may not be used in the training of large language models or otherwise be ingested into large language models or generative AI offerings without OpenStax's permission.

Want to cite, share, or modify this book? This book uses the Creative Commons Attribution License and you must attribute OpenStax.

Attribution information
  • If you are redistributing all or part of this book in a print format, then you must include on every physical page the following attribution:

    Access for free at https://openstax.org/books/elementary-algebra/pages/1-introduction

  • If you are redistributing all or part of this book in a digital format, then you must include on every digital page view the following attribution:

    Access for free at https://openstax.org/books/elementary-algebra/pages/1-introduction

Citation information

© Feb 9, 2022 OpenStax. Textbook content produced by OpenStax is licensed under a Creative Commons Attribution License . The OpenStax name, OpenStax logo, OpenStax book covers, OpenStax CNX name, and OpenStax CNX logo are not subject to the Creative Commons license and may not be reproduced without the prior and express written consent of Rice University.