Skip to ContentGo to accessibility pageKeyboard shortcuts menu
OpenStax Logo
Elementary Algebra

8.5 Simplify Complex Rational Expressions

Elementary Algebra8.5 Simplify Complex Rational Expressions
Search for key terms or text.

Learning Objectives

By the end of this section, you will be able to:

  • Simplify a complex rational expression by writing it as division
  • Simplify a complex rational expression by using the LCD

Be Prepared 8.5

Before you get started, take this readiness quiz.

If you miss a problem, go back to the section listed and review the material.

  1. Simplify: 35910.35910.
    If you missed this problem, review Example 1.72.
  2. Simplify: 11342+4·5.11342+4·5.
    If you missed this problem, review Example 1.74.

Complex fractions are fractions in which the numerator or denominator contains a fraction. In Chapter 1 we simplified complex fractions like these:

3458x2xy63458x2xy6

In this section we will simplify complex rational expressions, which are rational expressions with rational expressions in the numerator or denominator.

Complex Rational Expression

A complex rational expression is a rational expression in which the numerator or denominator contains a rational expression.

Here are a few complex rational expressions:

4y38y291x+1yxyyx2x+64x64x2364y38y291x+1yxyyx2x+64x64x236

Remember, we always exclude values that would make any denominator zero.

We will use two methods to simplify complex rational expressions.

Simplify a Complex Rational Expression by Writing it as Division

We have already seen this complex rational expression earlier in this chapter.

6x27x+24x82x28x+3x25x+66x27x+24x82x28x+3x25x+6

We noted that fraction bars tell us to divide, so rewrote it as the division problem

(6x27x+24x8)÷(2x28x+3x25x+6)(6x27x+24x8)÷(2x28x+3x25x+6)

Then we multiplied the first rational expression by the reciprocal of the second, just like we do when we divide two fractions.

This is one method to simplify rational expressions. We write it as if we were dividing two fractions.

Example 8.50

Simplify: 4y38y29.4y38y29.

Try It 8.99

Simplify: 2x213x+1.2x213x+1.

Try It 8.100

Simplify: 1x27x+122x4.1x27x+122x4.

Fraction bars act as grouping symbols. So to follow the Order of Operations, we simplify the numerator and denominator as much as possible before we can do the division.

Example 8.51

Simplify: 13+161213.13+161213.

Try It 8.101

Simplify: 12+2356+112.12+2356+112.

Try It 8.102

Simplify: 341318+56.341318+56.

Example 8.52

How to Simplify a Complex Rational Expression by Writing it as Division

Simplify: 1x+1yxyyx.1x+1yxyyx.

Try It 8.103

Simplify: 1x+1y1x1y.1x+1y1x1y.

Try It 8.104

Simplify: 1a+1b1a21b2.1a+1b1a21b2.

How To

Simplify a complex rational expression by writing it as division.

  1. Step 1. Simplify the numerator and denominator.
  2. Step 2. Rewrite the complex rational expression as a division problem.
  3. Step 3. Divide the expressions.

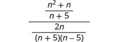
Example 8.53

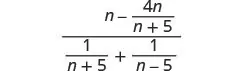
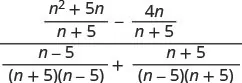
Simplify: n4nn+51n+5+1n5.n4nn+51n+5+1n5.

Try It 8.105

Simplify: b3bb+52b+5+1b5.b3bb+52b+5+1b5.

Try It 8.106

Simplify: 13c+41c+4+c3.13c+41c+4+c3.

Simplify a Complex Rational Expression by Using the LCD

We “cleared” the fractions by multiplying by the LCD when we solved equations with fractions. We can use that strategy here to simplify complex rational expressions. We will multiply the numerator and denominator by LCD of all the rational expressions.

Let’s look at the complex rational expression we simplified one way in Example 8.51. We will simplify it here by multiplying the numerator and denominator by the LCD. When we multiply by LCDLCDLCDLCD we are multiplying by 1, so the value stays the same.

Example 8.54

Simplify: 13+161213.13+161213.

Try It 8.107

Simplify: 12+15110+15.12+15110+15.

Try It 8.108

Simplify: 14+3812516.14+3812516.

Example 8.55

How to Simplify a Complex Rational Expression by Using the LCD

Simplify: 1x+1yxyyx.1x+1yxyyx.

Try It 8.109

Simplify: 1a+1bab+ba.1a+1bab+ba.

Try It 8.110

Simplify: 1x21y21x+1y.1x21y21x+1y.

How To

Simplify a complex rational expression by using the LCD.

  1. Step 1. Find the LCD of all fractions in the complex rational expression.
  2. Step 2. Multiply the numerator and denominator by the LCD.
  3. Step 3. Simplify the expression.

Be sure to start by factoring all the denominators so you can find the LCD.

Example 8.56

Simplify: 2x+64x64x236.2x+64x64x236.

Try It 8.111

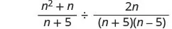
Simplify: 3x+25x23x24.3x+25x23x24.

Try It 8.112

Simplify: 2x71x+76x+71x249.2x71x+76x+71x249.

Example 8.57

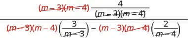
Simplify: 4m27m+123m32m4.4m27m+123m32m4.

Try It 8.113

Simplify: 3x2+7x+104x+2+1x+5.3x2+7x+104x+2+1x+5.

Try It 8.114

Simplify: 4yy+5+2y+63yy2+11y+30.4yy+5+2y+63yy2+11y+30.

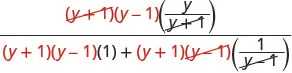
Example 8.58

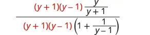
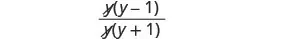
Simplify: yy+11+1y1.yy+11+1y1.

Try It 8.115

Simplify: xx+31+1x+3.xx+31+1x+3.

Try It 8.116

Simplify: 1+1x13x+1.1+1x13x+1.

Section 8.5 Exercises

Practice Makes Perfect

Simplify a Complex Rational Expression by Writing It as Division

In the following exercises, simplify.

255.

2 a a + 4 4 a 2 a 2 16 2 a a + 4 4 a 2 a 2 16

256.

3 b b 5 b 2 b 2 25 3 b b 5 b 2 b 2 25

257.

5 c 2 + 5 c 14 10 c + 7 5 c 2 + 5 c 14 10 c + 7

258.

8 d 2 + 9 d + 18 12 d + 6 8 d 2 + 9 d + 18 12 d + 6

259.

1 2 + 5 6 2 3 + 7 9 1 2 + 5 6 2 3 + 7 9

260.

1 2 + 3 4 3 5 + 7 10 1 2 + 3 4 3 5 + 7 10

261.

2 3 1 9 3 4 + 5 6 2 3 1 9 3 4 + 5 6

262.

1 2 1 6 2 3 + 3 4 1 2 1 6 2 3 + 3 4

263.

n m + 1 n 1 n n m n m + 1 n 1 n n m

264.

1 p + p q q p 1 q 1 p + p q q p 1 q

265.

1 r + 1 t 1 r 2 1 t 2 1 r + 1 t 1 r 2 1 t 2

266.

2 v + 2 w 1 v 2 1 w 2 2 v + 2 w 1 v 2 1 w 2

267.

x 2 x x + 3 1 x + 3 + 1 x 3 x 2 x x + 3 1 x + 3 + 1 x 3

268.

y 2 y y 4 2 y 4 2 y + 4 y 2 y y 4 2 y 4 2 y + 4

269.

2 2 a + 3 1 a + 3 + a 2 2 2 a + 3 1 a + 3 + a 2

270.

4 4 b 5 1 b 5 + b 4 4 4 b 5 1 b 5 + b 4

Simplify a Complex Rational Expression by Using the LCD

In the following exercises, simplify.

271.

1 3 + 1 8 1 4 + 1 12 1 3 + 1 8 1 4 + 1 12

272.

1 4 + 1 9 1 6 + 1 12 1 4 + 1 9 1 6 + 1 12

273.

5 6 + 2 9 7 18 1 3 5 6 + 2 9 7 18 1 3

274.

1 6 + 4 15 3 5 1 2 1 6 + 4 15 3 5 1 2

275.

c d + 1 d 1 d d c c d + 1 d 1 d d c

276.

1 m + m n n m 1 n 1 m + m n n m 1 n

277.

1 p + 1 q 1 p 2 1 q 2 1 p + 1 q 1 p 2 1 q 2

278.

2 r + 2 t 1 r 2 1 t 2 2 r + 2 t 1 r 2 1 t 2

279.

2 x + 5 3 x 5 + 1 x 2 25 2 x + 5 3 x 5 + 1 x 2 25

280.

5 y 4 3 y + 4 + 2 y 2 16 5 y 4 3 y + 4 + 2 y 2 16

281.

5 z 2 64 + 3 z + 8 1 z + 8 + 2 z 8 5 z 2 64 + 3 z + 8 1 z + 8 + 2 z 8

282.

3 s + 6 + 5 s 6 1 s 2 36 + 4 s + 6 3 s + 6 + 5 s 6 1 s 2 36 + 4 s + 6

283.

4 a 2 2 a 15 1 a 5 + 2 a + 3 4 a 2 2 a 15 1 a 5 + 2 a + 3

284.

5 b 2 6 b 27 3 b 9 + 1 b + 3 5 b 2 6 b 27 3 b 9 + 1 b + 3

285.

5 c + 2 3 c + 7 5 c c 2 + 9 c + 14 5 c + 2 3 c + 7 5 c c 2 + 9 c + 14

286.

6 d 4 2 d + 7 2 d d 2 + 3 d 28 6 d 4 2 d + 7 2 d d 2 + 3 d 28

287.

2 + 1 p 3 5 p 3 2 + 1 p 3 5 p 3

288.

n n 2 3 + 5 n 2 n n 2 3 + 5 n 2

289.

m m + 5 4 + 1 m 5 m m + 5 4 + 1 m 5

290.

7 + 2 q 2 1 q + 2 7 + 2 q 2 1 q + 2

Simplify

In the following exercises, use either method.

291.

3 4 2 7 1 2 + 5 14 3 4 2 7 1 2 + 5 14

292.

v w + 1 v 1 v v w v w + 1 v 1 v v w

293.

2 a + 4 1 a 2 16 2 a + 4 1 a 2 16

294.

3 b 2 3 b 40 5 b + 5 2 b 8 3 b 2 3 b 40 5 b + 5 2 b 8

295.

3 m + 3 n 1 m 2 1 n 2 3 m + 3 n 1 m 2 1 n 2

296.

2 r 9 1 r + 9 + 3 r 2 81 2 r 9 1 r + 9 + 3 r 2 81

297.

x 3 x x + 2 3 x + 2 + 3 x 2 x 3 x x + 2 3 x + 2 + 3 x 2

298.

y y + 3 2 + 1 y 3 y y + 3 2 + 1 y 3

Everyday Math

299.

Electronics The resistance of a circuit formed by connecting two resistors in parallel is 11R1+1R211R1+1R2.

  1. Simplify the complex fraction 11R1+1R211R1+1R2.
  2. Find the resistance of the circuit when R1=8R1=8 and R2=12R2=12.
300.

Ironing Lenore can do the ironing for her family’s business in hh hours. Her daughter would take h+2h+2 hours to get the ironing done. If Lenore and her daughter work together, using 2 irons, the number of hours it would take them to do all the ironing is 11h+1h+211h+1h+2.

  1. Simplify the complex fraction 11h+1h+211h+1h+2.
  2. Find the number of hours it would take Lenore and her daughter, working together, to get the ironing done if h=4h=4.

Writing Exercises

301.

In this section, you learned to simplify the complex fraction 3x+2xx243x+2xx24 two ways:

rewriting it as a division problem

multiplying the numerator and denominator by the LCD

Which method do you prefer? Why?

302.

Efraim wants to start simplifying the complex fraction 1a+1b1a1b1a+1b1a1b by cancelling the variables from the numerator and denominator. Explain what is wrong with Efraim’s plan.

Self Check

After completing the exercises, use this checklist to evaluate your mastery of the objectives of this section.

The above image is four columns and three rows. The first row is the header row. The first header is labeled “I can…”, the second “Confidently”, the third, “With some help”, and the fourth “No – I don’t get it!”. In the first column under “I can”, the next row reads “simplify a complex rational expression by writing it as division.”, the next row reads “simplify a complex rational expression by using the LCD.” The remaining columns are blank.

After looking at the checklist, do you think you are well-prepared for the next section? Why or why not?

Citation/Attribution

This book may not be used in the training of large language models or otherwise be ingested into large language models or generative AI offerings without OpenStax's permission.

Want to cite, share, or modify this book? This book uses the Creative Commons Attribution License and you must attribute OpenStax.

Attribution information
  • If you are redistributing all or part of this book in a print format, then you must include on every physical page the following attribution:

    Access for free at https://openstax.org/books/elementary-algebra/pages/1-introduction

  • If you are redistributing all or part of this book in a digital format, then you must include on every digital page view the following attribution:

    Access for free at https://openstax.org/books/elementary-algebra/pages/1-introduction

Citation information

© Feb 9, 2022 OpenStax. Textbook content produced by OpenStax is licensed under a Creative Commons Attribution License . The OpenStax name, OpenStax logo, OpenStax book covers, OpenStax CNX name, and OpenStax CNX logo are not subject to the Creative Commons license and may not be reproduced without the prior and express written consent of Rice University.