Skip to ContentGo to accessibility pageKeyboard shortcuts menu
OpenStax Logo
Elementary Algebra 2e

9.5 Divide Square Roots

Elementary Algebra 2e9.5 Divide Square Roots

Menu
Table of contents
  1. Preface
  2. 1 Foundations
    1. Introduction
    2. 1.1 Introduction to Whole Numbers
    3. 1.2 Use the Language of Algebra
    4. 1.3 Add and Subtract Integers
    5. 1.4 Multiply and Divide Integers
    6. 1.5 Visualize Fractions
    7. 1.6 Add and Subtract Fractions
    8. 1.7 Decimals
    9. 1.8 The Real Numbers
    10. 1.9 Properties of Real Numbers
    11. 1.10 Systems of Measurement
    12. Chapter Review
      1. Key Terms
      2. Key Concepts
    13. Exercises
      1. Review Exercises
      2. Practice Test
  3. 2 Solving Linear Equations and Inequalities
    1. Introduction
    2. 2.1 Solve Equations Using the Subtraction and Addition Properties of Equality
    3. 2.2 Solve Equations using the Division and Multiplication Properties of Equality
    4. 2.3 Solve Equations with Variables and Constants on Both Sides
    5. 2.4 Use a General Strategy to Solve Linear Equations
    6. 2.5 Solve Equations with Fractions or Decimals
    7. 2.6 Solve a Formula for a Specific Variable
    8. 2.7 Solve Linear Inequalities
    9. Chapter Review
      1. Key Terms
      2. Key Concepts
    10. Exercises
      1. Review Exercises
      2. Practice Test
  4. 3 Math Models
    1. Introduction
    2. 3.1 Use a Problem-Solving Strategy
    3. 3.2 Solve Percent Applications
    4. 3.3 Solve Mixture Applications
    5. 3.4 Solve Geometry Applications: Triangles, Rectangles, and the Pythagorean Theorem
    6. 3.5 Solve Uniform Motion Applications
    7. 3.6 Solve Applications with Linear Inequalities
    8. Chapter Review
      1. Key Terms
      2. Key Concepts
    9. Exercises
      1. Review Exercises
      2. Practice Test
  5. 4 Graphs
    1. Introduction
    2. 4.1 Use the Rectangular Coordinate System
    3. 4.2 Graph Linear Equations in Two Variables
    4. 4.3 Graph with Intercepts
    5. 4.4 Understand Slope of a Line
    6. 4.5 Use the Slope-Intercept Form of an Equation of a Line
    7. 4.6 Find the Equation of a Line
    8. 4.7 Graphs of Linear Inequalities
    9. Chapter Review
      1. Key Terms
      2. Key Concepts
    10. Exercises
      1. Review Exercises
      2. Practice Test
  6. 5 Systems of Linear Equations
    1. Introduction
    2. 5.1 Solve Systems of Equations by Graphing
    3. 5.2 Solving Systems of Equations by Substitution
    4. 5.3 Solve Systems of Equations by Elimination
    5. 5.4 Solve Applications with Systems of Equations
    6. 5.5 Solve Mixture Applications with Systems of Equations
    7. 5.6 Graphing Systems of Linear Inequalities
    8. Chapter Review
      1. Key Terms
      2. Key Concepts
    9. Exercises
      1. Review Exercises
      2. Practice Test
  7. 6 Polynomials
    1. Introduction
    2. 6.1 Add and Subtract Polynomials
    3. 6.2 Use Multiplication Properties of Exponents
    4. 6.3 Multiply Polynomials
    5. 6.4 Special Products
    6. 6.5 Divide Monomials
    7. 6.6 Divide Polynomials
    8. 6.7 Integer Exponents and Scientific Notation
    9. Chapter Review
      1. Key Terms
      2. Key Concepts
    10. Exercises
      1. Review Exercises
      2. Practice Test
  8. 7 Factoring
    1. Introduction
    2. 7.1 Greatest Common Factor and Factor by Grouping
    3. 7.2 Factor Trinomials of the Form x2+bx+c
    4. 7.3 Factor Trinomials of the Form ax2+bx+c
    5. 7.4 Factor Special Products
    6. 7.5 General Strategy for Factoring Polynomials
    7. 7.6 Quadratic Equations
    8. Chapter Review
      1. Key Terms
      2. Key Concepts
    9. Exercises
      1. Review Exercises
      2. Practice Test
  9. 8 Rational Expressions and Equations
    1. Introduction
    2. 8.1 Simplify Rational Expressions
    3. 8.2 Multiply and Divide Rational Expressions
    4. 8.3 Add and Subtract Rational Expressions with a Common Denominator
    5. 8.4 Add and Subtract Rational Expressions with Unlike Denominators
    6. 8.5 Simplify Complex Rational Expressions
    7. 8.6 Solve Rational Equations
    8. 8.7 Solve Proportion and Similar Figure Applications
    9. 8.8 Solve Uniform Motion and Work Applications
    10. 8.9 Use Direct and Inverse Variation
    11. Chapter Review
      1. Key Terms
      2. Key Concepts
    12. Exercises
      1. Review Exercises
      2. Practice Test
  10. 9 Roots and Radicals
    1. Introduction
    2. 9.1 Simplify and Use Square Roots
    3. 9.2 Simplify Square Roots
    4. 9.3 Add and Subtract Square Roots
    5. 9.4 Multiply Square Roots
    6. 9.5 Divide Square Roots
    7. 9.6 Solve Equations with Square Roots
    8. 9.7 Higher Roots
    9. 9.8 Rational Exponents
    10. Chapter Review
      1. Key Terms
      2. Key Concepts
    11. Exercises
      1. Review Exercises
      2. Practice Test
  11. 10 Quadratic Equations
    1. Introduction
    2. 10.1 Solve Quadratic Equations Using the Square Root Property
    3. 10.2 Solve Quadratic Equations by Completing the Square
    4. 10.3 Solve Quadratic Equations Using the Quadratic Formula
    5. 10.4 Solve Applications Modeled by Quadratic Equations
    6. 10.5 Graphing Quadratic Equations in Two Variables
    7. Chapter Review
      1. Key Terms
      2. Key Concepts
    8. Exercises
      1. Review Exercises
      2. Practice Test
  12. Answer Key
    1. Chapter 1
    2. Chapter 2
    3. Chapter 3
    4. Chapter 4
    5. Chapter 5
    6. Chapter 6
    7. Chapter 7
    8. Chapter 8
    9. Chapter 9
    10. Chapter 10
  13. Index

Learning Objectives

By the end of this section, you will be able to:

  • Divide square roots
  • Rationalize a one-term denominator
  • Rationalize a two-term denominator

Be Prepared 9.12

Before you get started, take this readiness quiz.

Find a fraction equivalent to 5858 with denominator 48.
If you missed this problem, review Example 1.64.

Be Prepared 9.13

Simplify: (5)2(5)2.
If you missed this problem, review Example 9.48.

Be Prepared 9.14

Multiply: (7+3x)(73x)(7+3x)(73x).
If you missed this problem, review Example 6.54.

Divide Square Roots

We know that we simplify fractions by removing factors common to the numerator and the denominator. When we have a fraction with a square root in the numerator, we first simplify the square root. Then we can look for common factors.

This figure shows two columns. The first is labeled “Common Factors” and has 3 times the square root of 2 over 3 times 5 beneath it. Both number threes are red. The second column is labeled “No common factors” and has 2 times the square root of 3 over 3 times 5.

Example 9.60

Simplify: 546546.

Try It 9.119

Simplify: 328328.

Try It 9.120

Simplify: 75157515.

Example 9.61

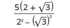
Simplify: 6241262412.

Try It 9.121

Simplify: 8401084010.

Try It 9.122

Simplify: 107520107520.

We have used the Quotient Property of Square Roots to simplify square roots of fractions. The Quotient Property of Square Roots says

ab=ab,b0ab=ab,b0

Sometimes we will need to use the Quotient Property of Square Roots ‘in reverse’ to simplify a fraction with square roots.

ab=ab,b0ab=ab,b0

We will rewrite the Quotient Property of Square Roots so we see both ways together. Remember: we assume all variables are greater than or equal to zero so that their square roots are real numbers.

Quotient Property of Square Roots

If a, b are non-negative real numbers and b0b0, then

ab=abandab=abab=abandab=ab

We will use the Quotient Property of Square Roots ‘in reverse’ when the fraction we start with is the quotient of two square roots, and neither radicand is a perfect square. When we write the fraction in a single square root, we may find common factors in the numerator and denominator.

Example 9.62

Simplify: 27752775.

Try It 9.123

Simplify: 4810848108.

Try It 9.124

Simplify: 96549654.

We will use the Quotient Property for Exponents, aman=amnaman=amn, when we have variables with exponents in the radicands.

Example 9.63

Simplify: 6y52y6y52y.

Try It 9.125

Simplify: 12r36r12r36r.

Try It 9.126

Simplify: 14p92p514p92p5.

Example 9.64

Simplify: 72x3162x72x3162x.

Try It 9.127

Simplify: 50s3128s50s3128s.

Try It 9.128

Simplify: 75q5108q75q5108q.

Example 9.65

Simplify: 147ab83a3b4147ab83a3b4.

Try It 9.129

Simplify: 162x10y22x6y6162x10y22x6y6.

Try It 9.130

Simplify: 300m3n73m5n300m3n73m5n.

Rationalize a One Term Denominator

Before the calculator became a tool of everyday life, tables of square roots were used to find approximate values of square roots. Figure 9.3 shows a portion of a table of squares and square roots. Square roots are approximated to five decimal places in this table.

This table has three solumn and eleven rows. The columns are labeled, “n,” “n squared,” and “the square root of n.” Under the column labeled “n” are the following numbers: 200; 201; 202; 203; 204; 205; 206; 207; 208; 209; and 210. Under the column labeled, “n squared” are the following numbers: 40,000; 40,401; 40,804; 41,209; 41,616; 42,025; 42,436; 42,849; 43,264; 43,681; 44,100. Under the column labeled, “the square root of n” are the following numbers: 14.14214; 14.17745; 14.21267; 14.24781; 14.28286; 14.31782; 14.35270; 14.38749; 14.42221; 14.45683; 14.49138.
Figure 9.3 A table of square roots was used to find approximate values of square roots before there were calculators.

If someone needed to approximate a fraction with a square root in the denominator, it meant doing long division with a five decimal-place divisor. This was a very cumbersome process.

For this reason, a process called rationalizing the denominator was developed. A fraction with a radical in the denominator is converted to an equivalent fraction whose denominator is an integer. This process is still used today and is useful in other areas of mathematics, too.

Rationalizing the Denominator

The process of converting a fraction with a radical in the denominator to an equivalent fraction whose denominator is an integer is called rationalizing the denominator.

Square roots of numbers that are not perfect squares are irrational numbers. When we rationalize the denominator, we write an equivalent fraction with a rational number in the denominator.

Let’s look at a numerical example.

Suppose we need an approximate value for the fraction.12A five decimal place approximation to2is1.41421.11.41421Without a calculator, would you want to do this division?1.414211.0Suppose we need an approximate value for the fraction.12A five decimal place approximation to2is1.41421.11.41421Without a calculator, would you want to do this division?1.414211.0

But we can find a fraction equivalent to 1212 by multiplying the numerator and denominator by 22.

This figure shows three fractions. The first fraction is 1 over the square root of 2. The second is 1 times the square root of 2 over the square root of 2 times the square root of 2. The third shows the square root of 2 over 2.

Now if we need an approximate value, we divide 21.4142121.41421. This is much easier.

Even though we have calculators available nearly everywhere, a fraction with a radical in the denominator still must be rationalized. It is not considered simplified if the denominator contains a square root.

Similarly, a square root is not considered simplified if the radicand contains a fraction.

Simplified Square Roots

A square root is considered simplified if there are

  • no perfect-square factors in the radicand
  • no fractions in the radicand
  • no square roots in the denominator of a fraction

To rationalize a denominator, we use the property that (a)2=a(a)2=a. If we square an irrational square root, we get a rational number.

We will use this property to rationalize the denominator in the next example.

Example 9.66

Simplify: 4343.

Try It 9.131

Simplify: 5353.

Try It 9.132

Simplify: 6565.

Example 9.67

Simplify: 836836.

Try It 9.133

Simplify: 525525.

Try It 9.134

Simplify: 943943.

Always simplify the radical in the denominator first, before you rationalize it. This way the numbers stay smaller and easier to work with.

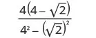
Example 9.68

Simplify: 512512.

Try It 9.135

Simplify: 718718.

Try It 9.136

Simplify: 332332.

Example 9.69

Simplify: 11281128.

Try It 9.137

Simplify: 327327.

Try It 9.138

Simplify: 10501050.

Rationalize a Two-Term Denominator

When the denominator of a fraction is a sum or difference with square roots, we use the Product of Conjugates pattern to rationalize the denominator.

(ab)(a+b)(25)(2+5)a2b222(5)245−1(ab)(a+b)(25)(2+5)a2b222(5)245−1

When we multiply a binomial that includes a square root by its conjugate, the product has no square roots.

Example 9.70

Simplify: 44+244+2.

Try It 9.139

Simplify: 22+322+3.

Try It 9.140

Simplify: 55+355+3.

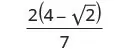
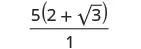
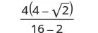
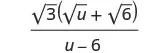
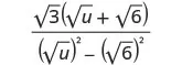
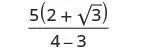
Example 9.71

Simplify: 523523.

Try It 9.141

Simplify: 315315.

Try It 9.142

Simplify: 246246.

Example 9.72

Simplify: 3u63u6.

Try It 9.143

Simplify: 5x+25x+2.

Try It 9.144

Simplify: 10y310y3.

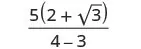
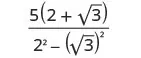
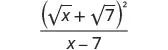
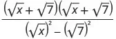
Example 9.73

Simplify: x+7x7x+7x7.

Try It 9.145

Simplify: p+2p2p+2p2.

Try It 9.146

Simplify: q10q+10q10q+10.

Media

Access this online resource for additional instruction and practice with dividing and rationalizing.

Section 9.5 Exercises

Practice Makes Perfect

Divide Square Roots

In the following exercises, simplify.

317.

27 6 27 6

318.

50 10 50 10

319.

72 9 72 9

320.

243 6 243 6

321.

2 32 8 2 32 8

322.

3 + 27 9 3 + 27 9

323.

6 + 45 6 6 + 45 6

324.

10 200 20 10 200 20

325.

80 125 80 125

326.

72 200 72 200

327.

128 72 128 72

328.

48 75 48 75

329.

8x62x28x62x2 200m598m200m598m

330.

10y35y10y35y 108n7243n3108n7243n3

331.

75 r 3 108 r 75 r 3 108 r

332.

196 q 5 484 q 196 q 5 484 q

333.

108 p 5 q 2 3 p 3 q 6 108 p 5 q 2 3 p 3 q 6

334.

98 r s 10 2 r 3 s 4 98 r s 10 2 r 3 s 4

335.

320 m n 5 45 m 7 n 3 320 m n 5 45 m 7 n 3

336.

810 c 3 d 7 1000 c 5 d 810 c 3 d 7 1000 c 5 d

337.

98 14 98 14

338.

72 18 72 18

339.

5 + 125 15 5 + 125 15

340.

6 45 12 6 45 12

341.

96 150 96 150

342.

28 63 28 63

343.

26 y 7 2 y 26 y 7 2 y

344.

15 x 3 3 x 15 x 3 3 x

Rationalize a One-Term Denominator

In the following exercises, simplify and rationalize the denominator.

345.

10 6 10 6

346.

8 3 8 3

347.

6 7 6 7

348.

4 5 4 5

349.

3 13 3 13

350.

10 11 10 11

351.

10 3 10 10 3 10

352.

2 5 2 2 5 2

353.

4 9 5 4 9 5

354.

9 2 7 9 2 7

355.

9 2 3 9 2 3

356.

8 3 6 8 3 6

357.

3 20 3 20

358.

4 27 4 27

359.

7 40 7 40

360.

8 45 8 45

361.

19 175 19 175

362.

17 192 17 192

Rationalize a Two-Term Denominator

In the following exercises, simplify by rationalizing the denominator.

363.

33+1133+11 815815

364.

44+744+7 726726

365.

55+655+6 637637

366.

66+566+5 54115411

367.

3 m 5 3 m 5

368.

5 n 7 5 n 7

369.

2 x 6 2 x 6

370.

7 y + 3 7 y + 3

371.

r + 5 r 5 r + 5 r 5

372.

s 6 s + 6 s 6 s + 6

373.

150 x 2 y 6 6 x 4 y 2 150 x 2 y 6 6 x 4 y 2

374.

80 p 3 q 5 p q 5 80 p 3 q 5 p q 5

375.

15 5 15 5

376.

3 5 8 3 5 8

377.

8 54 8 54

378.

12 20 12 20

379.

3 5 + 5 3 5 + 5

380.

20 4 3 20 4 3

381.

2 x 3 2 x 3

382.

5 y 7 5 y 7

383.

x + 8 x 8 x + 8 x 8

384.

m 3 m + 3 m 3 m + 3

Everyday Math

385.

A supply kit is dropped from an airplane flying at an altitude of 250 feet. Simplify 2501625016 to determine how many seconds it takes for the supply kit to reach the ground.

386.

A flare is dropped into the ocean from an airplane flying at an altitude of 1,200 feet. Simplify 120016120016 to determine how many seconds it takes for the flare to reach the ocean.

Writing Exercises

387.
  1. Simplify 273273 and explain all your steps.
  2. Simplify 275275 and explain all your steps.
  3. Why are the two methods of simplifying square roots different?
388.
  1. Approximate 1212 by dividing 11.41411.414 using long division without a calculator.
  2. Rationalizing the denominator of 1212 gives 22.22. Approximate 2222 by dividing 1.41421.4142 using long division without a calculator.
  3. Do you agree that rationalizing the denominator makes calculations easier? Why or why not?

Self Check

After completing the exercises, use this checklist to evaluate your mastery of the objectives of this section.

This table has four columns and four rows. The columns are labeled, “I can…,” “confidently.,” “with some help.,” and “no – I don’t get it!” The rows under the column “I can…” read, “divide square roots,” “rationalize a one term denominator.,” and “rationalize a two term denominator.” All the other rows under the columns are empty.

After looking at the checklist, do you think you are well-prepared for the next section? Why or why not?

Do you know how you learn best?
Kinetic by OpenStax offers access to innovative study tools designed to help you maximize your learning potential.
Order a print copy

As an Amazon Associate we earn from qualifying purchases.

Citation/Attribution

Want to cite, share, or modify this book? This book uses the Creative Commons Attribution License and you must attribute OpenStax.

Attribution information
  • If you are redistributing all or part of this book in a print format, then you must include on every physical page the following attribution:
    Access for free at https://openstax.org/books/elementary-algebra-2e/pages/1-introduction
  • If you are redistributing all or part of this book in a digital format, then you must include on every digital page view the following attribution:
    Access for free at https://openstax.org/books/elementary-algebra-2e/pages/1-introduction
Citation information

© Jun 14, 2022 OpenStax. Textbook content produced by OpenStax is licensed under a Creative Commons Attribution License . The OpenStax name, OpenStax logo, OpenStax book covers, OpenStax CNX name, and OpenStax CNX logo are not subject to the Creative Commons license and may not be reproduced without the prior and express written consent of Rice University.