Skip to ContentGo to accessibility pageKeyboard shortcuts menu
OpenStax Logo
Elementary Algebra 2e

6.3 Multiply Polynomials

Elementary Algebra 2e6.3 Multiply Polynomials
Search for key terms or text.

Learning Objectives

By the end of this section, you will be able to:

  • Multiply a polynomial by a monomial
  • Multiply a binomial by a binomial
  • Multiply a trinomial by a binomial

Be Prepared 6.6

Before you get started, take this readiness quiz.

Distribute: 2(x+3).2(x+3).
If you missed this problem, review Example 1.132.

Be Prepared 6.7

Combine like terms: x2+9x+7x+63.x2+9x+7x+63.
If you missed this problem, review Example 1.24.

Multiply a Polynomial by a Monomial

We have used the Distributive Property to simplify expressions like 2(x3)2(x3). You multiplied both terms in the parentheses, xand3xand3, by 2, to get 2x62x6. With this chapter’s new vocabulary, you can say you were multiplying a binomial, x3x3, by a monomial, 2.

Multiplying a binomial by a monomial is nothing new for you! Here’s an example:

Example 6.28

Multiply: 4(x+3).4(x+3).

Try It 6.55

Multiply: 5(x+7).5(x+7).

Try It 6.56

Multiply: 3(y+13).3(y+13).

Example 6.29

Multiply: y(y2).y(y2).

Try It 6.57

Multiply: x(x7).x(x7).

Try It 6.58

Multiply: d(d11).d(d11).

Example 6.30

Multiply: 7x(2x+y).7x(2x+y).

Try It 6.59

Multiply: 5x(x+4y).5x(x+4y).

Try It 6.60

Multiply: 2p(6p+r).2p(6p+r).

Example 6.31

Multiply: −2y(4y2+3y5).−2y(4y2+3y5).

Try It 6.61

Multiply: −3y(5y2+8y7).−3y(5y2+8y7).

Try It 6.62

Multiply: 4x2(2x23x+5).4x2(2x23x+5).

Example 6.32

Multiply: 2x3(x28x+1).2x3(x28x+1).

Try It 6.63

Multiply: 4x(3x25x+3).4x(3x25x+3).

Try It 6.64

Multiply: −6a3(3a22a+6).−6a3(3a22a+6).

Example 6.33

Multiply: (x+3)p.(x+3)p.

Try It 6.65

Multiply: (x+8)p.(x+8)p.

Try It 6.66

Multiply: (a+4)p.(a+4)p.

Multiply a Binomial by a Binomial

Just like there are different ways to represent multiplication of numbers, there are several methods that can be used to multiply a binomial times a binomial. We will start by using the Distributive Property.

Multiply a Binomial by a Binomial Using the Distributive Property

Look at Example 6.33, where we multiplied a binomial by a monomial.

x plus 3, in parentheses, times p. Two arrows extend from the p, terminating at x and 3.
We distributed the p to get: x p plus 3 p.
What if we have (x + 7) instead of p? x plus 3 multiplied by x plus 7. Two arrows extend from x plus 7, terminating at the x and the 3 in the first binomial.
Distribute (x + 7). The sum of two products. The product of x and x plus 7, plus the product of 3 and x plus 7.
Distribute again. x squared plus 7 x plus 3 x plus 21.
Combine like terms. x squared plus 10 x plus 21.

Notice that before combining like terms, you had four terms. You multiplied the two terms of the first binomial by the two terms of the second binomial—four multiplications.

Example 6.34

Multiply: (y+5)(y+8).(y+5)(y+8).

Try It 6.67

Multiply: (x+8)(x+9).(x+8)(x+9).

Try It 6.68

Multiply: (5x+9)(4x+3).(5x+9)(4x+3).

Example 6.35

Multiply: (2y+5)(3y+4).(2y+5)(3y+4).

Try It 6.69

Multiply: (3b+5)(4b+6).(3b+5)(4b+6).

Try It 6.70

Multiply: (a+10)(a+7).(a+10)(a+7).

Example 6.36

Multiply: (4y+3)(2y5).(4y+3)(2y5).

Try It 6.71

Multiply: (5y+2)(6y3).(5y+2)(6y3).

Try It 6.72

Multiply: (3c+4)(5c2).(3c+4)(5c2).

Example 6.37

Multiply: (x-2)(xy).(x-2)(xy).

Try It 6.73

Multiply: (a+7)(ab).(a+7)(ab).

Try It 6.74

Multiply: (x+5)(xy).(x+5)(xy).

Multiply a Binomial by a Binomial Using the FOIL Method

Remember that when you multiply a binomial by a binomial you get four terms. Sometimes you can combine like terms to get a trinomial, but sometimes, like in Example 6.37, there are no like terms to combine.

Let’s look at the last example again and pay particular attention to how we got the four terms.

(x2)(xy)x2xy2x+2y(x2)(xy)x2xy2x+2y

Where did the first term, x2x2, come from?

This figure explains how to multiply a binomial using the FOIL method. It has two columns, with written instructions on the left and math on the right. At the top of the figure, the text in the left column says “It is the product of x and x, the first terms in x minus 2 and x minus y.” In the right column is the product of x minus 2 and x minus y. An arrow extends from the x in x minus 2, and terminates at the x in x minus y. Below this is the word “First.” One row down, the text in the left column says “The next terms, negative xy, is the product of x and negative y, the two outer terms.” In the right column is the product of x minus 2 and x minus y, with another arrow extending from the x in x minus 2 to the y in x minus y. Below this is the word “Outer.” One row down, the text in the left column says “The third term, negative 2 x, is the product of negative 2 and x, the two inner terms.” In the right column is the product of x minus 2 and x minus y with a third arrow extending from minus 2 in x minus 2 and terminating at the x in x minus y. Below this is the word “Inner.” In the last row, the text in the left column says “And the last term, plus 2y, came from multiplying the two last terms, negative 2 and negative y.” In the right column is the product of x minus 2 and x minus y, with a fourth arrow extending from the minus 2 in x minus 2 to the minus y in x minus y. Below this is the word “Last.”

We abbreviate “First, Outer, Inner, Last” as FOIL. The letters stand for ‘First, Outer, Inner, Last’. The word FOIL is easy to remember and ensures we find all four products.

(x2)(xy)x2xy2x+2yFOIL(x2)(xy)x2xy2x+2yFOIL

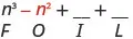
Let’s look at (x+3)(x+7)(x+3)(x+7).

Distibutive Property FOIL
The product of x plus 3 and x plus 7. The product of x plus 3 and x plus y. An arrow extends from the x in x plus 3 to the x in x plus 7. A second arrow extends from the x in x plus 3 to the 7 in x plus 7. A third arrow extends from the 3 in x plus 3 to the x in x plus 7. A fourth arrow extends from the 3 in x plus 3 to the 7 in x plus 7.
The sum of two products, the product of x and x plus 7, and the product of 3 and x plus 7.
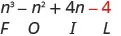
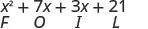
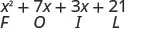
x squared plus 7 x plus 3 x plus 21. Below x squared is the letter F, below 7 x is the letter O, below 3 x is the letter I, and below 21 is the letter L, spelling FOIL. x squared plus 7 x plus 3 x plus 21. Below x squared is the letter F, below 7 x is the letter O, below 3 x is the letter I, and below 21 is the letter L, spelling FOIL.
x squared plus 10 x plus 21. x squared plus 10 x plus 21.

Notice how the terms in third line fit the FOIL pattern.

Now we will do an example where we use the FOIL pattern to multiply two binomials.

Example 6.38

How to Multiply a Binomial by a Binomial using the FOIL Method

Multiply using the FOIL method: (x+5)(x+9).(x+5)(x+9).

Try It 6.75

Multiply using the FOIL method: (x+6)(x+8).(x+6)(x+8).

Try It 6.76

Multiply using the FOIL method: (y+17)(y+3).(y+17)(y+3).

We summarize the steps of the FOIL method below. The FOIL method only applies to multiplying binomials, not other polynomials!

How To

Multiply two binomials using the FOIL method

.

When you multiply by the FOIL method, drawing the lines will help your brain focus on the pattern and make it easier to apply.

Example 6.39

Multiply: (y7)(y+4).(y7)(y+4).

Try It 6.77

Multiply: (x7)(x+5).(x7)(x+5).

Try It 6.78

Multiply: (b3)(b+6).(b3)(b+6).

Example 6.40

Multiply: (4x+3)(2x5).(4x+3)(2x5).

Try It 6.79

Multiply: (3x+7)(5x2).(3x+7)(5x2).

Try It 6.80

Multiply: (4y+5)(4y10).(4y+5)(4y10).

The final products in the last four examples were trinomials because we could combine the two middle terms. This is not always the case.

Example 6.41

Multiply: (3xy)(2x5).(3xy)(2x5).

Try It 6.81

Multiply: (10cd)(c6).(10cd)(c6).

Try It 6.82

Multiply: (7xy)(2x5).(7xy)(2x5).

Be careful of the exponents in the next example.

Example 6.42

Multiply: (n2+4)(n1).(n2+4)(n1).

Try It 6.83

Multiply: (x2+6)(x8).(x2+6)(x8).

Try It 6.84

Multiply: (y2+7)(y9).(y2+7)(y9).

Example 6.43

Multiply: (3pq+5)(6pq11).(3pq+5)(6pq11).

Try It 6.85

Multiply: (2ab+5)(4ab4).(2ab+5)(4ab4).

Try It 6.86

Multiply: (2xy+3)(4xy5).(2xy+3)(4xy5).

Multiply a Binomial by a Binomial Using the Vertical Method

The FOIL method is usually the quickest method for multiplying two binomials, but it only works for binomials. You can use the Distributive Property to find the product of any two polynomials. Another method that works for all polynomials is the Vertical Method. It is very much like the method you use to multiply whole numbers. Look carefully at this example of multiplying two-digit numbers.

This figure shows the vertical multiplication of 23 and 46. The number 23 is above the number 46. Below this, there is the partial product 138 over the partial product 92. The final product is at the bottom and is 1058. Text on the right side of the image says “Start by multiplying 23 by 6 to get 138. Next, multiply 23 by 4, lining up the partial product in the correct columns. Last you add the partial products.”

Now we’ll apply this same method to multiply two binomials.

Example 6.44

Multiply using the Vertical Method: (3y1)(2y6).(3y1)(2y6).

Try It 6.87

Multiply using the Vertical Method: (5m7)(3m6).(5m7)(3m6).

Try It 6.88

Multiply using the Vertical Method: (6b5)(7b3).(6b5)(7b3).

We have now used three methods for multiplying binomials. Be sure to practice each method, and try to decide which one you prefer. The methods are listed here all together, to help you remember them.

Multiplying Two Binomials

To multiply binomials, use the:

  • Distributive Property
  • FOIL Method
  • Vertical Method

Remember, FOIL only works when multiplying two binomials.


Multiply a Trinomial by a Binomial

We have multiplied monomials by monomials, monomials by polynomials, and binomials by binomials. Now we’re ready to multiply a trinomial by a binomial. Remember, FOIL will not work in this case, but we can use either the Distributive Property or the Vertical Method. We first look at an example using the Distributive Property.

Example 6.45

Multiply using the Distributive Property: (b+3)(2b25b+8).(b+3)(2b25b+8).

Try It 6.89

Multiply using the Distributive Property: (y3)(y25y+2).(y3)(y25y+2).

Try It 6.90

Multiply using the Distributive Property: (x+4)(2x23x+5).(x+4)(2x23x+5).

Now let’s do this same multiplication using the Vertical Method.

Example 6.46

Multiply using the Vertical Method: (b+3)(2b25b+8).(b+3)(2b25b+8).

Try It 6.91

Multiply using the Vertical Method: (y3)(y25y+2).(y3)(y25y+2).

Try It 6.92

Multiply using the Vertical Method: (x+4)(2x23x+5).(x+4)(2x23x+5).

We have now seen two methods you can use to multiply a trinomial by a binomial. After you practice each method, you’ll probably find you prefer one way over the other. We list both methods are listed here, for easy reference.

Multiplying a Trinomial by a Binomial

To multiply a trinomial by a binomial, use the:

  • Distributive Property
  • Vertical Method

Media

Access these online resources for additional instruction and practice with multiplying polynomials:

Section 6.3 Exercises

Practice Makes Perfect

Multiply a Polynomial by a Monomial

In the following exercises, multiply.

173.

4 ( w + 10 ) 4 ( w + 10 )

174.

6 ( b + 8 ) 6 ( b + 8 )

175.

−3 ( a + 7 ) −3 ( a + 7 )

176.

−5 ( p + 9 ) −5 ( p + 9 )

177.

2 ( x 7 ) 2 ( x 7 )

178.

7 ( y 4 ) 7 ( y 4 )

179.

−3 ( k 4 ) −3 ( k 4 )

180.

−8 ( j 5 ) −8 ( j 5 )

181.

q ( q + 5 ) q ( q + 5 )

182.

k ( k + 7 ) k ( k + 7 )

183.

b ( b + 9 ) b ( b + 9 )

184.

y ( y + 3 ) y ( y + 3 )

185.

x ( x 10 ) x ( x 10 )

186.

p ( p 15 ) p ( p 15 )

187.

6 r ( 4 r + s ) 6 r ( 4 r + s )

188.

5 c ( 9 c + d ) 5 c ( 9 c + d )

189.

12 x ( x 10 ) 12 x ( x 10 )

190.

9 m ( m 11 ) 9 m ( m 11 )

191.

−9 a ( 3 a + 5 ) −9 a ( 3 a + 5 )

192.

−4 p ( 2 p + 7 ) −4 p ( 2 p + 7 )

193.

3 ( p 2 + 10 p + 25 ) 3 ( p 2 + 10 p + 25 )

194.

6 ( y 2 + 8 y + 16 ) 6 ( y 2 + 8 y + 16 )

195.

−8 x ( x 2 + 2 x 15 ) −8 x ( x 2 + 2 x 15 )

196.

−5 t ( t 2 + 3 t 18 ) −5 t ( t 2 + 3 t 18 )

197.

5 q 3 ( q 3 2 q + 6 ) 5 q 3 ( q 3 2 q + 6 )

198.

4 x 3 ( x 4 3 x + 7 ) 4 x 3 ( x 4 3 x + 7 )

199.

−8 y ( y 2 + 2 y 15 ) −8 y ( y 2 + 2 y 15 )

200.

−5 m ( m 2 + 3 m 18 ) −5 m ( m 2 + 3 m 18 )

201.

5 q 3 ( q 2 2 q + 6 ) 5 q 3 ( q 2 2 q + 6 )

202.

9 r 3 ( r 2 3 r + 5 ) 9 r 3 ( r 2 3 r + 5 )

203.

−4 z 2 ( 3 z 2 + 12 z 1 ) −4 z 2 ( 3 z 2 + 12 z 1 )

204.

−3 x 2 ( 7 x 2 + 10 x 1 ) −3 x 2 ( 7 x 2 + 10 x 1 )

205.

( 2 m 9 ) m ( 2 m 9 ) m

206.

( 8 j 1 ) j ( 8 j 1 ) j

207.

( w 6 ) · 8 ( w 6 ) · 8

208.

( k 4 ) · 5 ( k 4 ) · 5

209.

4 ( x + 10 ) 4 ( x + 10 )

210.

6 ( y + 8 ) 6 ( y + 8 )

211.

15 ( r 24 ) 15 ( r 24 )

212.

12 ( v 30 ) 12 ( v 30 )

213.

−3 ( m + 11 ) −3 ( m + 11 )

214.

−4 ( p + 15 ) −4 ( p + 15 )

215.

−8 ( z 5 ) −8 ( z 5 )

216.

−3 ( x 9 ) −3 ( x 9 )

217.

u ( u + 5 ) u ( u + 5 )

218.

q ( q + 7 ) q ( q + 7 )

219.

n ( n 2 3 n ) n ( n 2 3 n )

220.

s ( s 2 6 s ) s ( s 2 6 s )

221.

6 x ( 4 x + y ) 6 x ( 4 x + y )

222.

5 a ( 9 a + b ) 5 a ( 9 a + b )

223.

5 p ( 11 p 5 q ) 5 p ( 11 p 5 q )

224.

12 u ( 3 u 4 v ) 12 u ( 3 u 4 v )

225.

3 ( v 2 + 10 v + 25 ) 3 ( v 2 + 10 v + 25 )

226.

6 ( x 2 + 8 x + 16 ) 6 ( x 2 + 8 x + 16 )

227.

2 n ( 4 n 2 4 n + 1 ) 2 n ( 4 n 2 4 n + 1 )

228.

3 r ( 2 r 2 6 r + 2 ) 3 r ( 2 r 2 6 r + 2 )

229.

−8 y ( y 2 + 2 y 15 ) −8 y ( y 2 + 2 y 15 )

230.

−5 m ( m 2 + 3 m 18 ) −5 m ( m 2 + 3 m 18 )

231.

5 q 3 ( q 2 2 q + 6 ) 5 q 3 ( q 2 2 q + 6 )

232.

9 r 3 ( r 2 3 r + 5 ) 9 r 3 ( r 2 3 r + 5 )

233.

−4 z 2 ( 3 z 2 + 12 z 1 ) −4 z 2 ( 3 z 2 + 12 z 1 )

234.

−3 x 2 ( 7 x 2 + 10 x 1 ) −3 x 2 ( 7 x 2 + 10 x 1 )

235.

( 2 y 9 ) y ( 2 y 9 ) y

236.

( 8 b 1 ) b ( 8 b 1 ) b

Multiply a Binomial by a Binomial

In the following exercises, multiply the following binomials using: the Distributive Property the FOIL method the Vertical Method.

237.

( w + 5 ) ( w + 7 ) ( w + 5 ) ( w + 7 )

238.

( y + 9 ) ( y + 3 ) ( y + 9 ) ( y + 3 )

239.

( p + 11 ) ( p 4 ) ( p + 11 ) ( p 4 )

240.

( q + 4 ) ( q 8 ) ( q + 4 ) ( q 8 )

In the following exercises, multiply the binomials. Use any method.

241.

( x + 8 ) ( x + 3 ) ( x + 8 ) ( x + 3 )

242.

( y + 7 ) ( y + 4 ) ( y + 7 ) ( y + 4 )

243.

( y 6 ) ( y 2 ) ( y 6 ) ( y 2 )

244.

( x 7 ) ( x 2 ) ( x 7 ) ( x 2 )

245.

( w 4 ) ( w + 7 ) ( w 4 ) ( w + 7 )

246.

( q 5 ) ( q + 8 ) ( q 5 ) ( q + 8 )

247.

( p + 12 ) ( p 5 ) ( p + 12 ) ( p 5 )

248.

( m + 11 ) ( m 4 ) ( m + 11 ) ( m 4 )

249.

( 6 p + 5 ) ( p + 1 ) ( 6 p + 5 ) ( p + 1 )

250.

( 7 m + 1 ) ( m + 3 ) ( 7 m + 1 ) ( m + 3 )

251.

( 2 t 9 ) ( 10 t + 1 ) ( 2 t 9 ) ( 10 t + 1 )

252.

( 3 r 8 ) ( 11 r + 1 ) ( 3 r 8 ) ( 11 r + 1 )

253.

( 5 x y ) ( 3 x 6 ) ( 5 x y ) ( 3 x 6 )

254.

( 10 a b ) ( 3 a 4 ) ( 10 a b ) ( 3 a 4 )

255.

( a + b ) ( 2 a + 3 b ) ( a + b ) ( 2 a + 3 b )

256.

( r + s ) ( 3 r + 2 s ) ( r + s ) ( 3 r + 2 s )

257.

( 4 z y ) ( z 6 ) ( 4 z y ) ( z 6 )

258.

( 5 x y ) ( x 4 ) ( 5 x y ) ( x 4 )

259.

( x 2 + 3 ) ( x + 2 ) ( x 2 + 3 ) ( x + 2 )

260.

( y 2 4 ) ( y + 3 ) ( y 2 4 ) ( y + 3 )

261.

( x 2 + 8 ) ( x 2 5 ) ( x 2 + 8 ) ( x 2 5 )

262.

( y 2 7 ) ( y 2 4 ) ( y 2 7 ) ( y 2 4 )

263.

( 5 a b 1 ) ( 2 a b + 3 ) ( 5 a b 1 ) ( 2 a b + 3 )

264.

( 2 x y + 3 ) ( 3 x y + 2 ) ( 2 x y + 3 ) ( 3 x y + 2 )

265.

( 6 p q 3 ) ( 4 p q 5 ) ( 6 p q 3 ) ( 4 p q 5 )

266.

( 3 r s 7 ) ( 3 r s 4 ) ( 3 r s 7 ) ( 3 r s 4 )

Multiply a Trinomial by a Binomial

In the following exercises, multiply using the Distributive Property the Vertical Method.

267.

( x + 5 ) ( x 2 + 4 x + 3 ) ( x + 5 ) ( x 2 + 4 x + 3 )

268.

( u + 4 ) ( u 2 + 3 u + 2 ) ( u + 4 ) ( u 2 + 3 u + 2 )

269.

( y + 8 ) ( 4 y 2 + y 7 ) ( y + 8 ) ( 4 y 2 + y 7 )

270.

( a + 10 ) ( 3 a 2 + a 5 ) ( a + 10 ) ( 3 a 2 + a 5 )

In the following exercises, multiply. Use either method.

271.

( w 7 ) ( w 2 9 w + 10 ) ( w 7 ) ( w 2 9 w + 10 )

272.

( p 4 ) ( p 2 6 p + 9 ) ( p 4 ) ( p 2 6 p + 9 )

273.

( 3 q + 1 ) ( q 2 4 q 5 ) ( 3 q + 1 ) ( q 2 4 q 5 )

274.

( 6 r + 1 ) ( r 2 7 r 9 ) ( 6 r + 1 ) ( r 2 7 r 9 )

Mixed Practice

275.

( 10 y 6 ) + ( 4 y 7 ) ( 10 y 6 ) + ( 4 y 7 )

276.

( 15 p 4 ) + ( 3 p 5 ) ( 15 p 4 ) + ( 3 p 5 )

277.

( x 2 4 x 34 ) ( x 2 + 7 x 6 ) ( x 2 4 x 34 ) ( x 2 + 7 x 6 )

278.

( j 2 8 j 27 ) ( j 2 + 2 j 12 ) ( j 2 8 j 27 ) ( j 2 + 2 j 12 )

279.

5 q ( 3 q 2 6 q + 11 ) 5 q ( 3 q 2 6 q + 11 )

280.

8 t ( 2 t 2 5 t + 6 ) 8 t ( 2 t 2 5 t + 6 )

281.

( s 7 ) ( s + 9 ) ( s 7 ) ( s + 9 )

282.

( x 5 ) ( x + 13 ) ( x 5 ) ( x + 13 )

283.

( y 2 2 y ) ( y + 1 ) ( y 2 2 y ) ( y + 1 )

284.

( a 2 3 a ) ( 4 a + 5 ) ( a 2 3 a ) ( 4 a + 5 )

285.

( 3 n 4 ) ( n 2 + n 7 ) ( 3 n 4 ) ( n 2 + n 7 )

286.

( 6 k 1 ) ( k 2 + 2 k 4 ) ( 6 k 1 ) ( k 2 + 2 k 4 )

287.

( 7 p + 10 ) ( 7 p 10 ) ( 7 p + 10 ) ( 7 p 10 )

288.

( 3 y + 8 ) ( 3 y 8 ) ( 3 y + 8 ) ( 3 y 8 )

289.

( 4 m 2 3 m 7 ) m 2 ( 4 m 2 3 m 7 ) m 2

290.

( 15 c 2 4 c + 5 ) c 4 ( 15 c 2 4 c + 5 ) c 4

291.

( 5 a + 7 b ) ( 5 a + 7 b ) ( 5 a + 7 b ) ( 5 a + 7 b )

292.

( 3 x 11 y ) ( 3 x 11 y ) ( 3 x 11 y ) ( 3 x 11 y )

293.

( 4 y + 12 z ) ( 4 y 12 z ) ( 4 y + 12 z ) ( 4 y 12 z )

Everyday Math

294.

Mental math You can use binomial multiplication to multiply numbers without a calculator. Say you need to multiply 13 times 15. Think of 13 as 10+310+3 and 15 as 10+510+5.

  1. Multiply (10+3)(10+5)(10+3)(10+5) by the FOIL method.
  2. Multiply 13·1513·15 without using a calculator.
  3. Which way is easier for you? Why?
295.

Mental math You can use binomial multiplication to multiply numbers without a calculator. Say you need to multiply 18 times 17. Think of 18 as 202202 and 17 as 203203.

  1. Multiply (202)(203)(202)(203) by the FOIL method.
  2. Multiply 18·1718·17 without using a calculator.
  3. Which way is easier for you? Why?

Writing Exercises

296.

Which method do you prefer to use when multiplying two binomials: the Distributive Property, the FOIL method, or the Vertical Method? Why?

297.

Which method do you prefer to use when multiplying a trinomial by a binomial: the Distributive Property or the Vertical Method? Why?

298.

Multiply the following:

( x + 2 ) ( x 2 ) ( y + 7 ) ( y 7 ) ( w + 5 ) ( w 5 ) ( x + 2 ) ( x 2 ) ( y + 7 ) ( y 7 ) ( w + 5 ) ( w 5 )

Explain the pattern that you see in your answers.

299.

Multiply the following:

( m 3 ) ( m + 3 ) ( n 10 ) ( n + 10 ) ( p 8 ) ( p + 8 ) ( m 3 ) ( m + 3 ) ( n 10 ) ( n + 10 ) ( p 8 ) ( p + 8 )

Explain the pattern that you see in your answers.

300.

Multiply the following:

( p + 3 ) ( p + 3 ) ( q + 6 ) ( q + 6 ) ( r + 1 ) ( r + 1 ) ( p + 3 ) ( p + 3 ) ( q + 6 ) ( q + 6 ) ( r + 1 ) ( r + 1 )

Explain the pattern that you see in your answers.

301.

Multiply the following:

( x 4 ) ( x 4 ) ( y 1 ) ( y 1 ) ( z 7 ) ( z 7 ) ( x 4 ) ( x 4 ) ( y 1 ) ( y 1 ) ( z 7 ) ( z 7 )

Explain the pattern that you see in your answers.

Self Check

After completing the exercises, use this checklist to evaluate your mastery of the objectives of this section.

This is a table that has four rows and four columns. In the first row, which is a header row, the cells read from left to right “I can…,” “Confidently,” “With some help,” and “No-I don’t get it!” The first column below “I can…” reads “multiply a polynomial by a monomial,” “multiply a binomial by a binomial,” and “multiply a trinomial by a binomial.” The rest of the cells are blank.

What does this checklist tell you about your mastery of this section? What steps will you take to improve?

Citation/Attribution

This book may not be used in the training of large language models or otherwise be ingested into large language models or generative AI offerings without OpenStax's permission.

Want to cite, share, or modify this book? This book uses the Creative Commons Attribution License and you must attribute OpenStax.

Attribution information
  • If you are redistributing all or part of this book in a print format, then you must include on every physical page the following attribution:

    Access for free at https://openstax.org/books/elementary-algebra-2e/pages/1-introduction

  • If you are redistributing all or part of this book in a digital format, then you must include on every digital page view the following attribution:

    Access for free at https://openstax.org/books/elementary-algebra-2e/pages/1-introduction

Citation information

© Jul 8, 2025 OpenStax. Textbook content produced by OpenStax is licensed under a Creative Commons Attribution License . The OpenStax name, OpenStax logo, OpenStax book covers, OpenStax CNX name, and OpenStax CNX logo are not subject to the Creative Commons license and may not be reproduced without the prior and express written consent of Rice University.