Skip to ContentGo to accessibility pageKeyboard shortcuts menu
OpenStax Logo
Elementary Algebra 2e

5.3 Solve Systems of Equations by Elimination

Elementary Algebra 2e5.3 Solve Systems of Equations by Elimination
Search for key terms or text.

Learning Objectives

By the end of this section, you will be able to:

  • Solve a system of equations by elimination
  • Solve applications of systems of equations by elimination
  • Choose the most convenient method to solve a system of linear equations

Be Prepared 5.8

Before you get started, take this readiness quiz.

Simplify −5(63a)−5(63a).
If you missed this problem, review Example 1.136.

Be Prepared 5.9

Solve the equation 13x+58=312413x+58=3124.
If you missed this problem, review Example 2.48.

We have solved systems of linear equations by graphing and by substitution. Graphing works well when the variable coefficients are small and the solution has integer values. Substitution works well when we can easily solve one equation for one of the variables and not have too many fractions in the resulting expression.

The third method of solving systems of linear equations is called the Elimination Method. When we solved a system by substitution, we started with two equations and two variables and reduced it to one equation with one variable. This is what we’ll do with the elimination method, too, but we’ll have a different way to get there.

Solve a System of Equations by Elimination

The Elimination Method is based on the Addition Property of Equality. The Addition Property of Equality says that when you add the same quantity to both sides of an equation, you still have equality. We will extend the Addition Property of Equality to say that when you add equal quantities to both sides of an equation, the results are equal.

For any expressions a, b, c, and d,

ifa=bandc=dthena+c=b+difa=bandc=dthena+c=b+d

To solve a system of equations by elimination, we start with both equations in standard form. Then we decide which variable will be easiest to eliminate. How do we decide? We want to have the coefficients of one variable be opposites, so that we can add the equations together and eliminate that variable.

Notice how that works when we add these two equations together:

3x+y=52xy=0_________5x=53x+y=52xy=0_________5x=5

The y’s add to zero and we have one equation with one variable.

Let’s try another one:

{x+4y=22x+5y=−2{x+4y=22x+5y=−2

This time we don’t see a variable that can be immediately eliminated if we add the equations.

But if we multiply the first equation by −2, we will make the coefficients of x opposites. We must multiply every term on both sides of the equation by −2.

This figure shows two equations. The first is negative 2 times x plus 4y in parentheses equals negative 2 times 2. The second is 2x + 5y = negative 2. This figure shows two equations. The first is negative 2x minus 8y = negative 4. The second is 2x + 5y = -negative 2.

Now we see that the coefficients of the x terms are opposites, so x will be eliminated when we add these two equations.

Add the equations yourself—the result should be −3y = −6. And that looks easy to solve, doesn’t it? Here is what it would look like.

This figure shows two equations being added together. The first is negative 2x – 8y = −4 and 2x plus 5y = negative 2. The answer is negative 3y = negative 6.

We’ll do one more:

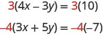
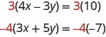
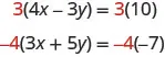
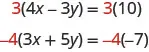
{4x3y=103x+5y=−7{4x3y=103x+5y=−7

It doesn’t appear that we can get the coefficients of one variable to be opposites by multiplying one of the equations by a constant, unless we use fractions. So instead, we’ll have to multiply both equations by a constant.

We can make the coefficients of x be opposites if we multiply the first equation by 3 and the second by −4, so we get 12x and −12x.

This figure shows two equations. The first is 3 times 4x minus 3y in parentheses equals 3 times 10. The second is negative 4 times 3x plus 5y in parentheses equals negative 4 times negative 7.

This gives us these two new equations:

{12x9y=30−12x20y=28{12x9y=30−12x20y=28

When we add these equations,

{12x9y=30−12x20y=28_____________29y=58{12x9y=30−12x20y=28_____________29y=58

the x’s are eliminated and we just have −29y = 58.

Once we get an equation with just one variable, we solve it. Then we substitute that value into one of the original equations to solve for the remaining variable. And, as always, we check our answer to make sure it is a solution to both of the original equations.

Now we’ll see how to use elimination to solve the same system of equations we solved by graphing and by substitution.

Example 5.25

How to Solve a System of Equations by Elimination

Solve the system by elimination. {2x+y=7x2y=6{2x+y=7x2y=6

Try It 5.49

Solve the system by elimination. {3x+y=52x3y=7{3x+y=52x3y=7

Try It 5.50

Solve the system by elimination. {4x+y=−5−2x2y=−2{4x+y=−5−2x2y=−2

The steps are listed below for easy reference.

How To

How to solve a system of equations by elimination.

  1. Step 1. Write both equations in standard form. If any coefficients are fractions, clear them.
  2. Step 2.
    Make the coefficients of one variable opposites.
    • Decide which variable you will eliminate.
    • Multiply one or both equations so that the coefficients of that variable are opposites.
  3. Step 3. Add the equations resulting from Step 2 to eliminate one variable.
  4. Step 4. Solve for the remaining variable.
  5. Step 5. Substitute the solution from Step 4 into one of the original equations. Then solve for the other variable.
  6. Step 6. Write the solution as an ordered pair.
  7. Step 7. Check that the ordered pair is a solution to both original equations.

First we’ll do an example where we can eliminate one variable right away.

Example 5.26

Solve the system by elimination. {x+y=10xy=12{x+y=10xy=12

Try It 5.51

Solve the system by elimination. {2x+y=5xy=4{2x+y=5xy=4

Try It 5.52

Solve the system by elimination. {x+y=3−2xy=−1{x+y=3−2xy=−1

In Example 5.27, we will be able to make the coefficients of one variable opposites by multiplying one equation by a constant.

Example 5.27

Solve the system by elimination. {3x2y=−25x6y=10{3x2y=−25x6y=10

Try It 5.53

Solve the system by elimination. {4x3y=15x9y=−4{4x3y=15x9y=−4

Try It 5.54

Solve the system by elimination. {3x+2y=26x+5y=8{3x+2y=26x+5y=8

Now we’ll do an example where we need to multiply both equations by constants in order to make the coefficients of one variable opposites.

Example 5.28

Solve the system by elimination. {4x3y=97x+2y=−6{4x3y=97x+2y=−6

Try It 5.55

Solve the system by elimination. {3x4y=−95x+3y=14{3x4y=−95x+3y=14

Try It 5.56

Solve the system by elimination. {7x+8y=43x5y=27{7x+8y=43x5y=27

When the system of equations contains fractions, we will first clear the fractions by multiplying each equation by its LCD.

Example 5.29

Solve the system by elimination. {x+12y=632x+23y=172{x+12y=632x+23y=172

Try It 5.57

Solve the system by elimination. {13x12y=134xy=52{13x12y=134xy=52

Try It 5.58

Solve the system by elimination. {x+35y=1512x23y=56{x+35y=1512x23y=56

In the Solving Systems of Equations by Graphing we saw that not all systems of linear equations have a single ordered pair as a solution. When the two equations were really the same line, there were infinitely many solutions. We called that a consistent system. When the two equations described parallel lines, there was no solution. We called that an inconsistent system.

Example 5.30

Solve the system by elimination. {3x+4y=12y=334x{3x+4y=12y=334x

Try It 5.59

Solve the system by elimination. {5x3y=15y=−5+53x{5x3y=15y=−5+53x

Try It 5.60

Solve the system by elimination. {x+2y=6y=12x+3{x+2y=6y=12x+3

Example 5.31

Solve the system by elimination. {−6x+15y=102x5y=−5{−6x+15y=102x5y=−5

Try It 5.61

Solve the system by elimination. {−3x+2y=89x6y=13{−3x+2y=89x6y=13

Try It 5.62

Solve the system by elimination. {7x3y=2−14x+6y=8{7x3y=2−14x+6y=8

Solve Applications of Systems of Equations by Elimination

Some applications problems translate directly into equations in standard form, so we will use the elimination method to solve them. As before, we use our Problem Solving Strategy to help us stay focused and organized.

Example 5.32

The sum of two numbers is 39. Their difference is 9. Find the numbers.

Try It 5.63

The sum of two numbers is 42. Their difference is 8. Find the numbers.

Try It 5.64

The sum of two numbers is −15. Their difference is −35. Find the numbers.

Example 5.33

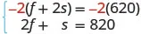
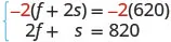
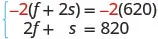
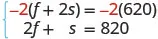
Joe stops at a burger restaurant every day on his way to work. Monday he had one order of medium fries and two small sodas, which had a total of 620 calories. Tuesday he had two orders of medium fries and one small soda, for a total of 820 calories. How many calories are there in one order of medium fries? How many calories in one small soda?

Try It 5.65

Malik stops at the grocery store to buy a bag of diapers and 2 cans of formula. He spends a total of $37. The next week he stops and buys 2 bags of diapers and 5 cans of formula for a total of $87. How much does a bag of diapers cost? How much is one can of formula?

Try It 5.66

To get her daily intake of fruit for the day, Sasha eats a banana and 8 strawberries on Wednesday for a calorie count of 145. On the following Wednesday, she eats two bananas and 5 strawberries for a total of 235 calories for the fruit. How many calories are there in a banana? How many calories are in a strawberry?

Choose the Most Convenient Method to Solve a System of Linear Equations

When you will have to solve a system of linear equations in a later math class, you will usually not be told which method to use. You will need to make that decision yourself. So you’ll want to choose the method that is easiest to do and minimizes your chance of making mistakes.

This table has two rows and three columns. The first row labels the columns as “Graphing,” “Substitution,” and “Elimination.” Under “Graphing” it says, “Use when you need a picture of the situation.” Under “Substitution” it says, “Use when one equation is already solved for one variable.” Under “Elimination” it says, “Use when the equations are in standard form.”

Example 5.34

For each system of linear equations decide whether it would be more convenient to solve it by substitution or elimination. Explain your answer.

{3x+8y=407x4y=−32{3x+8y=407x4y=−32 {5x+6y=12y=23x1{5x+6y=12y=23x1

Try It 5.67

For each system of linear equations, decide whether it would be more convenient to solve it by substitution or elimination. Explain your answer.

{4x5y=−323x+2y=−1{4x5y=−323x+2y=−1 {x=2y13x5y=7{x=2y13x5y=7

Try It 5.68

For each system of linear equations, decide whether it would be more convenient to solve it by substitution or elimination. Explain your answer.

{y=2x13x4y=6{y=2x13x4y=6 {6x2y=123x+7y=−13{6x2y=123x+7y=−13

Media

Access these online resources for additional instruction and practice with solving systems of linear equations by elimination.

Section 5.3 Exercises

Practice Makes Perfect

Solve a System of Equations by Elimination

In the following exercises, solve the systems of equations by elimination.

126.

{ 5 x + 2 y = 2 −3 x y = 0 { 5 x + 2 y = 2 −3 x y = 0

127.

{ −3 x + y = −9 x 2 y = −12 { −3 x + y = −9 x 2 y = −12

128.

{ 6 x 5 y = −1 2 x + y = 13 { 6 x 5 y = −1 2 x + y = 13

129.

{ 3 x y = −7 4 x + 2 y = −6 { 3 x y = −7 4 x + 2 y = −6

130.

{ x + y = −1 x y = −5 { x + y = −1 x y = −5

131.

{ x + y = −8 x y = −6 { x + y = −8 x y = −6

132.

{ 3 x 2 y = 1 x + 2 y = 9 { 3 x 2 y = 1 x + 2 y = 9

133.

{ −7 x + 6 y = −10 x 6 y = 22 { −7 x + 6 y = −10 x 6 y = 22

134.

{ 3 x + 2 y = −3 x 2 y = −19 { 3 x + 2 y = −3 x 2 y = −19

135.

{ 5 x + 2 y = 1 −5 x 4 y = −7 { 5 x + 2 y = 1 −5 x 4 y = −7

136.

{ 6 x + 4 y = −4 −6 x 5 y = 8 { 6 x + 4 y = −4 −6 x 5 y = 8

137.

{ 3 x 4 y = −11 x 2 y = −5 { 3 x 4 y = −11 x 2 y = −5

138.

{ 5 x 7 y = 29 x + 3 y = −3 { 5 x 7 y = 29 x + 3 y = −3

139.

{ 6 x 5 y = −75 x 2 y = −13 { 6 x 5 y = −75 x 2 y = −13

140.

{ x + 4 y = 8 3 x + 5 y = 10 { x + 4 y = 8 3 x + 5 y = 10

141.

{ 2 x 5 y = 7 3 x y = 17 { 2 x 5 y = 7 3 x y = 17

142.

{ 5 x 3 y = −1 2 x y = 2 { 5 x 3 y = −1 2 x y = 2

143.

{ 7 x + y = −4 13 x + 3 y = 4 { 7 x + y = −4 13 x + 3 y = 4

144.

{ −3 x + 5 y = −13 2 x + y = −26 { −3 x + 5 y = −13 2 x + y = −26

145.

{ 3 x 5 y = −9 5 x + 2 y = 16 { 3 x 5 y = −9 5 x + 2 y = 16

146.

{ 4 x 3 y = 3 2 x + 5 y = −31 { 4 x 3 y = 3 2 x + 5 y = −31

147.

{ 4 x + 7 y = 14 −2 x + 3 y = 32 { 4 x + 7 y = 14 −2 x + 3 y = 32

148.

{ 5 x + 2 y = 21 7 x 4 y = 9 { 5 x + 2 y = 21 7 x 4 y = 9

149.

{ 3 x + 8 y = −3 2 x + 5 y = −3 { 3 x + 8 y = −3 2 x + 5 y = −3

150.

{ 11 x + 9 y = −5 7 x + 5 y = −1 { 11 x + 9 y = −5 7 x + 5 y = −1

151.

{ 3 x + 8 y = 67 5 x + 3 y = 60 { 3 x + 8 y = 67 5 x + 3 y = 60

152.

{ 2 x + 9 y = −4 3 x + 13 y = −7 { 2 x + 9 y = −4 3 x + 13 y = −7

153.

{ 1 3 x y = −3 x + 5 2 y = 2 { 1 3 x y = −3 x + 5 2 y = 2

154.

{ x + 1 2 y = 3 2 1 5 x 1 5 y = 3 { x + 1 2 y = 3 2 1 5 x 1 5 y = 3

155.

{ x + 1 3 y = −1 1 2 x 1 3 y = −2 { x + 1 3 y = −1 1 2 x 1 3 y = −2

156.

{ 1 3 x y = −3 2 3 x + 5 2 y = 3 { 1 3 x y = −3 2 3 x + 5 2 y = 3

157.

{ 2 x + y = 3 6 x + 3 y = 9 { 2 x + y = 3 6 x + 3 y = 9

158.

{ x 4 y = −1 −3 x + 12 y = 3 { x 4 y = −1 −3 x + 12 y = 3

159.

{ −3 x y = 8 6 x + 2 y = −16 { −3 x y = 8 6 x + 2 y = −16

160.

{ 4 x + 3 y = 2 20 x + 15 y = 10 { 4 x + 3 y = 2 20 x + 15 y = 10

161.

{ 3 x + 2 y = 6 −6 x 4 y = −12 { 3 x + 2 y = 6 −6 x 4 y = −12

162.

{ 5 x 8 y = 12 10 x 16 y = 20 { 5 x 8 y = 12 10 x 16 y = 20

163.

{ −11 x + 12 y = 60 −22 x + 24 y = 90 { −11 x + 12 y = 60 −22 x + 24 y = 90

164.

{ 7 x 9 y = 16 −21 x + 27 y = −24 { 7 x 9 y = 16 −21 x + 27 y = −24

165.

{ 5 x 3 y = 15 y = 5 3 x 2 { 5 x 3 y = 15 y = 5 3 x 2

166.

{ 2 x + 4 y = 7 y = 1 2 x 4 { 2 x + 4 y = 7 y = 1 2 x 4

Solve Applications of Systems of Equations by Elimination

In the following exercises, translate to a system of equations and solve.

167.

The sum of two numbers is 65. Their difference is 25. Find the numbers.

168.

The sum of two numbers is 37. Their difference is 9. Find the numbers.

169.

The sum of two numbers is −27. Their difference is −59. Find the numbers.

170.

The sum of two numbers is −45. Their difference is −89. Find the numbers.

171.

Andrea is buying some new shirts and sweaters. She is able to buy 3 shirts and 2 sweaters for $114 or she is able to buy 2 shirts and 4 sweaters for $164. How much does a shirt cost? How much does a sweater cost?

172.

Peter is buying office supplies. He is able to buy 3 packages of paper and 4 staplers for $40 or he is able to buy 5 packages of paper and 6 staplers for $62. How much does a package of paper cost? How much does a stapler cost?

173.

The total amount of sodium in 2 hot dogs and 3 cups of cottage cheese is 4720 mg. The total amount of sodium in 5 hot dogs and 2 cups of cottage cheese is 6300 mg. How much sodium is in a hot dog? How much sodium is in a cup of cottage cheese?

174.

The total number of calories in 2 hot dogs and 3 cups of cottage cheese is 960 calories. The total number of calories in 5 hot dogs and 2 cups of cottage cheese is 1190 calories. How many calories are in a hot dog? How many calories are in a cup of cottage cheese?

Choose the Most Convenient Method to Solve a System of Linear Equations

In the following exercises, decide whether it would be more convenient to solve the system of equations by substitution or elimination.

175.


{8x15y=−326x+3y=−5{8x15y=−326x+3y=−5 {x=4y34x2y=−6{x=4y34x2y=−6

176.


{y=7x53x2y=16{y=7x53x2y=16 {12x5y=−423x+7y=−15{12x5y=−423x+7y=−15

177.


{y=4x+95x2y=−21{y=4x+95x2y=−21 {9x4y=243x+5y=−14{9x4y=243x+5y=−14

178.


{14x15y=−307x+2y=10{14x15y=−307x+2y=10 {x=9y112x7y=−27{x=9y112x7y=−27

Everyday Math

179.

Norris can row 3 miles upstream against the current in 1 hour, the same amount of time it takes him to row 5 miles downstream, with the current. Solve the system. {rc=3r+c=5{rc=3r+c=5

  1. for rr, his rowing speed in still water.
  2. Then solve for cc, the speed of the river current.
180.

Josie wants to make 10 pounds of trail mix using nuts and raisins, and she wants the total cost of the trail mix to be $54. Nuts cost $6 per pound and raisins cost $3 per pound. Solve the system {n+r=106n+3r=54{n+r=106n+3r=54 to find nn, the number of pounds of nuts, and rr, the number of pounds of raisins she should use.

Writing Exercises

181.

Solve the system
{x+y=105x+8y=56{x+y=105x+8y=56

by substitution by graphing Which method do you prefer? Why?

182.

Solve the system
{x+y=−12y=412x{x+y=−12y=412x

by substitution by graphing Which method do you prefer? Why?

Self Check

After completing the exercises, use this checklist to evaluate your mastery of the objectives of this section.

This figure shows a table with four rows and four columns. The columns are labeled, “I can…,” “Confidently.” “With some help.” and “No - I don’t get it.” The only column with filled in cells below it is labeled “I can…” It reads, “solve a system of equations by elimination.” “solve applications of systems of equations by elimination.” and “choose the most convenient method to solve a system of linear equations.”

What does this checklist tell you about your mastery of this section? What steps will you take to improve?

Citation/Attribution

This book may not be used in the training of large language models or otherwise be ingested into large language models or generative AI offerings without OpenStax's permission.

Want to cite, share, or modify this book? This book uses the Creative Commons Attribution License and you must attribute OpenStax.

Attribution information
  • If you are redistributing all or part of this book in a print format, then you must include on every physical page the following attribution:

    Access for free at https://openstax.org/books/elementary-algebra-2e/pages/1-introduction

  • If you are redistributing all or part of this book in a digital format, then you must include on every digital page view the following attribution:

    Access for free at https://openstax.org/books/elementary-algebra-2e/pages/1-introduction

Citation information

© Jul 8, 2025 OpenStax. Textbook content produced by OpenStax is licensed under a Creative Commons Attribution License . The OpenStax name, OpenStax logo, OpenStax book covers, OpenStax CNX name, and OpenStax CNX logo are not subject to the Creative Commons license and may not be reproduced without the prior and express written consent of Rice University.