Skip to ContentGo to accessibility pageKeyboard shortcuts menu
OpenStax Logo
Elementary Algebra 2e

4.6 Find the Equation of a Line

Elementary Algebra 2e4.6 Find the Equation of a Line
Search for key terms or text.

Learning Objectives

By the end of this section, you will be able to:

  • Find an equation of the line given the slope and yy-intercept
  • Find an equation of the line given the slope and a point
  • Find an equation of the line given two points
  • Find an equation of a line parallel to a given line
  • Find an equation of a line perpendicular to a given line

Be Prepared 4.13

Before you get started, take this readiness quiz.

Solve: 23=x523=x5.
If you missed this problem, review Example 2.14.

Be Prepared 4.14

Simplify: 25(x15)25(x15).
If you missed this problem, review Example 1.133.

How do online retailers know that ‘you may also like’ a particular item based on something you just ordered? How can economists know how a rise in the minimum wage will affect the unemployment rate? How do medical researchers create drugs to target cancer cells? How can traffic engineers predict the effect on your commuting time of an increase or decrease in gas prices? It’s all mathematics.

You are at an exciting point in your mathematical journey as the mathematics you are studying has interesting applications in the real world.

The physical sciences, social sciences, and the business world are full of situations that can be modeled with linear equations relating two variables. Data is collected and graphed. If the data points appear to form a straight line, an equation of that line can be used to predict the value of one variable based on the value of the other variable.

To create a mathematical model of a linear relation between two variables, we must be able to find the equation of the line. In this section we will look at several ways to write the equation of a line. The specific method we use will be determined by what information we are given.


Find an Equation of the Line Given the Slope and y-Intercept

We can easily determine the slope and intercept of a line if the equation was written in slope–intercept form, y=mx+b.y=mx+b. Now, we will do the reverse—we will start with the slope and y-intercept and use them to find the equation of the line.

Example 4.57

Find an equation of a line with slope −7−7 and y-intercept (0,−1)(0,−1).

Try It 4.113

Find an equation of a line with slope 2525 and y-intercept (0,4)(0,4).

Try It 4.114

Find an equation of a line with slope −1−1 and y-intercept (0,−3)(0,−3).

Sometimes, the slope and intercept need to be determined from the graph.

Example 4.58

Find the equation of the line shown.

The graph shows the x y-coordinate plane. The x and y-axes each run from negative 7 to 7. A line intercepts the y-axis at (0, negative 4), passes through the plotted point (3, negative 2), and intercepts the x-axis at (4, 0).

Try It 4.115

Find the equation of the line shown in the graph.

The graph shows the x y-coordinate plane. The x and y-axes each run from negative 7 to 7. A line intercepts the x-axis at (negative 2, 0), intercepts the y-axis at (0, 1) and passes through the plotted point (5, 4).

Try It 4.116

Find the equation of the line shown in the graph.

The graph shows the x y-coordinate plane. The x and y-axes each run from negative 7 to 7. A line intercepts the y-axis at (0, negative 5), passes through the plotted point (3, negative 1), and intercepts the x-axis at (15 fourths, 0).

Find an Equation of the Line Given the Slope and a Point

Finding an equation of a line using the slope–intercept form of the equation works well when you are given the slope and y-intercept or when you read them off a graph. But what happens when you have another point instead of the y-intercept?

We are going to use the slope formula to derive another form of an equation of the line. Suppose we have a line that has slope mm and that contains some specific point (x1,y1)(x1,y1) and some other point, which we will just call (x,y)(x,y). We can write the slope of this line and then change it to a different form.

m=yy1xx1m=yy1xx1
Multiply both sides of the equation by xx1xx1. m(xx1)=(yy1xx1)(xx1) m(xx1)=(yy1xx1)(xx1)
Simplify. m(xx1)=yy1 m(xx1)=yy1
Rewrite the equation with the yy terms on the left. yy1=m(xx1) yy1=m(xx1)
Table 4.46

This format is called the point–slope form of an equation of a line.

Point–slope Form of an Equation of a Line

The point–slope form of an equation of a line with slope mm and containing the point (x1,y1)(x1,y1) is

No alt text

We can use the point–slope form of an equation to find an equation of a line when we are given the slope and one point. Then we will rewrite the equation in slope–intercept form. Most applications of linear equations use the the slope–intercept form.

Example 4.59

Find an Equation of a Line Given the Slope and a Point

Find an equation of a line with slope m=25m=25 that contains the point (10,3)(10,3). Write the equation in slope–intercept form.

Try It 4.117

Find an equation of a line with slope m=56m=56 and containing the point (6,3)(6,3).

Try It 4.118

Find an equation of a line with slope m=23m=23 and containing thepoint (9,2)(9,2).

How To

Find an equation of a line given the slope and a point.

  1. Step 1. Identify the slope.
  2. Step 2. Identify the point.
  3. Step 3. Substitute the values into the point-slope form, yy1=m(xx1)yy1=m(xx1).
  4. Step 4. Write the equation in slope–intercept form.

Example 4.60

Find an equation of a line with slope m=13m=13 that contains the point (6,−4)(6,−4). Write the equation in slope–intercept form.

Try It 4.119

Find an equation of a line with slope m=25m=25 and containing the point (10,−5)(10,−5).

Try It 4.120

Find an equation of a line with slope m=34m=34, and containing the point (4,−7)(4,−7).

Example 4.61

Find an equation of a horizontal line that contains the point (−1,2)(−1,2). Write the equation in slope–intercept form.

Try It 4.121

Find an equation of a horizontal line containing the point (−3,8)(−3,8).

Try It 4.122

Find an equation of a horizontal line containing the point (−1,4)(−1,4).

Find an Equation of the Line Given Two Points

When real-world data is collected, a linear model can be created from two data points. In the next example we’ll see how to find an equation of a line when just two points are given.

We have two options so far for finding an equation of a line: slope–intercept or point–slope. Since we will know two points, it will make more sense to use the point–slope form.

But then we need the slope. Can we find the slope with just two points? Yes. Then, once we have the slope, we can use it and one of the given points to find the equation.

Example 4.62

Find an Equation of a Line Given Two Points

Find an equation of a line that contains the points (5,4)(5,4) and (3,6)(3,6). Write the equation in slope–intercept form.

Try It 4.123

Find an equation of a line containing the points (3,1)(3,1) and (5,6)(5,6).

Try It 4.124

Find an equation of a line containing the points (1,4)(1,4) and (6,2)(6,2).

How To

Find an equation of a line given two points.

  1. Step 1. Find the slope using the given points.
  2. Step 2. Choose one point.
  3. Step 3. Substitute the values into the point-slope form, yy1=m(xx1)yy1=m(xx1).
  4. Step 4. Write the equation in slope–intercept form.

Example 4.63

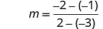
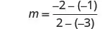
Find an equation of a line that contains the points (−3,−1)(−3,−1) and (2,−2)(2,−2). Write the equation in slope–intercept form.

Try It 4.125

Find an equation of a line containing the points (−2,−4)(−2,−4) and (1,−3)(1,−3).

Try It 4.126

Find an equation of a line containing the points (−4,−3)(−4,−3) and (1,−5)(1,−5).

Example 4.64

Find an equation of a line that contains the points (−2,4)(−2,4) and (−2,−3)(−2,−3). Write the equation in slope–intercept form.

Try It 4.127

Find an equation of a line containing the points (5,1)(5,1) and (5,−4)(5,−4).

Try It 4.128

Find an equaion of a line containing the points (−4,4)(−4,4) and (−4,3)(−4,3).

We have seen that we can use either the slope–intercept form or the point–slope form to find an equation of a line. Which form we use will depend on the information we are given. This is summarized in Table 4.47.

To Write an Equation of a Line
If given: Use: Form:
Slope and y-intercept slope–intercept y=mx+by=mx+b
Slope and a point point–slope yy1=m(xx1)yy1=m(xx1)
Two points point–slope yy1=m(xx1)yy1=m(xx1)
Table 4.47

Find an Equation of a Line Parallel to a Given Line

Suppose we need to find an equation of a line that passes through a specific point and is parallel to a given line. We can use the fact that parallel lines have the same slope. So we will have a point and the slope—just what we need to use the point–slope equation.

First let’s look at this graphically.

The graph shows the graph of y=2x3y=2x3. We want to graph a line parallel to this line and passing through the point (−2,1)(−2,1).

The graph shows the x y-coordinate plane. The x and y-axes each run from negative 7 to 7. The line whose equation is y equals 2x minus 3 intercepts the y-axis at (0, negative 3) and intercepts the x-axis at (3 halves, 0). Elsewhere on the graph, the point (negative 2, 1) is plotted.

We know that parallel lines have the same slope. So the second line will have the same slope asy=2x3y=2x3. That slope ism=2m=2. We’ll use the notation mm to represent the slope of a line parallel to a line with slope mm. (Notice that the subscript looks like two parallel lines.)

The second line will pass through (−2,1)(−2,1) and have m=2m=2. To graph the line, we start at(−2,1)(−2,1) and count out the rise and run. With m=2m=2 (or m=21m=21), we count out the rise 2 and the run 1. We draw the line.

The graph shows the x y-coordinate plane. The x and y-axes each run from negative 7 to 7. The line whose equation is y equals 2x minus 3 intercepts the y-axis at (0, negative 3) and intercepts the x-axis at (3 halves, 0). The points (negative 2, 1) and (negative 1, 3) are plotted. A second line, parallel to the first, intercepts the x-axis at (negative 5 halves, 0), passes through the points (negative 2, 1) and (negative 1, 3), and intercepts the y-axis at (0, 5).

Do the lines appear parallel? Does the second line pass through (−2,1)(−2,1)?

Now, let’s see how to do this algebraically.

We can use either the slope–intercept form or the point–slope form to find an equation of a line. Here we know one point and can find the slope. So we will use the point–slope form.

Example 4.65

How to Find an Equation of a Line Parallel to a Given Line

Find an equation of a line parallel to y=2x3y=2x3 that contains the point (−2,1)(−2,1). Write the equation in slope–intercept form.

Try It 4.129

Find an equation of a line parallel to the line y=3x+1y=3x+1 that contains the point (4,2)(4,2). Write the equation in slope–intercept form.

Try It 4.130

Find an equation of a line parallel to the line y=12x3y=12x3 that contains the point (6,4)(6,4).

How To

Find an equation of a line parallel to a given line.

  1. Step 1. Find the slope of the given line.
  2. Step 2. Find the slope of the parallel line.
  3. Step 3. Identify the point.
  4. Step 4. Substitute the values into the point–slope form, yy1=m(xx1)yy1=m(xx1).
  5. Step 5. Write the equation in slope–intercept form.

Find an Equation of a Line Perpendicular to a Given Line

Now, let’s consider perpendicular lines. Suppose we need to find a line passing through a specific point and which is perpendicular to a given line. We can use the fact that perpendicular lines have slopes that are negative reciprocals. We will again use the point–slope equation, like we did with parallel lines.

The graph shows the graph of y=2x3y=2x3. Now, we want to graph a line perpendicular to this line and passing through (−2,1)(−2,1).

The graph shows the x y-coordinate plane. The x and y-axes each run from negative 7 to 7. The line whose equation is y equals 2x minus 3 intercepts the y-axis at (0, negative 3) and intercepts the x-axis at (3 halves, 0). Elsewhere on the graph, the point (negative 2, 1) is plotted.

We know that perpendicular lines have slopes that are negative reciprocals. We’ll use the notation mm to represent the slope of a line perpendicular to a line with slope mm. (Notice that the subscript ⊥ looks like the right angles made by two perpendicular lines.)

y=2x3perpendicular line m=2m=12y=2x3perpendicular line m=2m=12

We now know the perpendicular line will pass through (−2,1)(−2,1) with m=12m=12.

To graph the line, we will start at (−2,1)(−2,1) and count out the rise −1−1 and the run 2. Then we draw the line.

The graph shows the x y-coordinate plane. The x and y-axes each run from negative 7 to 7. The line whose equation is y equals 2x minus 3 intercepts the y-axis at (0, negative 3) and intercepts the x-axis at (3 halves, 0). Elsewhere, the point (negative 2, 1) is plotted. Another line perpendicular to the first line passes through the point (negative 2, 1) and intercepts the x and y-axes at (0, 0). A red line with an arrow extends left from (0, 0) to (negative 2, 0), then extends up and terminates at (negative 2, 1), forming a right triangle with the second line as a hypotenuse.

Do the lines appear perpendicular? Does the second line pass through (−2,1)(−2,1)?

Now, let’s see how to do this algebraically. We can use either the slope–intercept form or the point–slope form to find an equation of a line. In this example we know one point, and can find the slope, so we will use the point–slope form.

Example 4.66

How to Find an Equation of a Line Perpendicular to a Given Line

Find an equation of a line perpendicular to y=2x3y=2x3 that contains the point (−2,1)(−2,1). Write the equation in slope–intercept form.

Try It 4.131

Find an equation of a line perpendicular to the line y=3x+1y=3x+1 that contains the point (4,2)(4,2). Write the equation in slope–intercept form.

Try It 4.132

Find an equation of a line perpendicular to the line y=12x3y=12x3 that contains the point (6,4)(6,4).

How To

Find an equation of a line perpendicular to a given line.

  1. Step 1. Find the slope of the given line.
  2. Step 2. Find the slope of the perpendicular line.
  3. Step 3. Identify the point.
  4. Step 4. Substitute the values into the point–slope form, yy1=m(xx1)yy1=m(xx1).
  5. Step 5. Write the equation in slope–intercept form.

Example 4.67

Find an equation of a line perpendicular to x=5x=5 that contains the point (3,−2)(3,−2). Write the equation in slope–intercept form.

Try It 4.133

Find an equation of a line that is perpendicular to the line x=4x=4 that contains the point (4,−5)(4,−5). Write the equation in slope–intercept form.

Try It 4.134

Find an equation of a line that is perpendicular to the line x=2x=2 that contains the point (2,−1)(2,−1). Write the equation in slope–intercept form.

In Example 4.67, we used the point–slope form to find the equation. We could have looked at this in a different way.

We want to find a line that is perpendicular to x=5x=5 that contains the point (3,−2)(3,−2). The graph shows us the linex=5x=5 and the point (3,−2)(3,−2).

The graph shows the x y-coordinate plane. The x and y-axes each run from negative 7 to 7. The line whose equation is x equals 5 intercepts the x-axis at (5, 0) and runs parallel to the y-axis. Elsewhere on the graph, the point (3, negative 2) is plotted.

We know every line perpendicular to a vetical line is horizontal, so we will sketch the horizontal line through (3,−2)(3,−2).

The graph shows the x y-coordinate plane. The x and y-axes each run from negative 7 to 7. The line whose equation is x equals 5 intercepts the x-axis at (5, 0) and runs parallel to the y-axis. Elsewhere on the graph, the points (negative 2, negative 2), (0, negative 2), (3, negative 2), and (6, negative 2) are plotted. A line perpendicular to the previous line passes through those points and runs parallel to the x-axis.

Do the lines appear perpendicular?

If we look at a few points on this horizontal line, we notice they all have y-coordinates of −2−2. So, the equation of the line perpendicular to the vertical line x=5x=5 is y=−2y=−2.

Example 4.68

Find an equation of a line that is perpendicular to y=−4y=−4 that contains the point (−4,2)(−4,2). Write the equation in slope–intercept form.

Try It 4.135

Find an equation of a line that is perpendicular to the line y=1y=1 that contains the point (−5,1)(−5,1). Write the equation in slope–intercept form.

Try It 4.136

Find an equation of a line that is perpendicular to the line y=−5y=−5 that contains the point (−4,−5)(−4,−5).

Media

Access this online resource for additional instruction and practice with finding the equation of a line.

Section 4.6 Exercises

Practice Makes Perfect

Find an Equation of the Line Given the Slope and y-Intercept

In the following exercises, find the equation of a line with given slope and y-intercept. Write the equation in slope–intercept form.

386.

slope 3 and y-intercept (0,5)(0,5)

387.

slope 4 and y-intercept (0,1)(0,1)

388.

slope 6 and y-intercept (0,−4)(0,−4)

389.

slope 8 and y-intercept (0,−6)(0,−6)

390.

slope −1−1 and y-intercept (0,3)(0,3)

391.

slope −1−1 and y-intercept (0,7)(0,7)

392.

slope −2−2 and y-intercept (0,−3)(0,−3)

393.

slope −3−3 and y-intercept (0,−1)(0,−1)

394.

slope 3535 and y-intercept (0,−1)(0,−1)

395.

slope 1515 and y-intercept (0,−5)(0,−5)

396.

slope 3434 and y-intercept (0,−2)(0,−2)

397.

slope 2323 and y-intercept (0,−3)(0,−3)

398.

slope 0 and y-intercept (0,−1)(0,−1)

399.

slope 0 and y-intercept (0,2)(0,2)

400.

slope −3−3 and y-intercept (0,0)(0,0)

401.

slope −4−4 and y-intercept (0,0)(0,0)

In the following exercises, find the equation of the line shown in each graph. Write the equation in slope–intercept form.

402.
The graph shows the x y-coordinate plane. The x and y-axes each run from negative 9 to 9. The point (1, negative 2) is plotted. A line intercepts the y-axis at (0, negative 5), passes through the point (1, negative 2), and intercepts the x-axis at (5 thirds, 0).
403.
The graph shows the x y-coordinate plane. The x and y-axes each run from negative 9 to 9. The point (2, 0) is plotted. A line intercepts the y-axis at (0, 4) and intercepts the x-axis at (2, 0).
404.
The graph shows the x y-coordinate plane. The x and y-axes each run from negative 9 to 9. The point (6, 0) is plotted. A line intercepts the y-axis at (0, negative 3) and intercepts the x-axis at (6, 0).
405.
The graph shows the x y-coordinate plane. The x and y-axes each run from negative 9 to 9. The point (4, 5) is plotted. A line intercepts the x-axis at (negative 8 thirds, 0), intercepts the y-axis at (0, 2), and passes through the point (4, 5).
406.
The graph shows the x y-coordinate plane. The x and y-axes each run from negative 9 to 9. The point (3, negative 1) is plotted. A line intercepts the y-axis at (0, 2), intercepts the x-axis at (9 fourths, 0), and passes through the point (3, negative 1).
407.
The graph shows the x y-coordinate plane. The x and y-axes each run from negative 9 to 9. The point (2, negative 4) is plotted. A line intercepts the x-axis at (negative 2 thirds, 0), intercepts the y-axis at (0, negative 1), and passes through the point (2, negative 4).
408.
The graph shows the x y-coordinate plane. The x and y-axes each run from negative 9 to 9. The point (2, negative 2) is plotted. A line running parallel to the x-axis intercepts the y-axis at (0, negative 2) and passes through the point (2, negative 2).
409.
The graph shows the x y-coordinate plane. The x and y-axes each run from negative 9 to 9. The point (negative 3, 6) is plotted. A line running parallel to the x-axis passes through (negative 3, 6) and intercepts the y-axis at (0, 6).

Find an Equation of the Line Given the Slope and a Point

In the following exercises, find the equation of a line with given slope and containing the given point. Write the equation in slope–intercept form.

410.

m=58m=58, point (8,3)(8,3)

411.

m=38m=38, point (8,2)(8,2)

412.

m=16m=16, point (6,1)(6,1)

413.

m=56m=56, point (6,7)(6,7)

414.

m=34m=34, point (8,−5)(8,−5)

415.

m=35m=35, point (10,−5)(10,−5)

416.

m=14m=14, point (−12,−6)(−12,−6)

417.

m=13m=13, point (−9,−8)(−9,−8)

418.

Horizontal line containing (−2,5)(−2,5)

419.

Horizontal line containing (−1,4)(−1,4)

420.

Horizontal line containing (−2,−3)(−2,−3)

421.

Horizontal line containing (−1,−7)(−1,−7)

422.

m=32m=32, point (−4,−3)(−4,−3)

423.

m=52m=52, point (−8,−2)(−8,−2)

424.

m=−7m=−7, point (−1,−3)(−1,−3)

425.

m=−4m=−4, point (−2,−3)(−2,−3)

426.

Horizontal line containing (2,−3)(2,−3)

427.

Horizontal line containing (4,−8)(4,−8)

Find an Equation of the Line Given Two Points

In the following exercises, find the equation of a line containing the given points. Write the equation in slope–intercept form.

428.

(2,6)(2,6) and (5,3)(5,3)

429.

(3,1)(3,1) and (2,5)(2,5)

430.

(4,3)(4,3) and (8,1)(8,1)

431.

(2,7)(2,7) and (3,8)(3,8)

432.

(−3,−4)(−3,−4) and (52)(52)

433.

(−5,−3)(−5,−3) and (4,−6)(4,−6)

434.

(−1,3)(−1,3) and (−6,−7)(−6,−7)

435.

(−2,8)(−2,8) and (−4,−6)(−4,−6)

436.

(6,−4)(6,−4) and (−2,5)(−2,5)

437.

(3,−2)(3,−2) and (−4,4)(−4,4)

438.

(0,4)(0,4) and (2,−3)(2,−3)

439.

(0,−2)(0,−2) and (−5,−3)(−5,−3)

440.

(7,2)(7,2) and (7,−2)(7,−2)

441.

(4,2)(4,2) and (4,−3)(4,−3)

442.

(−7,−1)(−7,−1) and (−7,−4)(−7,−4)

443.

(−2,1)(−2,1) and (−2,−4)(−2,−4)

444.

(6,1)(6,1) and (0,1)(0,1)

445.

(6,2)(6,2) and (−3,2)(−3,2)

446.

(3,−4)(3,−4) and (5,−4)(5,−4)

447.

(−6,−3)(−6,−3) and (−1,−3)(−1,−3)

448.

(4,3)(4,3) and (8,0)(8,0)

449.

(0,0)(0,0) and (1,4)(1,4)

450.

(−2,−3)(−2,−3) and (−5,−6)(−5,−6)

451.

(−3,0)(−3,0) and (−7,−2)(−7,−2)

452.

(8,−1)(8,−1) and (8,−5)(8,−5)

453.

(3,5)(3,5) and (−7,5)(−7,5)

Find an Equation of a Line Parallel to a Given Line

In the following exercises, find an equation of a line parallel to the given line and contains the given point. Write the equation in slope–intercept form.

454.

line y=4x+2y=4x+2, point (1,2)(1,2)

455.

line y=3x+4y=3x+4, point (2,5)(2,5)

456.

line y=−2x3y=−2x3, point (−1,3)(−1,3)

457.

line y=−3x1y=−3x1, point (2,−3)(2,−3)

458.

line 3xy=43xy=4, point (3,1)(3,1)

459.

line 2xy=62xy=6, point (3,0)(3,0)

460.

line 4x+3y=64x+3y=6, point (0,−3)(0,−3)

461.

line 2x+3y=62x+3y=6, point (0,5)(0,5)

462.

line x=−3x=−3, point (−2,−1)(−2,−1)

463.

line x=−4x=−4, point (−3,−5)(−3,−5)

464.

line x2=0x2=0, point (1,−2)(1,−2)

465.

line x6=0x6=0, point (4,−3)(4,−3)

466.

line y=5y=5, point (2,−2)(2,−2)

467.

line y=1y=1, point (3,−4)(3,−4)

468.

line y+2=0y+2=0, point (3,−3)(3,−3)

469.

line y+7=0y+7=0, point (1,−1)(1,−1)

Find an Equation of a Line Perpendicular to a Given Line

In the following exercises, find an equation of a line perpendicular to the given line and contains the given point. Write the equation in slope–intercept form.

470.

line y=−2x+3y=−2x+3, point (2,2)(2,2)

471.

line y=x+5y=x+5, point (3,3)(3,3)

472.

line y=34x2y=34x2, point (−3,4)(−3,4)

473.

line y=23x4y=23x4, point (2,−4)(2,−4)

474.

line 2x3y=82x3y=8, point (4,−1)(4,−1)

475.

line 4x3y=54x3y=5, point (−3,2)(−3,2)

476.

line 2x+5y=62x+5y=6, point (0,0)(0,0)

477.

line 4x+5y=−34x+5y=−3, point (0,0)(0,0)

478.

line y3=0y3=0, point (−2,−4)(−2,−4)

479.

line y6=0y6=0, point (−5,−3)(−5,−3)

480.

line y-axis, point (3,4)(3,4)

481.

line y-axis, point (2,1)(2,1)

Mixed Practice

In the following exercises, find the equation of each line. Write the equation in slope–intercept form.

482.

Containing the points (4,3)(4,3) and (8,1)(8,1)

483.

Containing the points (2,7)(2,7) and (3,8)(3,8)

484.

m=16m=16, containing point (6,1)(6,1)

485.

m=56m=56, containing point (6,7)(6,7)

486.

Parallel to the line 4x+3y=64x+3y=6, containing point (0,−3)(0,−3)

487.

Parallel to the line 2x+3y=62x+3y=6, containing point (0,5)(0,5)

488.

m=34m=34, containing point (8,−5)(8,−5)

489.

m=35m=35, containing point (10,−5)(10,−5)

490.

Perpendicular to the line y1=0y1=0, point (−2,6)(−2,6)

491.

Perpendicular to the line y-axis, point (−6,2)(−6,2)

492.

Containing the points (4,3)(4,3) and (8,1)(8,1)

493.

Containing the points (−2,0)(−2,0) and (−3,−2)(−3,−2)

494.

Parallel to the line x=−3x=−3, containing point (−2,−1)(−2,−1)

495.

Parallel to the line x=−4x=−4, containing point (−3,−5)(−3,−5)

496.

Containing the points (−3,−4)(−3,−4) and (2,−5)(2,−5)

497.

Containing the points (−5,−3)(−5,−3) and (4,−6)(4,−6)

498.

Perpendicular to the line x2y=5x2y=5, containing point (−2,2)(−2,2)

499.

Perpendicular to the line 4x+3y=14x+3y=1, containing point (0,0)(0,0)

Everyday Math

500.

Cholesterol. The age, xx, and LDL cholesterol level, yy, of two men are given by the points (18,68)(18,68) and (27,122)(27,122). Find a linear equation that models the relationship between age and LDL cholesterol level.

501.

Fuel consumption. The city mpg, xx, and highway mpg, yy, of two cars are given by the points (29,40)(29,40) and(19,28)(19,28). Find a linear equation that models the relationship between city mpg and highway mpg.

Writing Exercises

502.

Why are all horizontal lines parallel?

503.

Explain in your own words why the slopes of two perpendicular lines must have opposite signs.

Self Check

After completing the exercises, use this checklist to evaluate your mastery of the objectives of this section.

This is a table that has six rows and four columns. In the first row, which is a header row, the cells read from left to right: “I can…,” “confidently,” “with some help,” and “no-I don’t get it!” The first column below “I can…” reads “find the equation of the line given the slope and y-intercept,”, “find an equation of the line given the slope and a point,” “find an equation of the line given two points,” “find an equation of a line parallel to a given line,” and “find an equation of a line perpendicular to a given line.” The rest of the cells are blank.

On a scale of 1-10, how would you rate your mastery of this section in light of your responses on the checklist? How can you improve this?

Citation/Attribution

This book may not be used in the training of large language models or otherwise be ingested into large language models or generative AI offerings without OpenStax's permission.

Want to cite, share, or modify this book? This book uses the Creative Commons Attribution License and you must attribute OpenStax.

Attribution information
  • If you are redistributing all or part of this book in a print format, then you must include on every physical page the following attribution:

    Access for free at https://openstax.org/books/elementary-algebra-2e/pages/1-introduction

  • If you are redistributing all or part of this book in a digital format, then you must include on every digital page view the following attribution:

    Access for free at https://openstax.org/books/elementary-algebra-2e/pages/1-introduction

Citation information

© Jul 8, 2025 OpenStax. Textbook content produced by OpenStax is licensed under a Creative Commons Attribution License . The OpenStax name, OpenStax logo, OpenStax book covers, OpenStax CNX name, and OpenStax CNX logo are not subject to the Creative Commons license and may not be reproduced without the prior and express written consent of Rice University.