Skip to ContentGo to accessibility pageKeyboard shortcuts menu
OpenStax Logo
Elementary Algebra 2e

2.7 Solve Linear Inequalities

Elementary Algebra 2e2.7 Solve Linear Inequalities
Search for key terms or text.

Learning Objectives

By the end of this section, you will be able to:

  • Graph inequalities on the number line
  • Solve inequalities using the Subtraction and Addition Properties of inequality
  • Solve inequalities using the Division and Multiplication Properties of inequality
  • Solve inequalities that require simplification
  • Translate to an inequality and solve

Be Prepared 2.18

Before you get started, take this readiness quiz.

Translate from algebra to English: 15>x15>x.
If you missed this problem, review Example 1.12.

Be Prepared 2.19

Solve: n9=−42.n9=−42.
If you missed this problem, review Example 2.3.

Be Prepared 2.20

Solve: −5p=−23.−5p=−23.
If you missed this problem, review Example 2.13.

Be Prepared 2.21

Solve: 3a12=7a20.3a12=7a20.
If you missed this problem, review Example 2.34.

Graph Inequalities on the Number Line

Do you remember what it means for a number to be a solution to an equation? A solution of an equation is a value of a variable that makes a true statement when substituted into the equation.

What about the solution of an inequality? What number would make the inequality x>3x>3 true? Are you thinking, ‘x could be 4’? That’s correct, but x could be 5 too, or 20, or even 3.001. Any number greater than 3 is a solution to the inequality x>3x>3.

We show the solutions to the inequality x>3x>3 on the number line by shading in all the numbers to the right of 3, to show that all numbers greater than 3 are solutions. Because the number 3 itself is not a solution, we put an open parenthesis at 3. The graph of x>3x>3 is shown in Figure 2.7. Please note that the following convention is used: thick arrows point in the positive direction and thin arrows point in the negative direction.

This figure is a number line ranging from negative 5 to 5 with tick marks for each integer. The inequality x is greater than 3 is graphed on the number line, with an open parenthesis at x equals 3, and a red line extending to the right of the parenthesis.
Figure 2.7 The inequality x>3x>3 is graphed on this number line.

The graph of the inequality x3x3 is very much like the graph of x>3x>3, but now we need to show that 3 is a solution, too. We do that by putting a bracket at x=3x=3, as shown in Figure 2.8.

This figure is a number line ranging from negative 5 to 5 with tick marks for each integer. The inequality x is greater than or equal to 3 is graphed on the number line, with an open bracket at x equals 3, and a red line extending to the right of the bracket.
Figure 2.8 The inequality x3x3 is graphed on this number line.

Notice that the open parentheses symbol, (, shows that the endpoint of the inequality is not included. The open bracket symbol, [, shows that the endpoint is included.

Example 2.66

Graph on the number line:

x1x1 x<5x<5 x>1x>1

Try It 2.131

Graph on the number line: x1x1 x>2x>2 x<3x<3

Try It 2.132

Graph on the number line: x>2x>2 x<3x<3 x−1x−1

We can also represent inequalities using interval notation. As we saw above, the inequality x>3x>3 means all numbers greater than 3. There is no upper end to the solution to this inequality. In interval notation, we express x>3x>3 as (3,).(3,). The symbol is read as ‘infinity’. It is not an actual number. Figure 2.9 shows both the number line and the interval notation.

This figure is a number line ranging from negative 5 to 5 with tick marks for each integer. The inequality x is greater than 3 is graphed on the number line, with an open parenthesis at x equals 3, and a red line extending to the right of the parenthesis. The inequality is also written in interval notation as parenthesis, 3 comma infinity, parenthesis.
Figure 2.9 The inequality x>3x>3 is graphed on this number line and written in interval notation.

The inequality x1x1 means all numbers less than or equal to 1. There is no lower end to those numbers. We write x1x1 in interval notation as (,1](,1]. The symbol is read as ‘negative infinity’. Figure 2.10 shows both the number line and interval notation.

This figure is a number line ranging from negative 5 to 5 with tick marks for each integer. The inequality x is less than or equal to 1 is graphed on the number line, with an open bracket at x equals 1, and a red line extending to the left of the bracket. The inequality is also written in interval notation as parenthesis, negative infinity comma 1, bracket.
Figure 2.10 The inequality x1x1 is graphed on this number line and written in interval notation.

Inequalities, Number Lines, and Interval Notation

This figure show four number lines, all without tick marks. The inequality x is greater than a is graphed on the first number line, with an open parenthesis at x equals a, and a red line extending to the right of the parenthesis. The inequality is also written in interval notation as parenthesis, a comma infinity, parenthesis. The inequality x is greater than or equal to a is graphed on the second number line, with an open bracket at x equals a, and a red line extending to the right of the bracket. The inequality is also written in interval notation as bracket, a comma infinity, parenthesis. The inequality x is less than a is graphed on the third number line, with an open parenthesis at x equals a, and a red line extending to the left of the parenthesis. The inequality is also written in interval notation as parenthesis, negative infinity comma a, parenthesis. The inequality x is less than or equal to a is graphed on the last number line, with an open bracket at x equals a, and a red line extending to the left of the bracket. The inequality is also written in interval notation as parenthesis, negative infinity comma a, bracket.

Did you notice how the parenthesis or bracket in the interval notation matches the symbol at the endpoint of the arrow? These relationships are shown in Figure 2.11.

This figure shows the same four number lines as above, with the same interval notation labels. Below the interval notation for each number line, there is text indicating how the notation on the number lines is similar to the interval notation. The first number line is a graph of x is greater than a, and the interval notation is parenthesis, a comma infinity, parenthesis. The text below reads: “Both have a left parenthesis.” The second number line is a graph of x is greater than or equal to a, and the interval notation is bracket, a comma infinity, parenthesis. The text below reads: “Both have a left bracket.” The third number line is a graph of x is less than a, and the interval notation is parenthesis, negative infinity comma a, parenthesis. The text below reads: “Both have a right parenthesis.” The last number line is a graph of x is less than or equal to a, and the interval notation is parenthesis, negative infinity comma a, bracket. The text below reads: “Both have a right bracket.”
Figure 2.11 The notation for inequalities on a number line and in interval notation use similar symbols to express the endpoints of intervals.

Example 2.67

Graph on the number line and write in interval notation.

x−3x−3 x<2.5x<2.5 x35x35

Try It 2.133

Graph on the number line and write in interval notation:

x>2x>2 x1.5x1.5 x34x34

Try It 2.134

Graph on the number line and write in interval notation:

x4x4 x0.5x0.5 x<23x<23

Solve Inequalities using the Subtraction and Addition Properties of Inequality

The Subtraction and Addition Properties of Equality state that if two quantities are equal, when we add or subtract the same amount from both quantities, the results will be equal.

Properties of Equality

Subtraction Property of EqualityAddition Property of EqualityFor any numbersa,b,andc,For any numbersa,b,andc,ifa=b,thenac=bc.ifa=b,thena+c=b+c.Subtraction Property of EqualityAddition Property of EqualityFor any numbersa,b,andc,For any numbersa,b,andc,ifa=b,thenac=bc.ifa=b,thena+c=b+c.

Similar properties hold true for inequalities.

For example, we know that −4 is less than 2. .
If we subtract 5 from both quantities, is the
left side still less than the right side?
.
We get −9 on the left and −3 on the right. .
And we know −9 is less than −3. .
The inequality sign stayed the same.

Similarly we could show that the inequality also stays the same for addition.

This leads us to the Subtraction and Addition Properties of Inequality.

Properties of Inequality

Subtraction Property of InequalityAddition Property of InequalityFor any numbersa,b,andc,For any numbersa,b,andc,ifa<bthenac<bc.ifa>bthenac>bc.ifa<bthena+c<b+c.ifa>bthena+c>b+c.Subtraction Property of InequalityAddition Property of InequalityFor any numbersa,b,andc,For any numbersa,b,andc,ifa<bthenac<bc.ifa>bthenac>bc.ifa<bthena+c<b+c.ifa>bthena+c>b+c.

We use these properties to solve inequalities, taking the same steps we used to solve equations. Solving the inequality x+5>9x+5>9, the steps would look like this:

x+5>9x+5>9
Subtract 5 from both sides to isolate xx. x+55>95x+55>95
Simplify. x>4x>4
Table 2.6

Any number greater than 4 is a solution to this inequality.

Example 2.68

Solve the inequality n1258n1258, graph the solution on the number line, and write the solution in interval notation.

Try It 2.135

Solve the inequality, graph the solution on the number line, and write the solution in interval notation.

p3416p3416

Try It 2.136

Solve the inequality, graph the solution on the number line, and write the solution in interval notation.

r13712r13712

Solve Inequalities using the Division and Multiplication Properties of Inequality

The Division and Multiplication Properties of Equality state that if two quantities are equal, when we divide or multiply both quantities by the same amount, the results will also be equal (provided we don’t divide by 0).

Properties of Equality

Division Property of EqualityMultiplication Property of EqualityFor any numbersa,b,c,andc0,For any real numbersa,b,c,ifa=b,thenac=bc.ifa=b,thenac=bc.Division Property of EqualityMultiplication Property of EqualityFor any numbersa,b,c,andc0,For any real numbersa,b,c,ifa=b,thenac=bc.ifa=b,thenac=bc.

Are there similar properties for inequalities? What happens to an inequality when we divide or multiply both sides by a constant?

Consider some numerical examples.

. .
Divide both sides by 5. . Multiply both sides by 5. .
Simplify. . .
Fill in the inequality signs. . .
The inequality signs stayed the same.The inequality signs stayed the same.

Does the inequality stay the same when we divide or multiply by a negative number?

. .
Divide both sides by −5. . Multiply both sides by −5. .
Simplify. . .
Fill in the inequality signs. . .
The inequality signs reversed their direction.The inequality signs reversed their direction.

When we divide or multiply an inequality by a positive number, the inequality sign stays the same. When we divide or multiply an inequality by a negative number, the inequality sign reverses.

Here are the Division and Multiplication Properties of Inequality for easy reference.

Division and Multiplication Properties of Inequality

For any real numbersa,b,c ifa<bandc>0,thenac<bcandac<bc. ifa>bandc>0,thenac>bcandac>bc. ifa<bandc<0,thenac>bcandac>bc. ifa>bandc<0,thenac<bcandac<bc.For any real numbersa,b,c ifa<bandc>0,thenac<bcandac<bc. ifa>bandc>0,thenac>bcandac>bc. ifa<bandc<0,thenac>bcandac>bc. ifa>bandc<0,thenac<bcandac<bc.

When we divide or multiply an inequality by a:

  • positive number, the inequality stays the same.
  • negative number, the inequality reverses.

Example 2.69

Solve the inequality 7y<427y<42, graph the solution on the number line, and write the solution in interval notation.

Try It 2.137

Solve the inequality, graph the solution on the number line, and write the solution in interval notation.

c-8>0c-8>0

Try It 2.138

Solve the inequality, graph the solution on the number line, and write the solution in interval notation.

12d6012d60

Example 2.70

Solve the inequality −10a50−10a50, graph the solution on the number line, and write the solution in interval notation.

Try It 2.139

Solve each inequality, graph the solution on the number line, and write the solution in interval notation.

−8q<32−8q<32

Try It 2.140

Solve each inequality, graph the solution on the number line, and write the solution in interval notation.

−7r70−7r70

Solving Inequalities

Sometimes when solving an inequality, the variable ends up on the right. We can rewrite the inequality in reverse to get the variable to the left.

x>ahas the same meaning asa<xx>ahas the same meaning asa<x

Think about it as “If Xavier is taller than Alex, then Alex is shorter than Xavier.”

Example 2.71

Solve the inequality −20<45u−20<45u, graph the solution on the number line, and write the solution in interval notation.

Try It 2.141

Solve the inequality, graph the solution on the number line, and write the solution in interval notation.

2438m2438m

Try It 2.142

Solve the inequality, graph the solution on the number line, and write the solution in interval notation.

−24<43n−24<43n

Example 2.72

Solve the inequality t−28t−28, graph the solution on the number line, and write the solution in interval notation.

Try It 2.143

Solve the inequality, graph the solution on the number line, and write the solution in interval notation.

k−1215k−1215

Try It 2.144

Solve the inequality, graph the solution on the number line, and write the solution in interval notation.

u−4−16u−4−16

Solve Inequalities That Require Simplification

Most inequalities will take more than one step to solve. We follow the same steps we used in the general strategy for solving linear equations, but be sure to pay close attention during multiplication or division.

Example 2.73

Solve the inequality 4m9m+174m9m+17, graph the solution on the number line, and write the solution in interval notation.

Try It 2.145

Solve the inequality 3q7q233q7q23, graph the solution on the number line, and write the solution in interval notation.

Try It 2.146

Solve the inequality 6x<10x+196x<10x+19, graph the solution on the number line, and write the solution in interval notation.

Example 2.74

Solve the inequality 8p+3(p12)>7p288p+3(p12)>7p28, graph the solution on the number line, and write the solution in interval notation.

Try It 2.147

Solve the inequality 9y+2(y+6)>5y249y+2(y+6)>5y24, graph the solution on the number line, and write the solution in interval notation.

Try It 2.148

Solve the inequality 6u+8(u1)>10u+326u+8(u1)>10u+32, graph the solution on the number line, and write the solution in interval notation.

Just like some equations are identities and some are contradictions, inequalities may be identities or contradictions, too. We recognize these forms when we are left with only constants as we solve the inequality. If the result is a true statement, we have an identity. If the result is a false statement, we have a contradiction.

Example 2.75

Solve the inequality 8x2(5x)<4(x+9)+6x8x2(5x)<4(x+9)+6x, graph the solution on the number line, and write the solution in interval notation.

Try It 2.149

Solve the inequality 4b3(3b)>5(b6)+2b4b3(3b)>5(b6)+2b, graph the solution on the number line, and write the solution in interval notation.

Try It 2.150

Solve the inequality 9h7(2h)<8(h+11)+8h9h7(2h)<8(h+11)+8h, graph the solution on the number line, and write the solution in interval notation.

Example 2.76

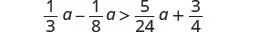
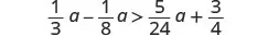
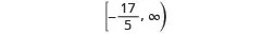
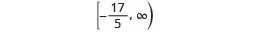
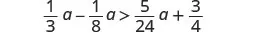
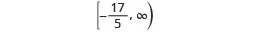
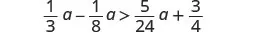
Solve the inequality 13a18a>524a+3413a18a>524a+34, graph the solution on the number line, and write the solution in interval notation.

Try It 2.151

Solve the inequality 14x112x>16x+7814x112x>16x+78, graph the solution on the number line, and write the solution in interval notation.

Try It 2.152

Solve the inequality 25z13z<115z3525z13z<115z35, graph the solution on the number line, and write the solution in interval notation.

Translate to an Inequality and Solve

To translate English sentences into inequalities, we need to recognize the phrases that indicate the inequality. Some words are easy, like ‘more than’ and ‘less than’. But others are not as obvious.

Think about the phrase ‘at least’ – what does it mean to be ‘at least 21 years old’? It means 21 or more. The phrase ‘at least’ is the same as ‘greater than or equal to’.

Table 2.7 shows some common phrases that indicate inequalities.

>> <<
is greater than is greater than or equal to is less than is less than or equal to
is more than is at least is smaller than is at most
is larger than is no less than has fewer than is no more than
exceeds is the minimum is lower than is the maximum
Table 2.7

Example 2.77

Translate and solve. Then write the solution in interval notation and graph on the number line.

Twelve times c is no more than 96.

Try It 2.153

Translate and solve. Then write the solution in interval notation and graph on the number line.

Twenty times y is at most 100

Try It 2.154

Translate and solve. Then write the solution in interval notation and graph on the number line.

Nine times z is no less than 135

Example 2.78

Translate and solve. Then write the solution in interval notation and graph on the number line.

Thirty less than x is at least 45.

Try It 2.155

Translate and solve. Then write the solution in interval notation and graph on the number line.

Nineteen less than p is no less than 47

Try It 2.156

Translate and solve. Then write the solution in interval notation and graph on the number line.

Four more than a is at most 15.

Section 2.7 Exercises

Practice Makes Perfect

Graph Inequalities on the Number Line

In the following exercises, graph each inequality on the number line.

430.


x2x2
x>1x>1 x<0x<0

431.

x>1x>1 x<2x<2
x−3x−3

432.


x−3x−3 x<4x<4 x2x2

433.


x0x0 x>4x>4 x−1x−1

In the following exercises, graph each inequality on the number line and write in interval notation.

434.


x<2x<2 x−3.5x−3.5 x23x23

435.


x>3x>3 x0.5x0.5 x13x13

436.


x−4x−4 x<2.5x<2.5 x>32x>32

437.


x5x5 x−1.5x−1.5 x<73x<73

Solve Inequalities using the Subtraction and Addition Properties of Inequality

In the following exercises, solve each inequality, graph the solution on the number line, and write the solution in interval notation.

438.

n 11 < 33 n 11 < 33

439.

m 45 62 m 45 62

440.

u + 25 > 21 u + 25 > 21

441.

v + 12 > 3 v + 12 > 3

442.

a + 3 4 7 10 a + 3 4 7 10

443.

b + 7 8 1 6 b + 7 8 1 6

444.

f 13 20 < 5 12 f 13 20 < 5 12

445.

g 11 12 < 5 18 g 11 12 < 5 18

Solve Inequalities using the Division and Multiplication Properties of Inequality

In the following exercises, solve each inequality, graph the solution on the number line, and write the solution in interval notation.

446.

8 x > 72 8 x > 72

447.

6 y < 48 6 y < 48

448.

7 r 56 7 r 56

449.

9 s 81 9 s 81

450.

−5 u 65 −5 u 65

451.

−8 v 96 −8 v 96

452.

−9 c < 126 −9 c < 126

453.

−7 d > 105 −7 d > 105

454.

20 > 2 5 h 20 > 2 5 h

455.

40 < 5 8 k 40 < 5 8 k

456.

7 6 j 42 7 6 j 42

457.

9 4 g 36 9 4 g 36

458.

a −3 9 a −3 9

459.

b −10 30 b −10 30

460.

−25 < p −5 −25 < p −5

461.

−18 > q −6 −18 > q −6

462.

9 t −27 9 t −27

463.

7 s < 28 7 s < 28

464.

2 3 y > 36 2 3 y > 36

465.

3 5 x 45 3 5 x 45

Solve Inequalities That Require Simplification

In the following exercises, solve each inequality, graph the solution on the number line, and write the solution in interval notation.

466.

4 v 9 v 40 4 v 9 v 40

467.

5 u 8 u 21 5 u 8 u 21

468.

13 q < 7 q 29 13 q < 7 q 29

469.

9 p > 14 p 18 9 p > 14 p 18

470.

12 x + 3 ( x + 7 ) > 10 x 24 12 x + 3 ( x + 7 ) > 10 x 24

471.

9 y + 5 ( y + 3 ) < 4 y 35 9 y + 5 ( y + 3 ) < 4 y 35

472.

6 h 4 ( h 1 ) 7 h 11 6 h 4 ( h 1 ) 7 h 11

473.

4 k ( k 2 ) 7 k 26 4 k ( k 2 ) 7 k 26

474.

8 m 2 ( 14 m ) 7 ( m 4 ) + 3 m 8 m 2 ( 14 m ) 7 ( m 4 ) + 3 m

475.

6 n 12 ( 3 n ) 9 ( n 4 ) + 9 n 6 n 12 ( 3 n ) 9 ( n 4 ) + 9 n

476.

3 4 b 1 3 b < 5 12 b 1 2 3 4 b 1 3 b < 5 12 b 1 2

477.

9 u + 5 ( 2 u 5 ) 12 ( u 1 ) + 7 u 9 u + 5 ( 2 u 5 ) 12 ( u 1 ) + 7 u

478.

2 3 g 1 2 ( g 14 ) 1 6 ( g + 42 ) 2 3 g 1 2 ( g 14 ) 1 6 ( g + 42 )

479.

5 6 a 1 4 a > 7 12 a + 2 3 5 6 a 1 4 a > 7 12 a + 2 3

480.

4 5 h 2 3 ( h 9 ) 1 15 ( 2 h + 90 ) 4 5 h 2 3 ( h 9 ) 1 15 ( 2 h + 90 )

481.

12 v + 3 ( 4 v 1 ) 19 ( v 2 ) + 5 v 12 v + 3 ( 4 v 1 ) 19 ( v 2 ) + 5 v

Mixed practice

In the following exercises, solve each inequality, graph the solution on the number line, and write the solution in interval notation.

482.

15 k 40 15 k 40

483.

35 k −77 35 k −77

484.

23 p 2 ( 6 5 p ) > 3 ( 11 p 4 ) 23 p 2 ( 6 5 p ) > 3 ( 11 p 4 )

485.

18 q 4 ( 10 3 q ) < 5 ( 6 q 8 ) 18 q 4 ( 10 3 q ) < 5 ( 6 q 8 )

486.

9 4 x 5 12 9 4 x 5 12

487.

21 8 y 15 28 21 8 y 15 28

488.

c + 34 < 99 c + 34 < 99

489.

d + 29 > 61 d + 29 > 61

490.

m 18 −4 m 18 −4

491.

n 13 6 n 13 6

Translate to an Inequality and Solve

In the following exercises, translate and solve .Then write the solution in interval notation and graph on the number line.

492.

Fourteen times d is greater than 56.

493.

Ninety times c is less than 450.

494.

Eight times z is smaller than −40−40.

495.

Ten times y is at most −110−110.

496.

Three more than h is no less than 25.

497.

Six more than k exceeds 25.

498.

Ten less than w is at least 39.

499.

Twelve less than x is no less than 21.

500.

Negative five times r is no more than 95.

501.

Negative two times s is lower than 56.

502.

Nineteen less than b is at most −22−22.

503.

Fifteen less than a is at least −7−7.

Everyday Math

504.

Safety A child’s height, h, must be at least 57 inches for the child to safely ride in the front seat of a car. Write this as an inequality.

505.

Fighter pilots The maximum height, h, of a fighter pilot is 77 inches. Write this as an inequality.

506.

Elevators The total weight, w, of an elevator’s passengers can be no more than 1,200 pounds. Write this as an inequality.

507.

Shopping The number of items, n, a shopper can have in the express check-out lane is at most 8. Write this as an inequality.

Writing Exercises

508.

Give an example from your life using the phrase ‘at least’.

509.

Give an example from your life using the phrase ‘at most’.

510.

Explain why it is necessary to reverse the inequality when solving −5x>10−5x>10.

511.

Explain why it is necessary to reverse the inequality when solving n−3<12n−3<12.

Self Check

After completing the exercises, use this checklist to evaluate your mastery of the objectives of this section.

This is a table that has six rows and four columns. In the first row, which is a header row, the cells read from left to right: “I can…,” “confidently,” “with some help,” and “no-I don’t get it!” The first column below “I can…” reads “graph inequalities on the number line,” “solve inequalitites using the Subtraction and Addition Properties of Inequality,” “solve inequalitites using the Division and Multiplication Properties of Inequality,” “solve inequalities that require simplification,” and “translate to an inequality and solve.” The rest of the cells are blank.

What does this checklist tell you about your mastery of this section? What steps will you take to improve?

Citation/Attribution

This book may not be used in the training of large language models or otherwise be ingested into large language models or generative AI offerings without OpenStax's permission.

Want to cite, share, or modify this book? This book uses the Creative Commons Attribution License and you must attribute OpenStax.

Attribution information
  • If you are redistributing all or part of this book in a print format, then you must include on every physical page the following attribution:

    Access for free at https://openstax.org/books/elementary-algebra-2e/pages/1-introduction

  • If you are redistributing all or part of this book in a digital format, then you must include on every digital page view the following attribution:

    Access for free at https://openstax.org/books/elementary-algebra-2e/pages/1-introduction

Citation information

© Jul 8, 2025 OpenStax. Textbook content produced by OpenStax is licensed under a Creative Commons Attribution License . The OpenStax name, OpenStax logo, OpenStax book covers, OpenStax CNX name, and OpenStax CNX logo are not subject to the Creative Commons license and may not be reproduced without the prior and express written consent of Rice University.