Skip to ContentGo to accessibility pageKeyboard shortcuts menu
OpenStax Logo
College Physics

32.6 Fission

College Physics32.6 Fission
Search for key terms or text.

Nuclear fission is a reaction in which a nucleus is split (or fissured). Controlled fission is a reality, whereas controlled fusion is a hope for the future. Hundreds of nuclear fission power plants around the world attest to the fact that controlled fission is practical and, at least in the short term, economical, as seen in Figure 32.22. Whereas nuclear power was of little interest for decades following TMI and Chernobyl (and now Fukushima Daiichi), growing concerns over global warming has brought nuclear power back on the table as a viable energy alternative. By the end of 2009, there were 442 reactors operating in 30 countries, providing 15% of the world’s electricity. France provides over 75% of its electricity with nuclear power, while the US has 104 operating reactors providing 20% of its electricity. Australia and New Zealand have none. China is building nuclear power plants at the rate of one start every month.

The image shows people living in their homes located near a nuclear power plant.
Figure 32.22 The people living near this nuclear power plant have no measurable exposure to radiation that is traceable to the plant. About 16% of the world’s electrical power is generated by controlled nuclear fission in such plants. The cooling towers are the most prominent features but are not unique to nuclear power. The reactor is in the small domed building to the left of the towers. (credit: Kalmthouts)

Fission is the opposite of fusion and releases energy only when heavy nuclei are split. As noted in Fusion, energy is released if the products of a nuclear reaction have a greater binding energy per nucleon (BE/ABE/A size 12{"BE"/A} {}) than the parent nuclei. Figure 32.23 shows that BE/ABE/A size 12{"BE"/A} {} is greater for medium-mass nuclei than heavy nuclei, implying that when a heavy nucleus is split, the products have less mass per nucleon, so that mass is destroyed and energy is released in the reaction. The amount of energy per fission reaction can be large, even by nuclear standards. The graph in Figure 32.23 shows BE/ABE/A size 12{"BE"/A} {} to be about 7.6 MeV/nucleon for the heaviest nuclei (AA size 12{A} {} about 240), while BE/ABE/A size 12{"BE"/A} {} is about 8.6 MeV/nucleon for nuclei having AA size 12{A} {} about 120. Thus, if a heavy nucleus splits in half, then about 1 MeV per nucleon, or approximately 240 MeV per fission, is released. This is about 10 times the energy per fusion reaction, and about 100 times the energy of the average αα size 12{α} {}, ββ size 12{β} {}, or γγ size 12{γ} {} decay.

Example 32.3

Calculating Energy Released by Fission

Calculate the energy released in the following spontaneous fission reaction:

238 U 95 Sr + 140 Xe + 3n 238 U 95 Sr + 140 Xe + 3n
32.26

given the atomic masses to be m(238U)= 238.050784 u m(238U)= 238.050784 u , m(95Sr)= 94.919388 um(95Sr)= 94.919388 u, m(140Xe)= 139.921610 um(140Xe)= 139.921610 u, and m(n)=1.008665 um(n)=1.008665 u.

Strategy

As always, the energy released is equal to the mass destroyed times c 2 c 2 size 12{c rSup { size 8{2} } } {} , so we must find the difference in mass between the parent 238 U 238 U size 12{ {} rSup { size 8{"238"} } U} {} and the fission products.

Solution

The products have a total mass of

mproducts = 94.919388 u + 139.921610 u+ 3 1.008665 u = 237.866993 u. mproducts = 94.919388 u + 139.921610 u+ 3 1.008665 u = 237.866993 u.
32.27

The mass lost is the mass of 238 U 238 U size 12{ {} rSup { size 8{"238"} } U} {} minus mproductsmproducts size 12{m rSub { size 8{"products"} } } {}, or

Δm= 238.050784 u 237.8669933 u= 0.183791 u,Δm= 238.050784 u 237.8669933 u= 0.183791 u,
32.28

so the energy released is

E = Δ m c 2 = 0.183791 u 931.5 Me V/ c 2 u c 2 = 171.2 MeV. E = Δ m c 2 = 0.183791 u 931.5 Me V/ c 2 u c 2 = 171.2 MeV. alignl { stack { size 12{E= left (Δm right )c rSup { size 8{2} } } {} # " "= left (0 "." "183791"`u right ) { {"931" "." 5`"MeV/"c rSup { size 8{2} } } over {u} } c rSup { size 8{2} } ="171"`"MeV" "." {} } } {}
32.29

Discussion

A number of important things arise in this example. The 171-MeV energy released is large, but a little less than the earlier estimated 240 MeV. This is because this fission reaction produces neutrons and does not split the nucleus into two equal parts. Fission of a given nuclide, such as 238 U 238 U size 12{ {} rSup { size 8{"238"} } U} {} , does not always produce the same products. Fission is a statistical process in which an entire range of products are produced with various probabilities. Most fission produces neutrons, although the number varies with each fission. This is an extremely important aspect of fission, because neutrons can induce more fission, enabling self-sustaining chain reactions.

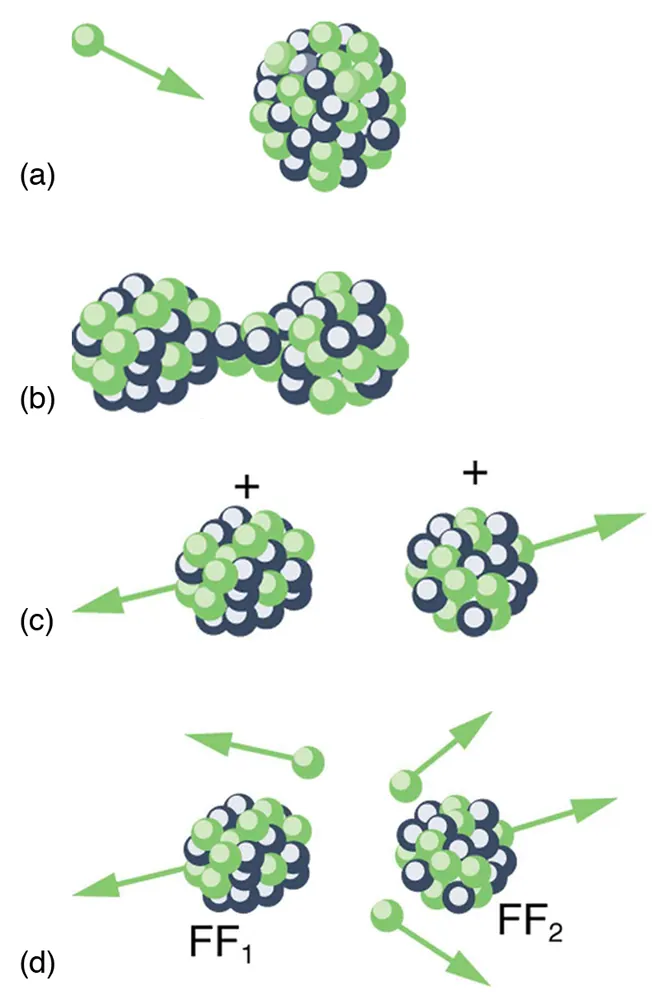
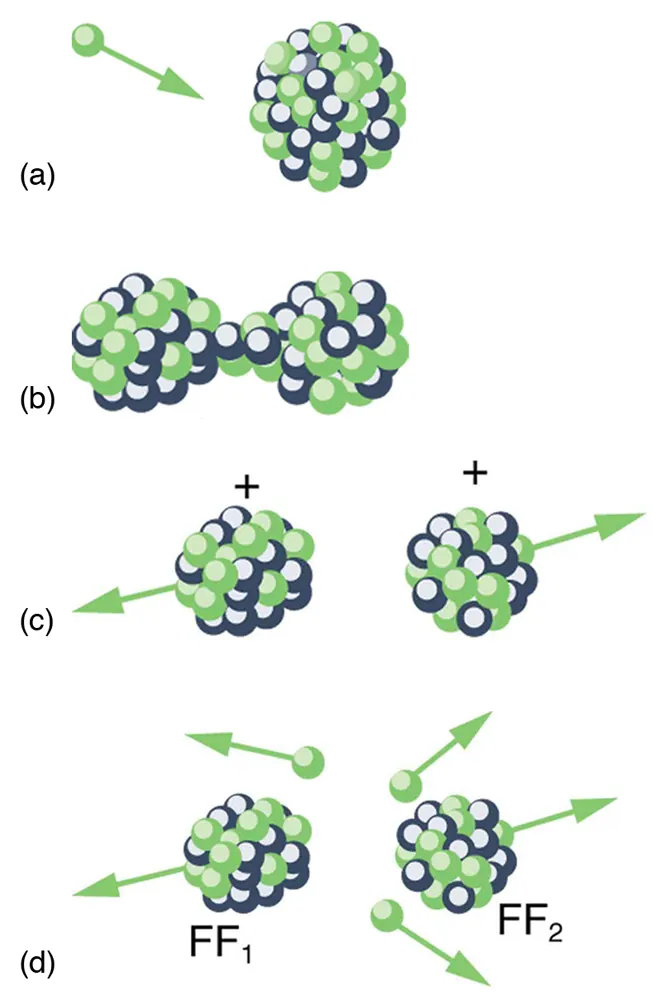
Spontaneous fission can occur, but this is usually not the most common decay mode for a given nuclide. For example, 238 U 238 U size 12{ {} rSup { size 8{"238"} } U} {} can spontaneously fission, but it decays mostly by αα size 12{α} {} emission. Neutron-induced fission is crucial as seen in Figure 32.23. Being chargeless, even low-energy neutrons can strike a nucleus and be absorbed once they feel the attractive nuclear force. Large nuclei are described by a liquid drop model with surface tension and oscillation modes, because the large number of nucleons act like atoms in a drop. The neutron is attracted and thus, deposits energy, causing the nucleus to deform as a liquid drop. If stretched enough, the nucleus narrows in the middle. The number of nucleons in contact and the strength of the nuclear force binding the nucleus together are reduced. Coulomb repulsion between the two ends then succeeds in fissioning the nucleus, which pops like a water drop into two large pieces and a few neutrons. Neutron-induced fission can be written as

n+ A XFF1+FF2+xn,n+ A XFF1+FF2+xn, size 12{n+"" lSup { size 8{A} } X rightarrow "FF" rSub { size 8{1} } +"FF" rSub { size 8{2} } + ital "xn"} {}
32.30

where FF1FF1 size 12{"FF" rSub { size 8{1} } } {} and FF2FF2 size 12{"FF" rSub { size 8{2} } } {} are the two daughter nuclei, called fission fragments, and xx size 12{x} {} is the number of neutrons produced. Most often, the masses of the fission fragments are not the same. Most of the released energy goes into the kinetic energy of the fission fragments, with the remainder going into the neutrons and excited states of the fragments. Since neutrons can induce fission, a self-sustaining chain reaction is possible, provided more than one neutron is produced on average — that is, if x>1x>1 size 12{x>1} {} in n+AXFF1+FF2+xnn+AXFF1+FF2+xn. This can also be seen in Figure 32.24.

An example of a typical neutron-induced fission reaction is

n+92235U 56142Ba + 3691Kr+3n.n+92235U 56142Ba + 3691Kr+3n.
32.31

Note that in this equation, the total charge remains the same (is conserved): 92 + 0 = 56 + 36 92 + 0 = 56 + 36 size 12{"92"+0="56"+"36"} {} . Also, as far as whole numbers are concerned, the mass is constant: 1 + 235 = 142 + 91 + 3 1 + 235 = 142 + 91 + 3 size 12{1+"235"="142"+"91"+3} {} . This is not true when we consider the masses out to 6 or 7 significant places, as in the previous example.

A neutron gets absorbed in a nucleus, making it narrower in the middle, then finally breaking into two parts and ejecting some neutrons.
Figure 32.23 Neutron-induced fission is shown. First, energy is put into this large nucleus when it absorbs a neutron. Acting like a struck liquid drop, the nucleus deforms and begins to narrow in the middle. Since fewer nucleons are in contact, the repulsive Coulomb force is able to break the nucleus into two parts with some neutrons also flying away.
A uranium nucleus struck by a neutron produces two fragments and three neutrons, two of which continue to strike two other uranium nuclei and hence, initiate a chain reaction.
Figure 32.24 A chain reaction can produce self-sustained fission if each fission produces enough neutrons to induce at least one more fission. This depends on several factors, including how many neutrons are produced in an average fission and how easy it is to make a particular type of nuclide fission.

Not every neutron produced by fission induces fission. Some neutrons escape the fissionable material, while others interact with a nucleus without making it fission. We can enhance the number of fissions produced by neutrons by having a large amount of fissionable material. The minimum amount necessary for self-sustained fission of a given nuclide is called its critical mass. Some nuclides, such as 239 Pu 239 Pu size 12{ {} rSup { size 8{"239"} } ital "Pu"} {} , produce more neutrons per fission than others, such as 235 U 235 U size 12{ {} rSup { size 8{"235"} } U} {} . Additionally, some nuclides are easier to make fission than others. In particular, 235 U 235 U size 12{ {} rSup { size 8{"235"} } U} {} and 239 Pu 239 Pu size 12{ {} rSup { size 8{"239"} } ital "Pu"} {} are easier to fission than the much more abundant 238 U 238 U size 12{ {} rSup { size 8{"238"} } U} {} . Both factors affect critical mass, which is smallest for 239 Pu 239 Pu size 12{ {} rSup { size 8{"239"} } ital "Pu"} {} .

The reason 235 U 235 U size 12{ {} rSup { size 8{"235"} } U} {} and 239 Pu 239 Pu size 12{ {} rSup { size 8{"239"} } ital "Pu"} {} are easier to fission than 238 U 238 U size 12{ {} rSup { size 8{"238"} } U} {} is that the nuclear force is more attractive for an even number of neutrons in a nucleus than for an odd number. Consider that 92 235 U 143 92 235 U 143 size 12{"" lSub { size 8{"92"} } lSup { size 8{"235"} } U rSub { size 8{"143"} } } {} has 143 neutrons, and 94 239 P 145 94 239 P 145 size 12{"" lSub { size 8{"94"} } lSup { size 8{"239"} } P rSub { size 8{"145"} } } {} has 145 neutrons, whereas 92 238 U 146 92 238 U 146 size 12{"" lSub { size 8{"92"} } lSup { size 8{"238"} } U rSub { size 8{"146"} } } {} has 146. When a neutron encounters a nucleus with an odd number of neutrons, the nuclear force is more attractive, because the additional neutron will make the number even. About 2-MeV more energy is deposited in the resulting nucleus than would be the case if the number of neutrons was already even. This extra energy produces greater deformation, making fission more likely. Thus, 235 U 235 U size 12{ {} rSup { size 8{"235"} } U} {} and 239 Pu 239 Pu size 12{ {} rSup { size 8{"239"} } ital "Pu"} {} are superior fission fuels. The isotope 235 U 235 U size 12{ {} rSup { size 8{"235"} } U} {} is only 0.72 % of natural uranium, while 238 U 238 U size 12{ {} rSup { size 8{"238"} } U} {} is 99.27%, and 239 Pu 239 Pu size 12{ {} rSup { size 8{"239"} } ital "Pu"} {} does not exist in nature. Australia has the largest deposits of uranium in the world, standing at 28% of the total. This is followed by Kazakhstan and Canada. The US has only 3% of global reserves.

Most fission reactors utilize 235 U 235 U size 12{ {} rSup { size 8{"235"} } U} {} , which is separated from 238 U 238 U size 12{ {} rSup { size 8{"238"} } U} {} at some expense. This is called enrichment. The most common separation method is gaseous diffusion of uranium hexafluoride (UF6UF6 size 12{"UF" rSub { size 8{6} } } {}) through membranes. Since 235 U 235 U size 12{ {} rSup { size 8{"235"} } U} {} has less mass than 238 U 238 U size 12{ {} rSup { size 8{"238"} } U} {} , its UF6UF6 size 12{"UF" rSub { size 8{6} } } {} molecules have higher average velocity at the same temperature and diffuse faster. Another interesting characteristic of 235 U 235 U size 12{ {} rSup { size 8{"235"} } U} {} is that it preferentially absorbs very slow moving neutrons (with energies a fraction of an eV), whereas fission reactions produce fast neutrons with energies in the order of an MeV. To make a self-sustained fission reactor with 235 U 235 U size 12{ {} rSup { size 8{"235"} } U} {} , it is thus necessary to slow down (“thermalize”) the neutrons. Water is very effective, since neutrons collide with protons in water molecules and lose energy. Figure 32.25 shows a schematic of a reactor design, called the pressurized water reactor.

The figure shows a close-shielded vessel containing fuel rod and control rods along with a moderator in one chamber from which heat is taken out to the other chamber to change water to steam. Next, the steam is taken out from the vessel to run a turbine, and then it is condensed and sent back to the closed vessel.
Figure 32.25 A pressurized water reactor is cleverly designed to control the fission of large amounts of 235 U 235 U size 12{ {} rSup { size 8{"235"} } U} {} , while using the heat produced in the fission reaction to create steam for generating electrical energy. Control rods adjust neutron flux so that criticality is obtained, but not exceeded. In case the reactor overheats and boils the water away, the chain reaction terminates, because water is needed to thermalize the neutrons. This inherent safety feature can be overwhelmed in extreme circumstances.

Control rods containing nuclides that very strongly absorb neutrons are used to adjust neutron flux. To produce large power, reactors contain hundreds to thousands of critical masses, and the chain reaction easily becomes self-sustaining, a condition called criticality. Neutron flux should be carefully regulated to avoid an exponential increase in fissions, a condition called supercriticality. Control rods help prevent overheating, perhaps even a meltdown or explosive disassembly. The water that is used to thermalize neutrons, necessary to get them to induce fission in 235 U 235 U size 12{ {} rSup { size 8{"235"} } U} {} , and achieve criticality, provides a negative feedback for temperature increases. In case the reactor overheats and boils the water to steam or is breached, the absence of water kills the chain reaction. Considerable heat, however, can still be generated by the reactor’s radioactive fission products. Other safety features, thus, need to be incorporated in the event of a loss of coolant accident, including auxiliary cooling water and pumps.

Example 32.4

Calculating Energy from a Kilogram of Fissionable Fuel

Calculate the amount of energy produced by the fission of 1.00 kg of 235 U 235 U size 12{ {} rSup { size 8{"235"} } U} {} , given the average fission reaction of 235 U 235 U size 12{ {} rSup { size 8{"235"} } U} {} produces 200 MeV.

Strategy

The total energy produced is the number of 235 U 235 U size 12{ {} rSup { size 8{"235"} } U} {} atoms times the given energy per 235 U 235 U size 12{ {} rSup { size 8{"235"} } U} {} fission. We should therefore find the number of 235 U 235 U size 12{ {} rSup { size 8{"235"} } U} {} atoms in 1.00 kg.

Solution

The number of 235 U 235 U atoms in 1.00 kg is Avogadro’s number times the number of moles. One mole of 235 U 235 U has a mass of 235.04 g; thus, there are (1000 g)/(235.04 g/mol)=4.25 mol(1000 g)/(235.04 g/mol)=4.25 mol. The number of 235 U 235 U size 12{ {} rSup { size 8{"235"} } U} {} atoms is therefore,

4.25 mol 6.02×1023235U/mol=2.56×1024235U.4.25 mol 6.02×1023235U/mol=2.56×1024235U. size 12{ left (4 "." "25"`"mol" right ) left (6 "." "02" times "10" rSup { size 8{"23"} } `"" lSup { size 8{"235"} } "U/mol" right )=2 "." "56" times "10" rSup { size 8{"24"} } `"" lSup { size 8{"235"} } U} {}
32.32

So the total energy released is

E = 2 . 56 × 10 24 235 U 200 MeV 235 U 1.60 × 10 13 J MeV = 8.21 × 10 13 J . E = 2 . 56 × 10 24 235 U 200 MeV 235 U 1.60 × 10 13 J MeV = 8.21 × 10 13 J . alignl { stack { size 12{E= left (2 "." "56" times "10" rSup { size 8{"24"} } `"" lSup { size 8{"235"} } U right ) left ( { {"200"`"MeV"} over {"" lSup { size 8{"235"} } U} } right ) left ( { {1 "." "60" times "10" rSup { size 8{ - "13"} } `J} over {"MeV"} } right )} {} # " "=" 8" "." "20" times "10" rSup { size 8{"13"} } `J "." {} } } {}
32.33

Discussion

This is another impressively large amount of energy, equivalent to about 14,000 barrels of crude oil or 600,000 gallons of gasoline. But, it is only one-fourth the energy produced by the fusion of a kilogram mixture of deuterium and tritium as seen in Example 32.2. Even though each fission reaction yields about ten times the energy of a fusion reaction, the energy per kilogram of fission fuel is less, because there are far fewer moles per kilogram of the heavy nuclides. Fission fuel is also much more scarce than fusion fuel, and less than 1% of uranium (the 235 U ) (the 235 U ) size 12{ {} rSup { size 8{"235"} } U} {} is readily usable.

One nuclide already mentioned is 239 Pu 239 Pu size 12{ {} rSup { size 8{"239"} } ital "Pu"} {} , which has a 24,120-y half-life and does not exist in nature. Plutonium-239 is manufactured from 238 U 238 U size 12{ {} rSup { size 8{"238"} } U} {} in reactors, and it provides an opportunity to utilize the other 99% of natural uranium as an energy source. The following reaction sequence, called breeding, produces 239 Pu 239 Pu size 12{ {} rSup { size 8{"239"} } ital "Pu"} {} . Breeding begins with neutron capture by 238 U 238 U size 12{ {} rSup { size 8{"238"} } U} {} :

238U+n239U+γ.238U+n239U+γ.
32.34

Uranium-239 then ββ decays:

239U239Np+β+ve (t1/2=23min).239U239Np+β+ve (t1/2=23min).
32.35

Neptunium-239 also ββ decays:

239Np239Pu+β+ve (t1/2=2.4d).239Np239Pu+β+ve (t1/2=2.4d).
32.36

Plutonium-239 builds up in reactor fuel at a rate that depends on the probability of neutron capture by 238 U 238 U size 12{ {} rSup { size 8{"238"} } U} {} (all reactor fuel contains more 238 U 238 U size 12{ {} rSup { size 8{"238"} } U} {} than 235 U 235 U size 12{ {} rSup { size 8{"235"} } U} {} ). Reactors designed specifically to make plutonium are called breeder reactors. They seem to be inherently more hazardous than conventional reactors, but it remains unknown whether their hazards can be made economically acceptable. The four reactors at Chernobyl, including the one that was destroyed, were built to breed plutonium and produce electricity. These reactors had a design that was significantly different from the pressurized water reactor illustrated above.

Plutonium-239 has advantages over 235 U 235 U size 12{ {} rSup { size 8{"235"} } U} {} as a reactor fuel — it produces more neutrons per fission on average, and it is easier for a thermal neutron to cause it to fission. It is also chemically different from uranium, so it is inherently easier to separate from uranium ore. This means 239 Pu 239 Pu size 12{ {} rSup { size 8{"239"} } ital "Pu"} {} has a particularly small critical mass, an advantage for nuclear weapons.

PhET Explorations

Nuclear Fission

Start a chain reaction, or introduce non-radioactive isotopes to prevent one. Control energy production in a nuclear reactor!

Figure 32.26
Citation/Attribution

This book may not be used in the training of large language models or otherwise be ingested into large language models or generative AI offerings without OpenStax's permission.

Want to cite, share, or modify this book? This book uses the Creative Commons Attribution License and you must attribute OpenStax.

Attribution information Citation information

© Mar 3, 2022 OpenStax. Textbook content produced by OpenStax is licensed under a Creative Commons Attribution License . The OpenStax name, OpenStax logo, OpenStax book covers, OpenStax CNX name, and OpenStax CNX logo are not subject to the Creative Commons license and may not be reproduced without the prior and express written consent of Rice University.