Skip to ContentGo to accessibility page
OpenStax Logo
College Algebra

7.8 Solving Systems with Cramer's Rule

College Algebra7.8 Solving Systems with Cramer's Rule
Search for key terms or text.

7.8 Solving Systems with Cramer's Rule

Learning Objectives

In this section, you will:

  • Evaluate  2 × 2  determinants.
  • Use Cramer’s Rule to solve a system of equations in two variables.
  • Evaluate  3 × 3  determinants.
  • Use Cramer’s Rule to solve a system of three equations in three variables.
  • Know the properties of determinants.

We have learned how to solve systems of equations in two variables and three variables, and by multiple methods: substitution, addition, Gaussian elimination, using the inverse of a matrix, and graphing. Some of these methods are easier to apply than others and are more appropriate in certain situations. In this section, we will study two more strategies for solving systems of equations.

Evaluating the Determinant of a 2×2 Matrix

A determinant is a real number that can be very useful in mathematics because it has multiple applications, such as calculating area, volume, and other quantities. Here, we will use determinants to reveal whether a matrix is invertible by using the entries of a square matrix to determine whether there is a solution to the system of equations. Perhaps one of the more interesting applications, however, is their use in cryptography. Secure signals or messages are sometimes sent encoded in a matrix. The data can only be decrypted with an invertible matrix and the determinant. For our purposes, we focus on the determinant as an indication of the invertibility of the matrix. Calculating the determinant of a matrix involves following the specific patterns that are outlined in this section.

Find the Determinant of a 2 × 2 Matrix

The determinant of a 2×2 2×2 matrix, given

A=[ a b c d ] A=[ a b c d ]

is defined as

Notice the change in notation. There are several ways to indicate the determinant, including det( A ) det( A ) and replacing the brackets in a matrix with straight lines, | A |. | A |.

Example 1

Finding the Determinant of a 2 × 2 Matrix

Find the determinant of the given matrix.

A=[ 5 2 6 3 ] A=[ 5 2 6 3 ]

Using Cramer’s Rule to Solve a System of Two Equations in Two Variables

We will now introduce a final method for solving systems of equations that uses determinants. Known as Cramer’s Rule, this technique dates back to the middle of the 18th century and is named for its innovator, the Swiss mathematician Gabriel Cramer (1704-1752), who introduced it in 1750 in Introduction à l'Analyse des lignes Courbes algébriques. Cramer’s Rule is a viable and efficient method for finding solutions to systems with an arbitrary number of unknowns, provided that we have the same number of equations as unknowns.

Cramer’s Rule will give us the unique solution to a system of equations, if it exists. However, if the system has no solution or an infinite number of solutions, this will be indicated by a determinant of zero. To find out if the system is inconsistent or dependent, another method, such as elimination, will have to be used.

To understand Cramer’s Rule, let’s look closely at how we solve systems of linear equations using basic row operations. Consider a system of two equations in two variables.

a 1 x+ b 1 y= c 1 ( 1 ) a 2 x+ b 2 y= c 2 ( 2 ) a 1 x+ b 1 y= c 1 ( 1 ) a 2 x+ b 2 y= c 2 ( 2 )

We eliminate one variable using row operations and solve for the other. Say that we wish to solve for x. x. If equation (2) is multiplied by the opposite of the coefficient of y y in equation (1), equation (1) is multiplied by the coefficient of y y in equation (2), and we add the two equations, the variable y y will be eliminated.

b 2 a 1 x+ b 2 b 1 y= b 2 c 1 Multiply  R 1 by  b 2 b 1 a 2 x b 1 b 2 y= b 1 c 2 Multiply  R 2 by b 1 ________________________________________________________   b 2 a 1 x b 1 a 2 x= b 2 c 1 b 1 c 2 b 2 a 1 x+ b 2 b 1 y= b 2 c 1 Multiply  R 1 by  b 2 b 1 a 2 x b 1 b 2 y= b 1 c 2 Multiply  R 2 by b 1 ________________________________________________________   b 2 a 1 x b 1 a 2 x= b 2 c 1 b 1 c 2

Now, solve for x. x.

b 2 a 1 x b 1 a 2 x= b 2 c 1 b 1 c 2 x( b 2 a 1 b 1 a 2 )= b 2 c 1 b 1 c 2                       x= b 2 c 1 b 1 c 2 b 2 a 1 b 1 a 2 = | c 1 b 1 c 2 b 2 | | a 1 b 1 a 2 b 2 | b 2 a 1 x b 1 a 2 x= b 2 c 1 b 1 c 2 x( b 2 a 1 b 1 a 2 )= b 2 c 1 b 1 c 2                       x= b 2 c 1 b 1 c 2 b 2 a 1 b 1 a 2 = | c 1 b 1 c 2 b 2 | | a 1 b 1 a 2 b 2 |

Similarly, to solve for y, y, we will eliminate x. x.

a 2 a 1 x+ a 2 b 1 y= a 2 c 1 Multiply  R 1 by  a 2 a 1 a 2 x a 1 b 2 y= a 1 c 2 Multiply  R 2 by a 1 ________________________________________________________ a 2 b 1 y a 1 b 2 y= a 2 c 1 a 1 c 2 a 2 a 1 x+ a 2 b 1 y= a 2 c 1 Multiply  R 1 by  a 2 a 1 a 2 x a 1 b 2 y= a 1 c 2 Multiply  R 2 by a 1 ________________________________________________________ a 2 b 1 y a 1 b 2 y= a 2 c 1 a 1 c 2

Solving for y y gives

a 2 b 1 y a 1 b 2 y= a 2 c 1 a 1 c 2 y( a 2 b 1 a 1 b 2 )= a 2 c 1 a 1 c 2                        y= a 2 c 1 a 1 c 2 a 2 b 1 a 1 b 2 = a 1 c 2 a 2 c 1 a 1 b 2 a 2 b 1 = | a 1 c 1 a 2 c 2 | | a 1 b 1 a 2 b 2 | a 2 b 1 y a 1 b 2 y= a 2 c 1 a 1 c 2 y( a 2 b 1 a 1 b 2 )= a 2 c 1 a 1 c 2                        y= a 2 c 1 a 1 c 2 a 2 b 1 a 1 b 2 = a 1 c 2 a 2 c 1 a 1 b 2 a 2 b 1 = | a 1 c 1 a 2 c 2 | | a 1 b 1 a 2 b 2 |

Notice that the denominator for both x x and y y is the determinant of the coefficient matrix.

We can use these formulas to solve for x x and y, y, but Cramer’s Rule also introduces new notation:

  • D: D: determinant of the coefficient matrix
  • D x : D x : determinant of the numerator in the solution of x x
    x= D x D x= D x D
  • D y : D y : determinant of the numerator in the solution of y y
    y= D y D y= D y D

The key to Cramer’s Rule is replacing the variable column of interest with the constant column and calculating the determinants. We can then express x x and y y as a quotient of two determinants.

Cramer’s Rule for 2×2 Systems

Cramer’s Rule is a method that uses determinants to solve systems of equations that have the same number of equations as variables.

Consider a system of two linear equations in two variables.

a 1 x+ b 1 y= c 1 a 2 x+ b 2 y= c 2 a 1 x+ b 1 y= c 1 a 2 x+ b 2 y= c 2

The solution using Cramer’s Rule is given as

x= D x D = | c 1 b 1 c 2 b 2 | | a 1 b 1 a 2 b 2 | ,D0;y= D y D = | a 1 c 1 a 2 c 2 | | a 1 b 1 a 2 b 2 | ,D0. x= D x D = | c 1 b 1 c 2 b 2 | | a 1 b 1 a 2 b 2 | ,D0;y= D y D = | a 1 c 1 a 2 c 2 | | a 1 b 1 a 2 b 2 | ,D0.

If we are solving for x, x, the x x column is replaced with the constant column. If we are solving for y, y, the y y column is replaced with the constant column.

Example 2

Using Cramer’s Rule to Solve a 2 × 2 System

Solve the following 2×2 2×2 system using Cramer’s Rule.

12x+3y=15  2x3y=13 12x+3y=15  2x3y=13

Try It #1

Use Cramer’s Rule to solve the 2 × 2 system of equations.

  x+2y=−11 2x+y=−13   x+2y=−11 2x+y=−13

Evaluating the Determinant of a 3 × 3 Matrix

Finding the determinant of a 2×2 matrix is straightforward, but finding the determinant of a 3×3 matrix is more complicated. One method is to augment the 3×3 matrix with a repetition of the first two columns, giving a 3×5 matrix. Then we calculate the sum of the products of entries down each of the three diagonals (upper left to lower right), and subtract the products of entries up each of the three diagonals (lower left to upper right). This is more easily understood with a visual and an example.

Find the determinant of the 3×3 matrix.

A=[ a 1 b 1 c 1 a 2 b 2 c 2 a 3 b 3 c 3 ] A=[ a 1 b 1 c 1 a 2 b 2 c 2 a 3 b 3 c 3 ]
  1. Augment A A with the first two columns.
    det(A)=| a 1 b 1 c 1 a 2 b 2 c 2 a 3 b 3 c 3 | a 1 a 2 a 3 b 1 b 2 b 3 | det(A)=| a 1 b 1 c 1 a 2 b 2 c 2 a 3 b 3 c 3 | a 1 a 2 a 3 b 1 b 2 b 3 |
  2. From upper left to lower right: Multiply the entries down the first diagonal. Add the result to the product of entries down the second diagonal. Add this result to the product of the entries down the third diagonal.
  3. From lower left to upper right: Subtract the product of entries up the first diagonal. From this result subtract the product of entries up the second diagonal. From this result, subtract the product of entries up the third diagonal.

The algebra is as follows:

| A |= a 1 b 2 c 3 + b 1 c 2 a 3 + c 1 a 2 b 3 a 3 b 2 c 1 b 3 c 2 a 1 c 3 a 2 b 1 | A |= a 1 b 2 c 3 + b 1 c 2 a 3 + c 1 a 2 b 3 a 3 b 2 c 1 b 3 c 2 a 1 c 3 a 2 b 1

Example 3

Finding the Determinant of a 3 × 3 Matrix

Find the determinant of the 3 × 3 matrix given

A=[ 0 2 1 3 1 1 4 0 1 ] A=[ 0 2 1 3 1 1 4 0 1 ]

Try It #2

Find the determinant of the 3 × 3 matrix.

det(A)=| 1 3 7 1 1 1 1 2 3 | det(A)=| 1 3 7 1 1 1 1 2 3 |

Q&A

Can we use the same method to find the determinant of a larger matrix?

No, this method only works for 2×2 2×2 and 3×3 3×3 matrices. For larger matrices it is best to use a graphing utility or computer software.

Using Cramer’s Rule to Solve a System of Three Equations in Three Variables

Now that we can find the determinant of a 3 × 3 matrix, we can apply Cramer’s Rule to solve a system of three equations in three variables. Cramer’s Rule is straightforward, following a pattern consistent with Cramer’s Rule for 2 × 2 matrices. As the order of the matrix increases to 3 × 3, however, there are many more calculations required.

When we calculate the determinant to be zero, Cramer’s Rule gives no indication as to whether the system has no solution or an infinite number of solutions. To find out, we have to perform elimination on the system.

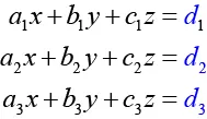
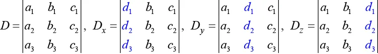
Consider a 3 × 3 system of equations.

x= D x D ,y= D y D ,z= D z D ,D0 x= D x D ,y= D y D ,z= D z D ,D0

where

If we are writing the determinant D x , D x , we replace the x x column with the constant column. If we are writing the determinant D y , D y , we replace the y y column with the constant column. If we are writing the determinant D z , D z , we replace the z z column with the constant column. Always check the answer.

Example 4

Solving a 3 × 3 System Using Cramer’s Rule

Find the solution to the given 3 × 3 system using Cramer’s Rule.

x+yz=6 3x2y+z=−5 x+3y2z=14 x+yz=6 3x2y+z=−5 x+3y2z=14

Try It #3

Use Cramer’s Rule to solve the 3 × 3 matrix.

x3y+7z=13 x+y+z=1 x2y+3z=4 x3y+7z=13 x+y+z=1 x2y+3z=4

Example 5

Using Cramer’s Rule to Solve an Inconsistent System

Solve the system of equations using Cramer’s Rule.

3x2y=4(1) 6x4y=0(2) 3x2y=4(1) 6x4y=0(2)

Example 6

Use Cramer’s Rule to Solve a Dependent System

Solve the system with an infinite number of solutions.

x2y+3z=0 (1) 3x+y2z=0 (2) 2x4y+6z=0 (3) x2y+3z=0 (1) 3x+y2z=0 (2) 2x4y+6z=0 (3)

Understanding Properties of Determinants

There are many properties of determinants. Listed here are some properties that may be helpful in calculating the determinant of a matrix.

Properties of Determinants

  1. If the matrix is in upper triangular form, the determinant equals the product of entries down the main diagonal.
  2. When two rows are interchanged, the determinant changes sign.
  3. If either two rows or two columns are identical, the determinant equals zero.
  4. If a matrix contains either a row of zeros or a column of zeros, the determinant equals zero.
  5. The determinant of an inverse matrix A 1 A 1 is the reciprocal of the determinant of the matrix A. A.
  6. If any row or column is multiplied by a constant, the determinant is multiplied by the same factor.

Example 7

Illustrating Properties of Determinants

Illustrate each of the properties of determinants.

Example 8

Using Cramer’s Rule and Determinant Properties to Solve a System

Find the solution to the given 3 × 3 system.

2x+4y+4z=2 (1) 3x+7y+7z=−5 (2)  x+2y+2z=4 (3) 2x+4y+4z=2 (1) 3x+7y+7z=−5 (2)  x+2y+2z=4 (3)

Media

Access these online resources for additional instruction and practice with Cramer’s Rule.

7.8 Section Exercises

Verbal

1.

Explain why we can always evaluate the determinant of a square matrix.

2.

Examining Cramer’s Rule, explain why there is no unique solution to the system when the determinant of your matrix is 0. For simplicity, use a 2×2 2×2 matrix.

3.

Explain what it means in terms of an inverse for a matrix to have a 0 determinant.

4.

The determinant of 2×2 2×2 matrix A A is 3. If you switch the rows and multiply the first row by 6 and the second row by 2, explain how to find the determinant and provide the answer.

Algebraic

For the following exercises, find the determinant.

5.

| 1 2 3 4 | | 1 2 3 4 |

6.

| 1 2 3 4 | | 1 2 3 4 |

7.

| 2 5 1 6 | | 2 5 1 6 |

8.

| 8 4 1 5 | | 8 4 1 5 |

9.

| 1 0 3 4 | | 1 0 3 4 |

10.

| 10 20 0 10 | | 10 20 0 10 |

11.

| 10 0.2 5 0.1 | | 10 0.2 5 0.1 |

12.

| 6 3 8 4 | | 6 3 8 4 |

13.

| 2 3 3.1 4,000 | | 2 3 3.1 4,000 |

14.

| 1.1 0.6 7.2 0.5 | | 1.1 0.6 7.2 0.5 |

15.

| 1 0 0 0 1 0 0 0 3 | | 1 0 0 0 1 0 0 0 3 |

16.

| 1 4 0 0 2 3 0 0 3 | | 1 4 0 0 2 3 0 0 3 |

17.

| 1 0 1 0 1 0 1 0 0 | | 1 0 1 0 1 0 1 0 0 |

18.

| 2 3 1 3 4 1 5 6 1 | | 2 3 1 3 4 1 5 6 1 |

19.

| 2 1 4 4 2 8 2 8 3 | | 2 1 4 4 2 8 2 8 3 |

20.

| 6 1 2 4 3 5 1 9 1 | | 6 1 2 4 3 5 1 9 1 |

21.

| 5 1 1 2 3 1 3 6 3 | | 5 1 1 2 3 1 3 6 3 |

22.

| 1.1 2 1 4 0 0 4.1 0.4 2.5 | | 1.1 2 1 4 0 0 4.1 0.4 2.5 |

23.

| 2 1.6 3.1 1.1 3 8 9.3 0 2 | | 2 1.6 3.1 1.1 3 8 9.3 0 2 |

24.

| 1 2 1 3 1 4 1 5 1 6 1 7 0 0 1 8 | | 1 2 1 3 1 4 1 5 1 6 1 7 0 0 1 8 |

For the following exercises, solve the system of linear equations using Cramer’s Rule.

25.

2x3y=−1 4x+5y=9 2x3y=−1 4x+5y=9

26.

5x4y=2 4x+7y=6 5x4y=2 4x+7y=6

27.

6x3y=2 8x+9y=−1 6x3y=2 8x+9y=−1

28.

2x+6y=12 5x2y=13 2x+6y=12 5x2y=13

29.

4x+3y=23 2xy=−1 4x+3y=23 2xy=−1

30.

10x6y=2 5x+8y=−1 10x6y=2 5x+8y=−1

31.

4x3y=−3 2x+6y=−4 4x3y=−3 2x+6y=−4

32.

4x5y=7 3x+9y=0 4x5y=7 3x+9y=0

33.

4x+10y=180 3x5y=−105 4x+10y=180 3x5y=−105

34.

8x2y=−3 4x+6y=4 8x2y=−3 4x+6y=4

For the following exercises, solve the system of linear equations using Cramer’s Rule.

35.

x+2y4z=1 7x+3y+5z=26 2x6y+7z=6 x+2y4z=1 7x+3y+5z=26 2x6y+7z=6

36.

5x+2y4z=47 4x3yz=94 3x3y+2z=94 5x+2y4z=47 4x3yz=94 3x3y+2z=94

37.

4x+5yz=−7 −2x9y+2z=8 5y+7z=21 4x+5yz=−7 −2x9y+2z=8 5y+7z=21

38.

4x3y+4z=10 5x2z=2 3x+2y5z=9 4x3y+4z=10 5x2z=2 3x+2y5z=9

39.

4x2y+3z=6 6x+y=2 2x+7y+8z=24 4x2y+3z=6 6x+y=2 2x+7y+8z=24

40.

5x+2yz=1 7x8y+3z=1.5 6x12y+z=7 5x+2yz=1 7x8y+3z=1.5 6x12y+z=7

41.

13x17y+16z=73 11x+15y+17z=61 46x+10y30z=18 13x17y+16z=73 11x+15y+17z=61 46x+10y30z=18

42.

4x3y8z=7 2x9y+5z=0.5 5x6y5z=2 4x3y8z=7 2x9y+5z=0.5 5x6y5z=2

43.

4x6y+8z=10 2x+3y4z=5 x+y+z=1 4x6y+8z=10 2x+3y4z=5 x+y+z=1

44.

4x6y+8z=10 2x+3y4z=5 12x+18y24z=30 4x6y+8z=10 2x+3y4z=5 12x+18y24z=30

Technology

For the following exercises, use the determinant function on a graphing utility.

45.

| 1 0 8 9 0 2 1 0 1 0 3 0 0 2 4 3 | | 1 0 8 9 0 2 1 0 1 0 3 0 0 2 4 3 |

46.

| 1 0 2 1 0 −9 1 3 3 0 −2 −1 0 1 1 −2 | | 1 0 2 1 0 −9 1 3 3 0 −2 −1 0 1 1 −2 |

47.

| 1 2 1 7 4 0 1 2 100 5 0 0 2 2,000 0 0 0 2 | | 1 2 1 7 4 0 1 2 100 5 0 0 2 2,000 0 0 0 2 |

48.

| 1 0 0 0 2 3 0 0 4 5 6 0 7 8 9 0 | | 1 0 0 0 2 3 0 0 4 5 6 0 7 8 9 0 |

Real-World Applications

For the following exercises, create a system of linear equations to describe the behavior. Then, calculate the determinant. Will there be a unique solution? If so, find the unique solution.

49.

Two numbers add up to 56. One number is 20 less than the other.

50.

Two numbers add up to 104. If you add two times the first number plus two times the second number, your total is 208

51.

Three numbers add up to 106. The first number is 3 less than the second number. The third number is 4 more than the first number.

52.

Three numbers add to 216. The sum of the first two numbers is 112. The third number is 8 less than the first two numbers combined.

For the following exercises, create a system of linear equations to describe the behavior. Then, solve the system for all solutions using Cramer’s Rule.

53.

You invest $10,000 into two accounts, which receive 8% interest and 5% interest. At the end of a year, you had $10,710 in your combined accounts. How much was invested in each account?

54.

You invest $80,000 into two accounts, $22,000 in one account, and $58,000 in the other account. At the end of one year, assuming simple interest, you have earned $2,470 in interest. The second account receives half a percent less than twice the interest on the first account. What are the interest rates for your accounts?

55.

A movie theater needs to know how many adult tickets and children tickets were sold out of the 1,200 total tickets. If children’s tickets are $5.95, adult tickets are $11.15, and the total amount of revenue was $12,756, how many children’s tickets and adult tickets were sold?

56.

A concert venue sells single tickets for $40 each and couple’s tickets for $65. If the total revenue was $18,090 and the 321 tickets were sold, how many single tickets and how many couple’s tickets were sold?

57.

You decide to paint your kitchen green. You create the color of paint by mixing yellow and blue paints. You cannot remember how many gallons of each color went into your mix, but you know there were 10 gal total. Additionally, you kept your receipt, and know the total amount spent was $29.50. If each gallon of yellow costs $2.59, and each gallon of blue costs $3.19, how many gallons of each color go into your green mix?

58.

You sold two types of scarves at a farmers’ market and would like to know which one was more popular. The total number of scarves sold was 56, the yellow scarf cost $10, and the purple scarf cost $11. If you had total revenue of $583, how many yellow scarves and how many purple scarves were sold?

59.

Your garden produced two types of tomatoes, one green and one red. The red weigh 10 oz, and the green weigh 4 oz. You have 30 tomatoes, and a total weight of 13 lb, 14 oz. How many of each type of tomato do you have?

60.

At a market, the three most popular vegetables make up 53% of vegetable sales. Corn has 4% higher sales than broccoli, which has 5% more sales than onions. What percentage does each vegetable have in the market share?

61.

At the same market, the three most popular fruits make up 37% of the total fruit sold. Strawberries sell twice as much as oranges, and kiwis sell one more percentage point than oranges. For each fruit, find the percentage of total fruit sold.

62.

Three bands performed at a concert venue. The first band charged $15 per ticket, the second band charged $45 per ticket, and the final band charged $22 per ticket. There were 510 tickets sold, for a total of $12,700. If the first band had 40 more audience members than the second band, how many tickets were sold for each band?

63.

A movie theatre sold tickets to three movies. The tickets to the first movie were $5, the tickets to the second movie were $11, and the third movie was $12. 100 tickets were sold to the first movie. The total number of tickets sold was 642, for a total revenue of $6,774. How many tickets for each movie were sold?

64.

Men aged 20–29, 30–39, and 40–49 made up 78% of the population at a prison last year. This year, the same age groups made up 82.08% of the population. The 20–29 age group increased by 20%, the 30–39 age group increased by 2%, and the 40–49 age group decreased to 3 4 3 4 of their previous population. Originally, the 30–39 age group had 2% more prisoners than the 20–29 age group. Determine the prison population percentage for each age group last year.

65.

At a women’s prison down the road, the total number of inmates aged 20–49 totaled 5,525. This year, the 20–29 age group increased by 10%, the 30–39 age group decreased by 20%, and the 40–49 age group doubled. There are now 6,040 prisoners. Originally, there were 500 more in the 30–39 age group than the 20–29 age group. Determine the prison population for each age group last year.

For the following exercises, use this scenario: A health-conscious company decides to make a trail mix out of almonds, dried cranberries, and chocolate-covered cashews. The nutritional information for these items is shown in Table 1.

Fat (g) Protein (g) Carbohydrates (g)
Almonds (10) 6 2 3
Cranberries (10) 0.02 0 8
Cashews (10) 7 3.5 5.5
Table 1
66.

For the special “low-carb”trail mix, there are 1,000 pieces of mix. The total number of carbohydrates is 425 g, and the total amount of fat is 570.2 g. If there are 200 more pieces of cashews than cranberries, how many of each item is in the trail mix?

67.

For the “hiking” mix, there are 1,000 pieces in the mix, containing 390.8 g of fat, and 165 g of protein. If there is the same amount of almonds as cashews, how many of each item is in the trail mix?

68.

For the “energy-booster” mix, there are 1,000 pieces in the mix, containing 145 g of protein and 625 g of carbohydrates. If the number of almonds and cashews summed together is equivalent to the amount of cranberries, how many of each item is in the trail mix?

Citation/Attribution

This book may not be used in the training of large language models or otherwise be ingested into large language models or generative AI offerings without OpenStax's permission.

Want to cite, share, or modify this book? This book uses the Creative Commons Attribution License and you must attribute OpenStax.

Attribution information
  • If you are redistributing all or part of this book in a print format, then you must include on every physical page the following attribution:

    Access for free at https://openstax.org/books/college-algebra/pages/1-introduction-to-prerequisites

  • If you are redistributing all or part of this book in a digital format, then you must include on every digital page view the following attribution:

    Access for free at https://openstax.org/books/college-algebra/pages/1-introduction-to-prerequisites

Citation information

© Dec 8, 2021 OpenStax. Textbook content produced by OpenStax is licensed under a Creative Commons Attribution License . The OpenStax name, OpenStax logo, OpenStax book covers, OpenStax CNX name, and OpenStax CNX logo are not subject to the Creative Commons license and may not be reproduced without the prior and express written consent of Rice University.