Skip to ContentGo to accessibility pageKeyboard shortcuts menu
OpenStax Logo
College Algebra with Corequisite Support 2e

5.7 Inverses and Radical Functions

College Algebra with Corequisite Support 2e5.7 Inverses and Radical Functions
Search for key terms or text.

Learning Objectives

In this section, you will:

  • Find the inverse of an invertible polynomial function.
  • Restrict the domain to find the inverse of a polynomial function.

Corequisite Skills

Learning Objectives

  • Given function, find the inverse function (IA 10.1.3)
  • Find the domain of a radical function (IA 8.7.2)

Objective 1: Given function, find the inverse function (IA 10.1.3).

Vocabulary.

A function is a relation where for every ________ there is exactly one ________.
In order to check if relation is a function we can use ________ test.
Domain of the relation is the set of all ________.
Range of the relation is the set of all ________.

Inverse of a Function

Let’s look at a one-to one function, ff , represented by the ordered pairs {(0,5),(1,6),(2,7),(3,8)}.{(0,5),(1,6),(2,7),(3,8)}. For each xx -value, ff adds 5 to get the yy -value. To ‘undo’ the addition of 5, we subtract 5 from each yy -value and get back to the original xx -value. We can call this “taking the inverse of ff ” and name the function f−1.f−1.

This figure shows the set (0, 5), (1, 6), (2, 7) and (3, 8) on the left side of an oval. The oval contains the numbers 0, 1, 2, and 3. There are black arrows from these numbers that point to the numbers 5, 6, 7, and 8, respectively in a second oval to the right of the first. Above this, there is a black arrow labeled “f add 5” coming from the left oval to the right oval. There are red arrows from the numbers 5, 6, 7, and 8 in the right oval to the numbers 0, 1, 2, and 3, respectively, in the left oval. Below this, we have a red arrow labeled “f with a superscript negative 1” and “subtract 5”. To the right of this, we have the set (5, 0), (6, 1), (7, 2) and (8, 3).

Notice that that the ordered pairs of ff and f−1f−1 have their xx -values and yy -values reversed. The domain of ff is the range of f−1f−1 and the domain of f−1f−1 is the range of f.f.

Note: Do not confuse f-1f-1 with 1f(x)1f(x) . The negative 1 in f-1f-1 is not an exponent but a notation used to designate the inverse function.

To produce an inverse relation or function, interchange the first and the second coordinates of each ordered pair, or interchange the variables in an equation.

Example 1

Given function, find the inverse function.

Find the inverse of the function 0,3,1,5,2,8,3,4. Determine the domain and range of the inverse function.

Practice Makes Perfect

Given function, find the inverse function.

1.

Find the inverse of the function {(6,1),(2,5),(3,11),(0,4)}. Determine the domain and range of the inverse function

If a point (a,b) is on the graph of a function f(x)f(x) , then the ordered pair (b,a) is on the graph of f-1(x)f-1(x) .

Since every point on the graph of a function f(x)f(x) is a mirror image of a point on the graph of f-1(x)f-1(x) , we say the graphs are mirror images of each other through the line y=xy=x . We can use this concept to graph the inverse of a function.

This figure shows the line y equals x with points (3,1) and (1,3) on either side of the line. These two points are connected by a dashed blue line segment.
2.

Graph, on the same coordinate system, the inverse of the function shown below.

The graph shows a line from (negative 3, negative 4) to (negative 2, negative 2) then to (0, negative 1), then to (1, 2) and then to (4, 3). The graph shows a line from (negative 3, 4) to (0, 3) then to (1, 2) and then to (4, 1).

How To

Find the inverse of a One-to-One Function when its given as an equation
  1. Step 1. Substitute y in place of f(x).
  2. Step 2. Interchange the variables x and y.
  3. Step 3. Solve for y.
  4. Step 4. Rewrite y as f-1(x)f-1(x) .
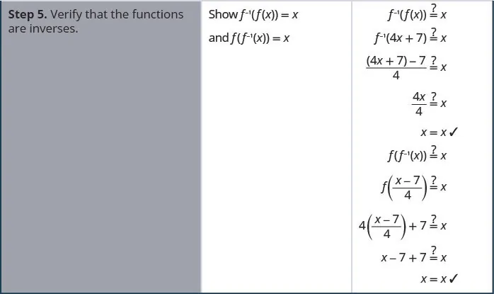
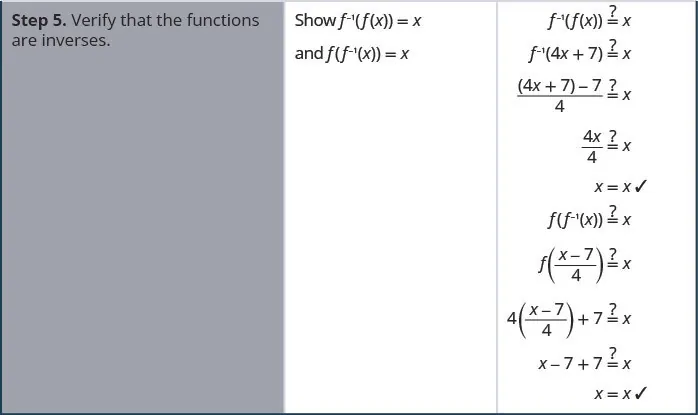
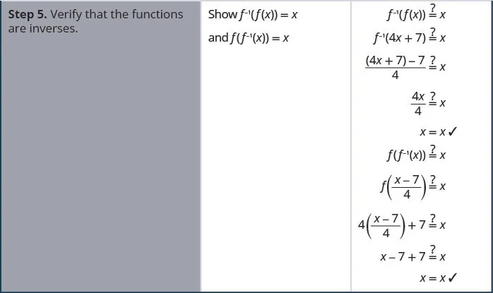
  5. Step 5. Verify that the functions are inverses.

Example 2

Given function, find the inverse function

Find the inverse of f(x)=4x+7.f(x)=4x+7.

Practice Makes Perfect

Find the inverse of each of the following functions using the 4 step procedure outlined above.

3.

f(x)=3x-13f(x)=3x-13

4.

f(x)=5x-2f(x)=5x-2

5.

f(x)=x3+4f(x)=x3+4

Objective 2: Find the domain of a radical function (IA 8.7.2).

A radical function is a function that is defined by a radical expression.

For example, f(x)=x+3f(x)=x+3 , g(x)=2x-13g(x)=2x-13 are both radical functions.

Practice Makes Perfect

6.

For the radical function f(x)=x-2f(x)=x-2 , find the following

  1. f(3)f(3)
  2. f(6)f(6)
  3. f(2)f(2)
  4. f(1)f(1)
  5. Why is there a problem with part d? Explain.
  6. What do you think is the domain of f(x)f(x) ? (Hint: think of domain as all the x-values for which we can evaluate f(x)f(x)
7.

For the radical function f(x)=x-23f(x)=x-23 , find the following

  1. f(3)f(3)
  2. f(6)f(6)
  3. f(2)f(2)
  4. f(1)f(1)
  5. Why is there a problem with part d? Explain.
  6. What do you think is the domain of f(x)f(x) ? (Hint: think of domain as all the x-values for which we can evaluate f(x)f(x)

Domain of a Radical Function

When the index of the radical is even, the radicand must be greater than or equal to zero.

When the index of the radical is odd, the radicand can be any real number.

Example 3

Find the domain of a radical function.

Find the domain of the function f(x)=3x-4f(x)=3x-4 . Write the domain in interval notation.

Practice Makes Perfect

Find the domain of a radical function.Find the domain of the following functions and express using interval notation.

8.

f(x)=3x+5f(x)=3x+5

9.

f(x)=4-6x3f(x)=4-6x3

10.

f(x)=5-x4f(x)=5-x4

Park rangers and other trail managers may construct rock piles, stacks, or other arrangements, usually called cairns, to mark trails or other landmarks. (Rangers and environmental scientists discourage hikers from doing the same, in order to avoid confusion and preserve the habitats of plants and animals.) A cairn in the form of a mound of gravel is in the shape of a cone with the height equal to twice the radius.

Gravel in the shape of a cone.
Figure 1

The volume is found using a formula from elementary geometry.

V = 1 3 π r 2 h = 1 3 π r 2 (2r) = 2 3 π r 3 V = 1 3 π r 2 h = 1 3 π r 2 (2r) = 2 3 π r 3

We have written the volume V V in terms of the radius r. r. However, in some cases, we may start out with the volume and want to find the radius. For example: A customer purchases 100 cubic feet of gravel to construct a cone shape mound with a height twice the radius. What are the radius and height of the new cone? To answer this question, we use the formula

r= 3V 2π 3 r= 3V 2π 3

This function is the inverse of the formula for V V in terms of r. r.

In this section, we will explore the inverses of polynomial and rational functions and in particular the radical functions we encounter in the process.

Finding the Inverse of a Polynomial Function

Two functions f f and g g are inverse functions if for every coordinate pair in f,(a,b), f,(a,b), there exists a corresponding coordinate pair in the inverse function, g,(b,a). g,(b,a). In other words, the coordinate pairs of the inverse functions have the input and output interchanged. Only one-to-one functions have inverses. Recall that a one-to-one function has a unique output value for each input value and passes the horizontal line test.

For example, suppose the Sustainability Club builds a water runoff collector in the shape of a parabolic trough as shown in Figure 2. We can use the information in the figure to find the surface area of the water in the trough as a function of the depth of the water.

Diagram of a parabolic trough that is 18” in height, 3’ in length, and 12” in width.
Figure 2

Because it will be helpful to have an equation for the parabolic cross-sectional shape, we will impose a coordinate system at the cross section, with x x measured horizontally and y y measured vertically, with the origin at the vertex of the parabola. See Figure 3.

Graph of a parabola.
Figure 3

From this we find an equation for the parabolic shape. We placed the origin at the vertex of the parabola, so we know the equation will have form y(x)=a x 2 . y(x)=a x 2 . Our equation will need to pass through the point (6, 18), from which we can solve for the stretch factor a. a.

18 = a 6 2 a = 18 36 = 1 2 18 = a 6 2 a = 18 36 = 1 2

Our parabolic cross section has the equation

y(x)= 1 2 x 2 y(x)= 1 2 x 2

We are interested in the surface area of the water, so we must determine the width at the top of the water as a function of the water depth. For any depth y, y, the width will be given by 2x, 2x, so we need to solve the equation above for x x and find the inverse function. However, notice that the original function is not one-to-one, and indeed, given any output there are two inputs that produce the same output, one positive and one negative.

To find an inverse, we can restrict our original function to a limited domain on which it is one-to-one. In this case, it makes sense to restrict ourselves to positive x x values. On this domain, we can find an inverse by solving for the input variable:

y = 1 2 x 2 2y = x 2 x = ± 2y y = ± 2x y = 1 2 x 2 2y = x 2 x = ± 2y y = ± 2x

This is not a function as written. Since we are limiting ourselves to positive x x values in the original function, we can eliminate the negative solution, which gives us the inverse function we’re looking for.

y= 2x y= 2x

Because x x is the distance from the center of the parabola to either side, the entire width of the water at the top will be 2x. 2x. The trough is 3 feet (36 inches) long, so the surface area will then be:

Area = lw = 362x = 72x = 72 2y Area = lw = 362x = 72x = 72 2y

This example illustrates two important points:

  1. When finding the inverse of a quadratic, we have to limit ourselves to a domain on which the function is one-to-one.
  2. The inverse of a quadratic function is a square root function. Both are toolkit functions and different types of power functions.

Functions involving roots are often called radical functions. While it is not possible to find an inverse of most polynomial functions, some basic polynomials do have inverses. Such functions are called invertible functions, and we use the notation f 1 (x). f 1 (x).

Warning: f 1 (x) f 1 (x) is not the same as the reciprocal of the function f( x ). f( x ). This use of “–1” is reserved to denote inverse functions. To denote the reciprocal of a function f( x ), f( x ), we would need to write ( f( x ) ) 1 = 1 f( x ) . ( f( x ) ) 1 = 1 f( x ) .

An important relationship between inverse functions is that they “undo” each other. If f 1 f 1 is the inverse of a function f, f, then f f is the inverse of the function f 1 . f 1 . In other words, whatever the function f f does to x, x, f 1 f 1 undoes it—and vice-versa.

f 1 ( f( x ) )=x,for all xin the domain of f f 1 ( f( x ) )=x,for all xin the domain of f

and

f( f 1 ( x ) )=x,for all xin the domain of  f 1 f( f 1 ( x ) )=x,for all xin the domain of  f 1

Note that the inverse switches the domain and range of the original function.

Verifying Two Functions Are Inverses of One Another

Two functions, f f and g, g, are inverses of one another if for all x x in the domain of f f and g. g.

g( f( x ) )=f( g( x ) )=x g( f( x ) )=f( g( x ) )=x

How To

Given a polynomial function, find the inverse of the function by restricting the domain in such a way that the new function is one-to-one.

  1. Replace f( x ) f( x ) with y. y.
  2. Interchange x x and y. y.
  3. Solve for y, y, and rename the function f 1 (x). f 1 (x).

Example 1

Verifying Inverse Functions

Show that f( x )= 1 x+1 f( x )= 1 x+1 and f 1 ( x )= 1 x 1 f 1 ( x )= 1 x 1 are inverses, for x0,−1 x0,−1 .

Try It #1

Show that f( x )= x+5 3 f( x )= x+5 3 and f 1 ( x )=3x5 f 1 ( x )=3x5 are inverses.

Example 2

Finding the Inverse of a Cubic Function

Find the inverse of the function f(x)=5 x 3 +1. f(x)=5 x 3 +1.

Analysis

Look at the graph of f f and f –1 . f –1 . Notice that one graph is the reflection of the other about the line y=x. y=x. This is always the case when graphing a function and its inverse function.

Also, since the method involved interchanging x x and y, y, notice corresponding points. If (a,b) (a,b) is on the graph of f, f, then (b,a) (b,a) is on the graph of f –1 . f –1 . Since (0,1) (0,1) is on the graph of f, f, then (1,0) (1,0) is on the graph of f –1 . f –1 . Similarly, since (1,6) (1,6) is on the graph of f, f, then (6,1) (6,1) is on the graph of f –1 . f –1 . See Figure 4.

Graph of f(x)=5x^3+1 and its inverse, f^(-1)(x)=3sqrt((x-1)/(5)).
Figure 4

Try It #2

Find the inverse function of f(x)= x+4 3 . f(x)= x+4 3 .

Restricting the Domain to Find the Inverse of a Polynomial Function

So far, we have been able to find the inverse functions of cubic functions without having to restrict their domains. However, as we know, not all cubic polynomials are one-to-one. Some functions that are not one-to-one may have their domain restricted so that they are one-to-one, but only over that domain. The function over the restricted domain would then have an inverse function. Since quadratic functions are not one-to-one, we must restrict their domain in order to find their inverses.

Restricting the Domain

If a function is not one-to-one, it cannot have an inverse. If we restrict the domain of the function so that it becomes one-to-one, thus creating a new function, this new function will have an inverse.

How To

Given a polynomial function, restrict the domain of a function that is not one-to-one and then find the inverse.

  1. Restrict the domain by determining a domain on which the original function is one-to-one.
  2. Replace f(x) f(x) with y. y.
  3. Interchange x x and y. y.
  4. Solve for y, y, and rename the function or pair of function f −1 (x). f −1 (x).
  5. Revise the formula for f −1 (x) f −1 (x) by ensuring that the outputs of the inverse function correspond to the restricted domain of the original function.

Example 3

Restricting the Domain to Find the Inverse of a Polynomial Function

Find the inverse function of f: f:

  1. f(x)= (x4) 2 , x4 f(x)= (x4) 2 , x4
  2. f(x)= (x4) 2 , x4 f(x)= (x4) 2 , x4

Analysis

On the graphs in Figure 6, we see the original function graphed on the same set of axes as its inverse function. Notice that together the graphs show symmetry about the line y=x. y=x. The coordinate pair (4, 0) (4, 0) is on the graph of f f and the coordinate pair (0, 4) (0, 4) is on the graph of f 1 . f 1 . For any coordinate pair, if ( a,b ) ( a,b ) is on the graph of f, f, then ( b,a ) ( b,a ) is on the graph of f 1 . f 1 . Finally, observe that the graph of f f intersects the graph of f 1 f 1 on the line y=x. y=x. Points of intersection for the graphs of f f and f 1 f 1 will always lie on the line y=x. y=x.

Two graphs of a parabolic function with half of its inverse.
Figure 6

Example 4

Finding the Inverse of a Quadratic Function When the Restriction Is Not Specified

Restrict the domain and then find the inverse of

f(x)= (x2) 2 3. f(x)= (x2) 2 3.

Analysis

Notice that we arbitrarily decided to restrict the domain on x2. x2. We could just have easily opted to restrict the domain on x2, x2, in which case f 1 (x)=2 x+3 . f 1 (x)=2 x+3 . Observe the original function graphed on the same set of axes as its inverse function in Figure 7. Notice that both graphs show symmetry about the line y=x. y=x. The coordinate pair ( 2,3 ) ( 2,3 ) is on the graph of f f and the coordinate pair ( 3,2 ) ( 3,2 ) is on the graph of f 1 . f 1 . Observe from the graph of both functions on the same set of axes that

domain of f=range of  f 1 =[ 2, ) domain of f=range of  f 1 =[ 2, )

and

domain of  f 1 =range of f=[ 3, ). domain of  f 1 =range of f=[ 3, ).

Finally, observe that the graph of f f intersects the graph of f 1 f 1 along the line y=x. y=x.

Graph of a parabolic function with half of its inverse.
Figure 7

Try It #3

Find the inverse of the function f(x)= x 2 +1, f(x)= x 2 +1, on the domain x0. x0.

Solving Applications of Radical Functions

Notice that the functions from previous examples were all polynomials, and their inverses were radical functions. If we want to find the inverse of a radical function, we will need to restrict the domain of the answer because the range of the original function is limited.

How To

Given a radical function, find the inverse.

  1. Determine the range of the original function.
  2. Replace f( x ) f( x ) with y, y, then solve for x. x.
  3. If necessary, restrict the domain of the inverse function to the range of the original function.

Example 5

Finding the Inverse of a Radical Function

Restrict the domain of the function f(x)= x4 f(x)= x4 and then find the inverse.

Analysis

Notice in Figure 8 that the inverse is a reflection of the original function over the line y=x. y=x. Because the original function has only positive outputs, the inverse function has only positive inputs.

Graph of f(x)=sqrt(x-4) and its inverse, f^(-1)(x)=x^2+4.
Figure 8

Try It #4

Restrict the domain and then find the inverse of the function f(x)= 2x+3 . f(x)= 2x+3 .

Solving Applications of Radical Functions

Radical functions are common in physical models, as we saw in the section opener. We now have enough tools to be able to solve the problem posed at the start of the section.

Example 6

Solving an Application with a Cubic Function

Park rangers construct a mound of gravel in the shape of a cone with the height equal to twice the radius. The volume of the cone in terms of the radius is given by

V= 2 3 π r 3 V= 2 3 π r 3

Find the inverse of the function V= 2 3 π r 3 V= 2 3 π r 3 that determines the volume V V of a cone and is a function of the radius r. r. Then use the inverse function to calculate the radius of such a mound of gravel measuring 100 cubic feet. Use π=3.14. π=3.14.

Determining the Domain of a Radical Function Composed with Other Functions

When radical functions are composed with other functions, determining domain can become more complicated.

Example 7

Finding the Domain of a Radical Function Composed with a Rational Function

Find the domain of the function f(x)= (x+2)(x3) (x1) . f(x)= (x+2)(x3) (x1) .

Finding Inverses of Rational Functions

As with finding inverses of quadratic functions, it is sometimes desirable to find the inverse of a rational function, particularly of rational functions that are the ratio of linear functions, such as in concentration applications.

Example 8

Finding the Inverse of a Rational Function

The function C= 20+0.4n 100+n C= 20+0.4n 100+n represents the concentration C C of an acid solution after n n mL of 40% solution has been added to 100 mL of a 20% solution. First, find the inverse of the function; that is, find an expression for n n in terms of C. C. Then use your result to determine how much of the 40% solution should be added so that the final mixture is a 35% solution.

Try It #5

Find the inverse of the function f(x)= x+3 x2 . f(x)= x+3 x2 .

5.7 Section Exercises

Verbal

1.

Explain why we cannot find inverse functions for all polynomial functions.

2.

Why must we restrict the domain of a quadratic function when finding its inverse?

3.

When finding the inverse of a radical function, what restriction will we need to make?

4.

The inverse of a quadratic function will always take what form?

Algebraic

For the following exercises, find the inverse of the function on the given domain.

5.

f( x )= ( x4 ) 2 , [4,) f( x )= ( x4 ) 2 , [4,)

6.

f( x )= ( x+2 ) 2 , [−2,) f( x )= ( x+2 ) 2 , [−2,)

7.

f(x)= ( x+1 ) 2 3, [−1,) f(x)= ( x+1 ) 2 3, [−1,)

8.

f(x)=3 x 2 +5,( ,0 ] f(x)=3 x 2 +5,( ,0 ]

9.

f( x )=12 x 2 , [0,) f( x )=12 x 2 , [0,)

10.

f( x )=9 x 2 , [0,) f( x )=9 x 2 , [0,)

11.

f(x)=2 x 2 +4, [0,) f(x)=2 x 2 +4, [0,)

For the following exercises, find the inverse of the functions.

12.

f(x)= x 3 +5 f(x)= x 3 +5

13.

f( x )=3 x 3 +1 f( x )=3 x 3 +1

14.

f(x)=4 x 3 f(x)=4 x 3

15.

f( x )=42 x 3 f( x )=42 x 3

For the following exercises, find the inverse of the functions.

16.

f(x)= 2x+1 f(x)= 2x+1

17.

f(x)= 34x f(x)= 34x

18.

f( x )=9+ 4x4 f( x )=9+ 4x4

19.

f( x )= 6x8 +5 f( x )= 6x8 +5

20.

f( x )=9+2 x 3 f( x )=9+2 x 3

21.

f( x )=3 x 3 f( x )=3 x 3

22.

f( x )= 2 x+8 f( x )= 2 x+8

23.

f( x )= 3 x4 f( x )= 3 x4

24.

f( x )= x+3 x+7 f( x )= x+3 x+7

25.

f( x )= x-2 x+7 f( x )= x-2 x+7

26.

f( x )= 3x+4 54x f( x )= 3x+4 54x

27.

f( x )= 5x+1 25x f( x )= 5x+1 25x

28.

f(x)= x 2 +2x, [−1,) f(x)= x 2 +2x, [−1,)

29.

f(x)= x 2 +4x+1, [−2,) f(x)= x 2 +4x+1, [−2,)

30.

f(x)= x 2 6x+3, [3,) f(x)= x 2 6x+3, [3,)

Graphical

For the following exercises, find the inverse of the function and graph both the function and its inverse.

31.

f(x)= x 2 +2,x0 f(x)= x 2 +2,x0

32.

f(x)=4 x 2 ,x0 f(x)=4 x 2 ,x0

33.

f(x)= ( x+3 ) 2 ,x3 f(x)= ( x+3 ) 2 ,x3

34.

f(x)= ( x4 ) 2 ,x4 f(x)= ( x4 ) 2 ,x4

35.

f(x)= x 3 +3 f(x)= x 3 +3

36.

f(x)=1 x 3 f(x)=1 x 3

37.

f(x)= x 2 +4x,x2 f(x)= x 2 +4x,x2

38.

f(x)= x 2 6x+1,x3 f(x)= x 2 6x+1,x3

39.

f(x)= 2 x f(x)= 2 x

40.

f(x)= 1 x 2 ,x0 f(x)= 1 x 2 ,x0

For the following exercises, use a graph to help determine the domain of the functions.

41.

f(x)= (x+1)(x1) x f(x)= (x+1)(x1) x

42.

f(x)= (x+2)(x3) x1 f(x)= (x+2)(x3) x1

43.

f(x)= x(x+3) x4 f(x)= x(x+3) x4

44.

f(x)= x 2 x20 x2 f(x)= x 2 x20 x2

45.

f(x)= 9 x 2 x+4 f(x)= 9 x 2 x+4

Technology

For the following exercises, use a calculator to graph the function. Then, using the graph, give three points on the graph of the inverse with y-coordinates given.

46.

f(x)= x 3 x2,y=1,2,3 f(x)= x 3 x2,y=1,2,3

47.

f(x)= x 3 +x2,y=0,1,2 f(x)= x 3 +x2,y=0,1,2

48.

f(x)= x 3 +3x4,y=0,1,2 f(x)= x 3 +3x4,y=0,1,2

49.

f(x)= x 3 +8x4,y=1,0,1 f(x)= x 3 +8x4,y=1,0,1

50.

f(x)= x 4 +5x+1,y=1,0,1 f(x)= x 4 +5x+1,y=1,0,1

Extensions

For the following exercises, find the inverse of the functions with a,b,c a,b,c positive real numbers.

51.

f(x)=a x 3 +b f(x)=a x 3 +b

52.

f(x)= x 2 +bx f(x)= x 2 +bx

53.

f(x)= a x 2 -b f(x)= a x 2 -b

54.

f(x)= ax+b 3 f(x)= ax+b 3

55.

f(x)= ax+b x+c f(x)= ax+b x+c

Real-World Applications

For the following exercises, determine the function described and then use it to answer the question.

56.

An object dropped from a height of 200 meters has a height, h( t ), h( t ), in meters after t t seconds have lapsed, such that h(t)=2004.9 t 2 . h(t)=2004.9 t 2 . Express t t as a function of height, h, h, and find the time to reach a height of 50 meters.

57.

An object dropped from a height of 600 feet has a height, h( t ), h( t ), in feet after t t seconds have elapsed, such that h(t)=60016 t 2 . h(t)=60016 t 2 . Express t t as a function of height h, h, and find the time to reach a height of 400 feet.

58.

The volume, V, V, of a sphere in terms of its radius, r, r, is given by V(r)= 4 3 π r 3 . V(r)= 4 3 π r 3 . Express r r as a function of V, V, and find the radius of a sphere with volume of 200 cubic feet.

59.

The surface area, A, A, of a sphere in terms of its radius, r, r, is given by A(r)=4π r 2 . A(r)=4π r 2 . Express r r as a function of A, A, and find the radius of a sphere with a surface area of 1000 square inches.

60.

A container holds 100 mL of a solution that is 25 mL acid. If n n mL of a solution that is 60% acid is added, the function C(n)= 25+.6n 100+n C(n)= 25+.6n 100+n gives the concentration, C, C, as a function of the number of mL added, n. n. Express n n as a function of C C and determine the number of mL that need to be added to have a solution that is 50% acid.

61.

The period T, T, in seconds, of a simple pendulum as a function of its length l, l, in feet, is given by T(l)=2π l 32.2 T(l)=2π l 32.2 . Express l l as a function of T T and determine the length of a pendulum with period of 2 seconds.

62.

The volume of a cylinder , V, V, in terms of radius, r, r, and height, h, h, is given by V=π r 2 h. V=π r 2 h. If a cylinder has a height of 6 meters, express the radius as a function of V V and find the radius of a cylinder with volume of 300 cubic meters.

63.

The surface area, A, A, of a cylinder in terms of its radius, r, r, and height, h, h, is given by A=2π r 2 +2πrh. A=2π r 2 +2πrh. If the height of the cylinder is 4 feet, express the radius as a function of A A and find the radius if the surface area is 200 square feet.

64.

The volume of a right circular cone, V, V, in terms of its radius, r, r, and its height, h, h, is given by V= 1 3 π r 2 h. V= 1 3 π r 2 h. Express r r in terms of V V if the height of the cone is 12 feet and find the radius of a cone with volume of 50 cubic inches.

65.

Consider a cone with height of 30 feet. Express the radius, r, r, in terms of the volume, V, V, and find the radius of a cone with volume of 1000 cubic feet.

Citation/Attribution

This book may not be used in the training of large language models or otherwise be ingested into large language models or generative AI offerings without OpenStax's permission.

Want to cite, share, or modify this book? This book uses the Creative Commons Attribution License and you must attribute OpenStax.

Attribution information
  • If you are redistributing all or part of this book in a print format, then you must include on every physical page the following attribution:

    Access for free at https://openstax.org/books/college-algebra-corequisite-support-2e/pages/1-introduction-to-prerequisites

  • If you are redistributing all or part of this book in a digital format, then you must include on every digital page view the following attribution:

    Access for free at https://openstax.org/books/college-algebra-corequisite-support-2e/pages/1-introduction-to-prerequisites

Citation information

© Jun 16, 2025 OpenStax. Textbook content produced by OpenStax is licensed under a Creative Commons Attribution License . The OpenStax name, OpenStax logo, OpenStax book covers, OpenStax CNX name, and OpenStax CNX logo are not subject to the Creative Commons license and may not be reproduced without the prior and express written consent of Rice University.