Skip to ContentGo to accessibility pageKeyboard shortcuts menu
OpenStax Logo
Search for key terms or text.

Learning Objectives

In this section, you will:

  • Use long division to divide polynomials.
  • Use synthetic division to divide polynomials.

Corequisite Skills

Learning Objectives

  • Dividing polynomials using long division (IA 5.4.3)
  • Dividing polynomials using synthetic division (IA 5.4.4)

Objective 1: Dividing polynomials using long division (IA 5.4.3)

To divide a polynomial by a binomial, we follow a procedure very similar to long division of numbers. So, let’s look carefully at the steps we take when we divide a 3-digit number, 875, by a 2-digit number, 25.

Example 1

Long division of numbers

This figure shows the long division of 875 divided by 25. 875 is labeled dividend and 25 is labeled divisor. The result of 35 is labeled quotient. The 3 in 35 is determined from the number of times we can divide 25 into 87. Multiplying 25 and 3 results in 75. 75 is subtracted from 87 to get 12. The 5 from 875 is dropped down to make 12 into 125. The 5 in 35 is determined from the number of times was can divide 25 into 125. Since 25 goes into 125 evenly there is no remainder. The result of subtracting 125 from 125 is 0 which is labeled remainder.

When we divided 875 by 25, we had no remainder. But sometimes division of numbers does leave a remainder.

Practice Makes Perfect

Vocabulary of the example.

Fill in the blanks.

1.

When dividing 69 by 4,

the dividend is_________,

the divisor is________,

the quotient is________,

and the remainder is________.

We check division by multiplying the quotient by the divisor and adding the remainder.

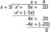
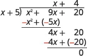
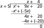
Example 2

Dividing of polynomials has very similar steps to the numerical example above.

Find the quotient: (x2+9x+20)÷(x+5).(x2+9x+20)÷(x+5).

Practice Makes Perfect

2.

Divide using long division of polynomials: (x2+10x+21)÷(x+3)(x2+10x+21)÷(x+3)

Sometimes division of polynomials, just like division of numbers, leaves a remainder. We write the remainder as a fraction with the divisor as the denominator.

Also, if you look back at the dividends in previous examples, you will notice that the terms were written in descending order of degrees, and there were no missing degrees.

Example 3

Dividing polynomials using long division.

(5x+x4-x2-6)÷(x+2)(5x+x4-x2-6)÷(x+2)

Practice Makes Perfect

Dividing polynomials using long division.

3.

(7x+x4-7x2+6)÷(x+3)(7x+x4-7x2+6)÷(x+3)

4.

(x3-8)÷(x-2)(x3-8)÷(x-2)

Objective 2: Dividing polynomials using synthetic division (IA 5.4.4)

As you probably noticed, long division can be tedious. Synthetic division uses the patterns from long division as a basis to make a process much simpler by leaving the variable terms out. The same example in synthetic division format is shown next.

.
Figure 2

Synthetic division only works when the divisor is of the form (x−c).

Example 4

Use synthetic division to find the quotient and remainder when x4-16x2+3x+12x4-16x2+3x+12 is divided by x+4. Note that the divisor is in the form x-(-4), so use c as the divisor.

Practice Makes Perfect

Dividing polynomials using synthetic division.

5.

Let f(x)=x4-5x2+4x+12f(x)=x4-5x2+4x+12

  1. Find f(2)f(2)
  2. Divide f(x)f(x) by (x-2)(x-2) . What is the quotient? What is the remainder?
6.

Let f(x)=x3+2x2-5x-6f(x)=x3+2x2-5x-6

  1. Find f(−3)f(−3)
  2. Divide f(x)f(x) by (x+3)(x+3) . What is the quotient? What is the remainder?

What is the connection between f(c)f(c) and the remainder when f(x)f(x) is divided by (x-c)(x-c) ? Summarize your findings.

Lincoln Memorial.
Figure 1 Lincoln Memorial, Washington, D.C. (credit: Ron Cogswell, Flickr)

The exterior of the Lincoln Memorial in Washington, D.C., is a large rectangular solid with length 61.5 meters (m), width 40 m, and height 30 m.1 We can easily find the volume using elementary geometry.

V = lwh = 61.54030 = 73,800 V = lwh = 61.54030 = 73,800

So the volume is 73,800 cubic meters ( m³ ). ( m³ ). Suppose we knew the volume, length, and width. We could divide to find the height.

h = Vlw = 73,80061.540 = 30 h = Vlw = 73,80061.540 = 30

As we can confirm from the dimensions above, the height is 30 m. We can use similar methods to find any of the missing dimensions. We can also use the same method if any, or all, of the measurements contain variable expressions. For example, suppose the volume of a rectangular solid is given by the polynomial 3 x 4 3 x 3 33 x 2 +54x. 3 x 4 3 x 3 33 x 2 +54x. The length of the solid is given by 3x; 3x; the width is given by x2. x2. To find the height of the solid, we can use polynomial division, which is the focus of this section.

Using Long Division to Divide Polynomials

We are familiar with the long division algorithm for ordinary arithmetic. We begin by dividing into the digits of the dividend that have the greatest place value. We divide, multiply, subtract, include the digit in the next place value position, and repeat. For example, let’s divide 178 by 3 using long division.

Steps of long division for intergers.

Another way to look at the solution is as a sum of parts. This should look familiar, since it is the same method used to check division in elementary arithmetic.

dividend = (divisorquotient) + remainder 178 = (359)+1 = 177+1 = 178 dividend = (divisorquotient) + remainder 178 = (359)+1 = 177+1 = 178

We call this the Division Algorithm and will discuss it more formally after looking at an example.

Division of polynomials that contain more than one term has similarities to long division of whole numbers. We can write a polynomial dividend as the product of the divisor and the quotient added to the remainder. The terms of the polynomial division correspond to the digits (and place values) of the whole number division. This method allows us to divide two polynomials. For example, if we were to divide 2 x 3 3 x 2 +4x+5 2 x 3 3 x 2 +4x+5 by x+2 x+2 using the long division algorithm, it would look like this:

We have found

2 x 3 3 x 2 +4x+5 x+2 =2 x 2 7x+18 31 x+2 2 x 3 3 x 2 +4x+5 x+2 =2 x 2 7x+18 31 x+2

or

2 x 3 3 x 2 +4x+5 =(x+2)(2 x 2 7x+18)31 2 x 3 3 x 2 +4x+5 =(x+2)(2 x 2 7x+18)31

We can identify the dividend, the divisor, the quotient, and the remainder.

Identifying the dividend, divisor, quotient and remainder of the polynomial 2x^3-3x^2+4x+5, which is the dividend.

Writing the result in this manner illustrates the Division Algorithm.

The Division Algorithm

The Division Algorithm states that, given a polynomial dividend f(x) f(x) and a non-zero polynomial divisor d(x) d(x) where the degree of d(x) d(x) is less than or equal to the degree of f(x) f(x) , there exist unique polynomials q(x) q(x) and r(x) r(x) such that

f(x)=d(x)q(x)+r(x) f(x)=d(x)q(x)+r(x)

q(x) q(x) is the quotient and r(x) r(x) is the remainder. The remainder is either equal to zero or has degree strictly less than d(x). d(x).

If r(x)=0, r(x)=0, then d(x) d(x) divides evenly into f(x). f(x). This means that, in this case, both d(x) d(x) and q(x) q(x) are factors of f(x). f(x).

How To

Given a polynomial and a binomial, use long division to divide the polynomial by the binomial.

  1. Set up the division problem.
  2. Determine the first term of the quotient by dividing the leading term of the dividend by the leading term of the divisor.
  3. Multiply the answer by the divisor and write it below the like terms of the dividend.
  4. Subtract the bottom binomial from the top binomial.
  5. Bring down the next term of the dividend.
  6. Repeat steps 2–5 until reaching the last term of the dividend.
  7. If the remainder is non-zero, express as a fraction using the divisor as the denominator.

Example 1

Using Long Division to Divide a Second-Degree Polynomial

Divide 5 x 2 +3x2 5 x 2 +3x2 by x+1. x+1.

Analysis

This division problem had a remainder of 0. This tells us that the dividend is divided evenly by the divisor, and that the divisor is a factor of the dividend.

Example 2

Using Long Division to Divide a Third-Degree Polynomial

Divide 6 x 3 +11 x 2 31x+15 6 x 3 +11 x 2 31x+15 by 3x2. 3x2.

Analysis

We can check our work by using the Division Algorithm to rewrite the solution. Then multiply.

(3x2)(2 x 2 +5x7)+1=6 x 3 +11 x 2 31x+15 (3x2)(2 x 2 +5x7)+1=6 x 3 +11 x 2 31x+15

Notice, as we write our result,

  • the dividend is 6 x 3 +11 x 2 31x+15 6 x 3 +11 x 2 31x+15
  • the divisor is 3x2 3x2
  • the quotient is 2 x 2 +5x7 2 x 2 +5x7
  • the remainder is 1 1

Try It #1

Divide 16 x 3 12 x 2 +20x3 16 x 3 12 x 2 +20x3 by 4x+5. 4x+5.

Using Synthetic Division to Divide Polynomials

As we’ve seen, long division of polynomials can involve many steps and be quite cumbersome. Synthetic division is a shorthand method of dividing polynomials for the special case of dividing by a linear factor whose leading coefficient is 1.

To illustrate the process, recall the example at the beginning of the section.

Divide 2 x 3 3 x 2 +4x+5 2 x 3 3 x 2 +4x+5 by x+2 x+2 using the long division algorithm.

The final form of the process looked like this:

There is a lot of repetition in the table. If we don’t write the variables but, instead, line up their coefficients in columns under the division sign and also eliminate the partial products, we already have a simpler version of the entire problem.

Synthetic division of the polynomial 2x^3-3x^2+4x+5 by x+2 in which it only contains the coefficients of each polynomial.

Synthetic division carries this simplification even a few more steps. Collapse the table by moving each of the rows up to fill any vacant spots. Also, instead of dividing by 2, as we would in division of whole numbers, then multiplying and subtracting the middle product, we change the sign of the “divisor” to –2, multiply and add. The process starts by bringing down the leading coefficient.

Synthetic division of the polynomial 2x^3-3x^2+4x+5 by x+2 in which it only contains the coefficients of each polynomial.

We then multiply it by the “divisor” and add, repeating this process column by column, until there are no entries left. The bottom row represents the coefficients of the quotient; the last entry of the bottom row is the remainder. In this case, the quotient is 2 x 2 7x+18 2 x 2 7x+18 and the remainder is –31. –31. The process will be made more clear in Example 3.

Synthetic Division

Synthetic division is a shortcut that can be used when the divisor is a binomial in the form xk xk where k k is a real number. In synthetic division, only the coefficients are used in the division process.

How To

Given two polynomials, use synthetic division to divide.

  1. Write k k for the divisor.
  2. Write the coefficients of the dividend.
  3. Bring the lead coefficient down.
  4. Multiply the lead coefficient by k. k. Write the product in the next column.
  5. Add the terms of the second column.
  6. Multiply the result by k. k. Write the product in the next column.
  7. Repeat steps 5 and 6 for the remaining columns.
  8. Use the bottom numbers to write the quotient. The number in the last column is the remainder. The next number from the right has degree 0, the next number has degree 1, and so on.

Example 3

Using Synthetic Division to Divide a Second-Degree Polynomial

Use synthetic division to divide 5 x 2 3x36 5 x 2 3x36 by x3. x3.

Analysis

Just as with long division, we can check our work by multiplying the quotient by the divisor and adding the remainder.

(x3)(5x+12)+0=5 x 2 3x36 (x3)(5x+12)+0=5 x 2 3x36

Example 4

Using Synthetic Division to Divide a Third-Degree Polynomial

Use synthetic division to divide 4 x 3 +10 x 2 6x20 4 x 3 +10 x 2 6x20 by x+2. x+2.

Analysis

The graph of the polynomial function f(x)=4 x 3 +10 x 2 6x20 f(x)=4 x 3 +10 x 2 6x20 in Figure 2 shows a zero at x=k=−2. x=k=−2. This confirms that x+2 x+2 is a factor of 4 x 3 +10 x 2 6x20. 4 x 3 +10 x 2 6x20.

Synthetic division of 4x^3+10x^2-6x-20 divided by x+2.
Figure 2

Example 5

Using Synthetic Division to Divide a Fourth-Degree Polynomial

Use synthetic division to divide 9 x 4 +10 x 3 +7 x 2 6 9 x 4 +10 x 3 +7 x 2 6 by x1. x1.

Try It #2

Use synthetic division to divide 3 x 4 +18 x 3 3x+40 3 x 4 +18 x 3 3x+40 by x+7. x+7.

Using Polynomial Division to Solve Application Problems

Polynomial division can be used to solve a variety of application problems involving expressions for area and volume. We looked at an application at the beginning of this section. Now we will solve that problem in the following example.

Example 6

Using Polynomial Division in an Application Problem

The volume of a rectangular solid is given by the polynomial 3 x 4 3 x 3 33 x 2 +54x. 3 x 4 3 x 3 33 x 2 +54x. The length of the solid is given by 3x 3x and the width is given by x2. x2. Find the height, h, h, of the solid.

Try It #3

The area of a rectangle is given by 3 x 3 +14 x 2 23x+6. 3 x 3 +14 x 2 23x+6. The width of the rectangle is given by x+6. x+6. Find an expression for the length of the rectangle.

5.4 Section Exercises

Verbal

1.

If division of a polynomial by a binomial results in a remainder of zero, what can be conclude?

2.

If a polynomial of degree n n is divided by a binomial of degree 1, what is the degree of the quotient?

Algebraic

For the following exercises, use long division to divide. Specify the quotient and the remainder.

3.

( x 2 +5x1 )÷( x1 ) ( x 2 +5x1 )÷( x1 )

4.

( 2 x 2 9x5 )÷( x5 ) ( 2 x 2 9x5 )÷( x5 )

5.

( 3 x 2 +23x+14 )÷( x+7 ) ( 3 x 2 +23x+14 )÷( x+7 )

6.

( 4 x 2 10x+6 )÷( 4x+2 ) ( 4 x 2 10x+6 )÷( 4x+2 )

7.

( 6 x 2 25x25 )÷( 6x+5 ) ( 6 x 2 25x25 )÷( 6x+5 )

8.

( x 2 1 )÷( x+1 ) ( x 2 1 )÷( x+1 )

9.

( 2 x 2 3x+2 )÷( x+2 ) ( 2 x 2 3x+2 )÷( x+2 )

10.

( x 3 126 )÷( x5 ) ( x 3 126 )÷( x5 )

11.

( 3 x 2 5x+4 )÷( 3x+1 ) ( 3 x 2 5x+4 )÷( 3x+1 )

12.

( x 3 3 x 2 +5x6 )÷( x2 ) ( x 3 3 x 2 +5x6 )÷( x2 )

13.

( 2 x 3 +3 x 2 4x+15 )÷( x+3 ) ( 2 x 3 +3 x 2 4x+15 )÷( x+3 )

For the following exercises, use synthetic division to find the quotient. Ensure the equation is in the form required by synthetic division. (Hint: divide the dividend and divisor by the coefficient of the linear term in the divisor.)

14.

( 3 x 3 2 x 2 +x4 )÷( x+3 ) ( 3 x 3 2 x 2 +x4 )÷( x+3 )

15.

( 2 x 3 6 x 2 7x+6 )÷(x4) ( 2 x 3 6 x 2 7x+6 )÷(x4)

16.

( 6 x 3 10 x 2 7x15 )÷(x+1) ( 6 x 3 10 x 2 7x15 )÷(x+1)

17.

( 4 x 3 12 x 2 5x1 )÷(2x+1) ( 4 x 3 12 x 2 5x1 )÷(2x+1)

18.

( 9 x 3 9 x 2 +18x+5 )÷(3x1) ( 9 x 3 9 x 2 +18x+5 )÷(3x1)

19.

( 3 x 3 2 x 2 +x4 )÷( x+3 ) ( 3 x 3 2 x 2 +x4 )÷( x+3 )

20.

( 6 x 3 + x 2 4 )÷( 2x3 ) ( 6 x 3 + x 2 4 )÷( 2x3 )

21.

( 2 x 3 +7 x 2 13x3 )÷( 2x3 ) ( 2 x 3 +7 x 2 13x3 )÷( 2x3 )

22.

( 3 x 3 5 x 2 +2x+3 )÷(x+2) ( 3 x 3 5 x 2 +2x+3 )÷(x+2)

23.

( 4 x 3 5 x 2 +13 )÷(x+4) ( 4 x 3 5 x 2 +13 )÷(x+4)

24.

( x 3 3x+2 )÷( x+2 ) ( x 3 3x+2 )÷( x+2 )

25.

( x 3 21 x 2 +147x343 )÷( x7 ) ( x 3 21 x 2 +147x343 )÷( x7 )

26.

( x 3 15 x 2 +75x125 )÷( x5 ) ( x 3 15 x 2 +75x125 )÷( x5 )

27.

( 9 x 3 x+2 )÷( 3x1 ) ( 9 x 3 x+2 )÷( 3x1 )

28.

( 6 x 3 x 2 +5x+2 )÷( 3x+1 ) ( 6 x 3 x 2 +5x+2 )÷( 3x+1 )

29.

( x 4 + x 3 3 x 2 2x+1 )÷( x+1 ) ( x 4 + x 3 3 x 2 2x+1 )÷( x+1 )

30.

( x 4 3 x 2 +1 )÷( x1 ) ( x 4 3 x 2 +1 )÷( x1 )

31.

( x 4 +2 x 3 3 x 2 +2x+6 )÷( x+3 ) ( x 4 +2 x 3 3 x 2 +2x+6 )÷( x+3 )

32.

( x 4 10 x 3 +37 x 2 60x+36 )÷( x2 ) ( x 4 10 x 3 +37 x 2 60x+36 )÷( x2 )

33.

( x 4 8 x 3 +24 x 2 32x+16 )÷( x2 ) ( x 4 8 x 3 +24 x 2 32x+16 )÷( x2 )

34.

( x 4 +5 x 3 3 x 2 13x+10 )÷( x+5 ) ( x 4 +5 x 3 3 x 2 13x+10 )÷( x+5 )

35.

( x 4 12 x 3 +54 x 2 108x+81 )÷( x3 ) ( x 4 12 x 3 +54 x 2 108x+81 )÷( x3 )

36.

( 4 x 4 2 x 3 4x+2 )÷( 2x1 ) ( 4 x 4 2 x 3 4x+2 )÷( 2x1 )

37.

( 4 x 4 +2 x 3 4 x 2 +2x+2 )÷( 2x+1 ) ( 4 x 4 +2 x 3 4 x 2 +2x+2 )÷( 2x+1 )

For the following exercises, use synthetic division to determine whether the first expression is a factor of the second. If it is, indicate the factorization.

38.

x2,4 x 3 3 x 2 8x+4 x2,4 x 3 3 x 2 8x+4

39.

x2,3 x 4 6 x 3 5x+10 x2,3 x 4 6 x 3 5x+10

40.

x+3,4 x 3 +5 x 2 +8 x+3,4 x 3 +5 x 2 +8

41.

x2,4 x 4 15 x 2 4 x2,4 x 4 15 x 2 4

42.

x 1 2 ,2 x 4 x 3 +2x1 x 1 2 ,2 x 4 x 3 +2x1

43.

x+ 1 3 ,3 x 4 + x 3 3x+1 x+ 1 3 ,3 x 4 + x 3 3x+1

Graphical

For the following exercises, use the graph of the third-degree polynomial and one factor to write the factored form of the polynomial suggested by the graph. The leading coefficient is one.

44.

Factor is x 2 x+3 x 2 x+3

Graph of a polynomial that has a x-intercept at -1.
45.

Factor is ( x 2 +2x+4) ( x 2 +2x+4)

Graph of a polynomial that has a x-intercept at 1.
46.

Factor is x 2 +2x+5 x 2 +2x+5

Graph of a polynomial that has a x-intercept at 2.
47.

Factor is x 2 +x+1 x 2 +x+1

Graph of a polynomial that has a x-intercept at 5.
48.

Factor is x 2 +2x+2 x 2 +2x+2

Graph of a polynomial that has a x-intercept at -3.

For the following exercises, use synthetic division to find the quotient and remainder.

49.

4 x 3 33 x2 4 x 3 33 x2

50.

2 x 3 +25 x+3 2 x 3 +25 x+3

51.

3 x 3 +2x5 x1 3 x 3 +2x5 x1

52.

4 x 3 x 2 12 x+4 4 x 3 x 2 12 x+4

53.

x 4 22 x+2 x 4 22 x+2

Technology

For the following exercises, use a calculator with CAS to answer the questions.

54.

Consider x k 1 x1 x k 1 x1 with k=1, 2, 3. k=1, 2, 3. What do you expect the result to be if k=4? k=4?

55.

Consider x k +1 x+1 x k +1 x+1 for k=1, 3, 5. k=1, 3, 5. What do you expect the result to be if k=7? k=7?

56.

Consider x 4 k 4 xk x 4 k 4 xk for k=1, 2, 3. k=1, 2, 3. What do you expect the result to be if k=4? k=4?

57.

Consider x k x+1 x k x+1 with k=1, 2, 3. k=1, 2, 3. What do you expect the result to be if k=4? k=4?

58.

Consider x k x1 x k x1 with k=1, 2, 3. k=1, 2, 3. What do you expect the result to be if k=4? k=4?

Extensions

For the following exercises, use synthetic division to determine the quotient involving a complex number.

59.

x+1 xi x+1 xi

60.

x 2 +1 xi x 2 +1 xi

61.

x+1 x+i x+1 x+i

62.

x 2 +1 x+i x 2 +1 x+i

63.

x 3 +1 xi x 3 +1 xi

Real-World Applications

For the following exercises, use the given length and area of a rectangle to express the width algebraically.

64.

Length is x+5, x+5, area is 2 x 2 +9x5. 2 x 2 +9x5.

65.

Length is 2x+5, 2x+5, area is 4 x 3 +10 x 2 +6x+15 4 x 3 +10 x 2 +6x+15

66.

Length is 3x4, 3x4, area is 6 x 4 8 x 3 +9 x 2 9x4 6 x 4 8 x 3 +9 x 2 9x4

For the following exercises, use the given volume of a box and its length and width to express the height of the box algebraically.

67.

Volume is 12 x 3 +20 x 2 21x36, 12 x 3 +20 x 2 21x36, length is 2x+3, 2x+3, width is 3x4. 3x4.

68.

Volume is 18 x 3 21 x 2 40x+48, 18 x 3 21 x 2 40x+48, length is 3x4, 3x4, width is 3x4. 3x4.

69.

Volume is 10 x 3 +27 x 2 +2x24, 10 x 3 +27 x 2 +2x24, length is 5x4, 5x4, width is 2x+3. 2x+3.

70.

Volume is 10 x 3 +30 x 2 8x24, 10 x 3 +30 x 2 8x24, length is 2, 2, width is x+3. x+3.

For the following exercises, use the given volume and radius of a cylinder to express the height of the cylinder algebraically.

71.

Volume is π(25 x 3 65 x 2 29x3), π(25 x 3 65 x 2 29x3), radius is 5x+1. 5x+1.

72.

Volume is π(4 x 3 +12 x 2 15x50), π(4 x 3 +12 x 2 15x50), radius is 2x+5. 2x+5.

73.

Volume is π(3 x 4 +24 x 3 +46 x 2 16x32), π(3 x 4 +24 x 3 +46 x 2 16x32), radius is x+4. x+4.

Footnotes

  • 1National Park Service. "Lincoln Memorial Building Statistics." http://www.nps.gov/linc/historyculture/lincoln-memorial-building-statistics.htm. Accessed 4/3/2014
Citation/Attribution

This book may not be used in the training of large language models or otherwise be ingested into large language models or generative AI offerings without OpenStax's permission.

Want to cite, share, or modify this book? This book uses the Creative Commons Attribution License and you must attribute OpenStax.

Attribution information
  • If you are redistributing all or part of this book in a print format, then you must include on every physical page the following attribution:

    Access for free at https://openstax.org/books/college-algebra-corequisite-support-2e/pages/1-introduction-to-prerequisites

  • If you are redistributing all or part of this book in a digital format, then you must include on every digital page view the following attribution:

    Access for free at https://openstax.org/books/college-algebra-corequisite-support-2e/pages/1-introduction-to-prerequisites

Citation information

© Jun 16, 2025 OpenStax. Textbook content produced by OpenStax is licensed under a Creative Commons Attribution License . The OpenStax name, OpenStax logo, OpenStax book covers, OpenStax CNX name, and OpenStax CNX logo are not subject to the Creative Commons license and may not be reproduced without the prior and express written consent of Rice University.