Skip to ContentGo to accessibility pageKeyboard shortcuts menu
OpenStax Logo
Chemistry: Atoms First

Chapter 4

Chemistry: Atoms FirstChapter 4
Search for key terms or text.

1.

The protons in the nucleus do not change during normal chemical reactions. Only the outer electrons move. Positive charges form when electrons are lost.

3.

P, I, Cl, and O would form anions because they are nonmetals. Mg, In, Cs, Pb, and Co would form cations because they are metals.

5.

(a) P3–; (b) Mg2+; (c) Al3+; (d) O2–; (e) Cl; (f) Cs+

7.

(a) [Ar]4s23d104p6; (b) [Kr]4d105s25p6 (c) 1s2 (d) [Kr]4d10; (e) [He]2s22p6; (f) [Ar]3d10; (g) 1s2 (h) [He]2s22p6 (i) [Kr]4d105s2 (j) [Ar]3d7 (k) [Ar]3d6, (l) [Ar]3d104s2

9.

(a) 1s22s22p63s23p1; Al3+: 1s22s22p6; (b) 1s22s22p63s23p63d104s24p5; 1s22s22p63s23p63d104s24p6; (c) 1s22s22p63s23p63d104s24p65s2; Sr2+: 1s22s22p63s23p63d104s24p6; (d) 1s22s1; Li+: 1s2; (e) 1s22s22p63s23p63d104s24p3; 1s22s22p63s23p63d104s24p6; (f) 1s22s22p63s23p4; 1s22s22p63s23p6

11.

NaCl consists of discrete ions arranged in a crystal lattice, not covalently bonded molecules.

13.

ionic: (b), (d), (e), (g), and (i); covalent: (a), (c), (f), (h), (j), and (k)

15.

(a) Cl; (b) O; (c) O; (d) S; (e) N; (f) P; (g) N

17.

(a) H, C, N, O, F; (b) H, I, Br, Cl, F; (c) H, P, S, O, F; (d) Na, Al, H, P, O; (e) Ba, H, As, N, O

19.

N, O, F, and Cl

21.

(a) HF; (b) CO; (c) OH; (d) PCl; (e) NH; (f) PO; (g) CN

23.

(a) cesium chloride; (b) barium oxide; (c) potassium sulfide; (d) beryllium chloride; (e) hydrogen bromide; (f) aluminum fluoride

25.

(a) RbBr; (b) MgSe; (c) Na2O; (d) CaCl2; (e) HF; (f) GaP; (g) AlBr3; (h) (NH4)2SO4

27.

(a) ClO2; (b) N2O4; (c) K3P; (d) Ag2S; (e) AlN; (f) SiO2

29.

(a) chromium(III) oxide; (b) iron(II) chloride; (c) chromium(VI) oxide; (d) titanium(IV) chloride; (e) cobalt(II) oxide; (f) molybdenum(IV) sulfide

31.

(a) K3PO4; (b) CuSO4; (c) CaCl2; (d) TiO2; (e) NH4NO3; (f) NaHSO4

33.

(a) manganese(IV) oxide; (b) mercury(I) chloride; (c) iron(III) nitrate; (d) titanium(IV) chloride; (e) copper(II) bromide

34.

(a) eight electrons:

A Lewis dot diagram shows the symbol for arsenic, A s, surrounded by eight dots and a superscripted three negative sign.

;
(b) eight electrons:

A Lewis dot diagram shows the symbol for iodine, I, surrounded by eight dots and a superscripted negative sign.

;
(c) no electrons
Be2+;
(d) eight electrons:

A Lewis dot diagram shows the symbol for oxygen, O, surrounded by eight dots and a superscripted two negative sign.

;
(e) no electrons
Ga3+;
(f) no electrons
Li+;
(g) eight electrons:

A Lewis dot diagram shows the symbol for nitrogen, N, surrounded by eight dots and a superscripted three negative sign.
36.

(a)

Two Lewis structures are shown. The left shows the symbol M g with a superscripted two positive sign while the right shows the symbol S surrounded by eight dots and a superscripted two negative sign.

;
(b)

Two Lewis structures are shown. The left shows the symbol A l with a superscripted three positive sign while the right shows the symbol O surrounded by eight dots and a superscripted two negative sign.

;
(c)

Two Lewis structures are shown. The left shows the symbol G a with a superscripted three positive sign while the right shows the symbol C l surrounded by eight dots and a superscripted negative sign.

;
(d)

Two Lewis structures are shown. The left shows the symbol K with a superscripted positive sign while the right shows the symbol O surrounded by eight dots and a superscripted two negative sign.

;
(e)

Two Lewis structures are shown. The left shows the symbol L i with a superscripted positive sign while the right shows the symbol N surrounded by eight dots and a superscripted three negative sign.

;
(f)

Two Lewis structures are shown. The left shows the symbol K with a superscripted positive sign while the right shows the symbol F surrounded by eight dots and a superscripted negative sign.
38.


A Lewis diagram shows two phosphorus atoms triple bonded together each with one lone electron pair.
40.

(a)

A Lewis structure shows two oxygen atoms double bonded together, and each has two lone pairs of electrons.


In this case, the Lewis structure is inadequate to depict the fact that experimental studies have shown two unpaired electrons in each oxygen molecule.
(b)

A Lewis structure shows a carbon atom that is single bonded to two hydrogen atoms and double bonded to an oxygen atom. The oxygen atom has two lone pairs of electrons.

;
(c)

A Lewis structure shows an arsenic atom single bonded to three fluorine atoms. Each fluorine atom has a lone pair of electrons.

;
(d)

A Lewis structure shows a nitrogen atom with a lone pair of electrons single bonded to a chlorine atom that has three lone pairs of electrons. The nitrogen is also double bonded to an oxygen which has two lone pairs of electrons.

;
(e)

A Lewis structure shows a silicon atom that is single bonded to four chlorine atoms. Each chlorine atom has three lone pairs of electrons.

;
(f)

A Lewis structure shows an oxygen atom with a lone pair of electrons single bonded to three hydrogen atoms. The structure is surrounded by brackets with a superscripted positive sign.

;
(g)

A Lewis structure shows a nitrogen atom single bonded to four hydrogen atoms. The structure is surrounded by brackets with a superscripted positive sign.

;
(h)

A Lewis structure shows a boron atom single bonded to four fluorine atoms. Each fluorine atom has three lone pairs of electrons. The structure is surrounded by brackets with a superscripted negative sign.

;
(i)

A Lewis structure shows two carbon atoms that are triple bonded together. Each carbon is also single bonded to a hydrogen atom.

;
(j)

A Lewis structure shows a carbon atom that is triple bonded to a nitrogen atom that has one lone pair of electrons. The carbon is also single bonded to a chlorine atom that has three lone pairs of electrons.

;
(k)

A Lewis structure shows two carbon atoms joined with a triple bond. A superscripted 2 positive sign lies to the right of the second carbon.
42.

(a) SeF6:

A Lewis structure shows a selenium atom single bonded to six fluorine atoms, each with three lone pairs of electrons.

;
(b) XeF4:

A Lewis structure shows a xenon atom with two lone pairs of electrons. It is single bonded to four fluorine atoms each with three lone pairs of electrons.

;
(c) SeCl3+:SeCl3+:

A Lewis structure shows a selenium atom with one lone pair of electrons single bonded to three chlorine atoms each with three lone pairs of electrons. The whole structure is surrounded by brackets.

;
(d) Cl2BBCl2:

A Lewis structure shows two boron atoms that are single bonded together. Each is also single bonded to two chlorine atoms that both have three lone pairs of electrons.
44.

Two valence electrons per Pb atom are transferred to Cl atoms; the resulting Pb2+ ion has a 6s2 valence shell configuration. Two of the valence electrons in the HCl molecule are shared, and the other six are located on the Cl atom as lone pairs of electrons.

46.
Two reactions are shown using Lewis structures. The top reaction shows a carbon atom, single bonded to three hydrogen atoms and single bonded to an oxygen atom with two lone pairs of electrons. The oxygen atom is also bonded to a hydrogen atom. This is followed by a plus sign and the number one point five, followed by two oxygen atoms bonded together with a double bond and each with two lone pairs of electrons. A right-facing arrow leads to a carbon atom that is double bonded to two oxygen atoms, each of which has two lone pairs of electrons. This structure is followed by a plus sign, a number two, and a structure made up of an oxygen with two lone pairs of electrons single bonded to two hydrogen atoms. The bottom reaction shows a carbon atom, single bonded to three hydrogen atoms and single bonded to another carbon atom. The second carbon atom is single bonded to two hydrogen atoms and one oxygen atom with two lone pairs of electrons. The oxygen atom is also bonded to a hydrogen atom. This is followed by a plus sign and the number three, followed by two oxygen atoms bonded together with a double bond. Each oxygen atom has two lone pairs of electrons. A right-facing arrow leads to a number two and a carbon atom that is double bonded to two oxygen atoms, each of which has two lone pairs of electrons. This structure is followed by a plus sign, a number three, and a structure made up of an oxygen with two lone pairs of electrons single bonded to two hydrogen atoms.
48.

 

Two Lewis structures are shown. The left depicts a carbon atom single bonded to four chlorine atoms, each with three lone pairs of electrons. The right shows a carbon atom double bonded to an oxygen atom that has two lone pairs of electrons. The carbon atom is also single bonded to two chlorine atoms, each of which has three lone pairs of electrons.
50.

(a)

A Lewis structure is shown. A nitrogen atom is single bonded to two hydrogen atoms and a carbon atom. The carbon atom is single bonded to a hydrogen atom and two other carbon atoms. One of these carbon atoms is single bonded to two hydrogen atoms and an oxygen atom. The oxygen atom is bonded to a hydrogen atom. The other carbon is single bonded to two oxygen atoms, one of which is bonded to a hydrogen atom. The oxygen atoms have two lone pairs of electron dots, and the nitrogen atom has one lone pair of electron dots.

;
(b)

A Lewis structure is shown. A nitrogen atom is single bonded to two hydrogen atoms and a carbon atom. The carbon atom is single bonded to an oxygen atom and one nitrogen atom. That nitrogen atom is then single bonded to two hydrogen atoms. The oxygen atom has two lone pairs of electron dots, and the nitrogen atoms have one lone pair of electron dots each.

;
(c)

A Lewis structure is shown. A carbon atom is single bonded to three hydrogen atoms and a carbon atom. The carbon atom is single bonded to an oxygen atom and a third carbon atom. This carbon is then single bonded to two oxygen atoms, one of which is single bonded to a hydrogen atom. Each oxygen atom has two lone pairs of electron dots.

;
(d)

A Lewis hexagonal ring structure is shown. From the top of the ring, three carbon atoms, one nitrogen atom, a carbon atom and a nitrogen atom are single bonded to one another. The top carbon is single bonded to an oxygen, the second and third carbons and the nitrogen atom are each single bonded to a hydrogen atom. The next carbon is single bonded to an oxygen atom and the last nitrogen is single bonded to a hydrogen atom. The oxygen atoms have two lone pairs of electron dots, and the nitrogen atoms have one lone pair of electron dots.

;
(e)

A Lewis structure is shown. A carbon atom is single bonded to three oxygen atoms. Two of those oxygen atoms are each single bonded to a hydrogen atom. Each oxygen atom has two lone pairs of electron dots.
52.

 

A Lewis structure is shown. A carbon atom is single bonded to three hydrogen atoms and another carbon atom. The second carbon atom is double bonded to another carbon atom and single bonded to a hydrogen atom. The last carbon is single bonded to two hydrogen atoms.
54.

Each bond includes a sharing of electrons between atoms. Two electrons are shared in a single bond; four electrons are shared in a double bond; and six electrons are shared in a triple bond.

56.

(a)

Two Lewis structures are shown with a double-headed arrow in between. The left structure shows a sulfur atom with a lone pair of electrons single bonded to the left to an oxygen atom with three lone pairs of electrons. The sulfur atom is also double bonded on the right to an oxygen atom with two lone pairs of electrons. The right structure depicts the same atoms, but this time the double bond is between the left oxygen and the sulfur atom. The lone pairs of electrons have also shifted to account for the change of bond types. The sulfur atom in the right structures, also has a third electron dot below it.

;
(b)

Three Lewis structures are shown, with double-headed arrows in between, each surrounded by brackets and a superscripted two negative sign. The left structure depicts a carbon atom bonded to three oxygen atoms. It is single bonded to two of these oxygen atoms, each of which has three lone pairs of electrons, and double bonded to the third, which has two lone pairs of electrons. The double bond is located between the bottom oxygen and the carbon. The central and right structures are the same as the first, but the position of the double bonded oxygen has moved to the left oxygen in the right structure while the central structure only has single bonds. The lone pairs of electrons change to correspond with the bonds as well.

;
(c)

Two Lewis structures are shown, with a double-headed arrow in between, each surrounded by brackets and a superscripted negative sign. The left structure depicts a carbon atom bonded to three oxygen atoms. It is single bonded to one of these oxygen atoms, which has three lone pairs of electrons, and double bonded to the other two, which have two lone pairs of electrons. One of the double bonded oxygen atoms also has a single bond to a hydrogen atom. The right structure is the same as the first, but there is only one double bonded oxygen. The oxygen with the single bonded hydrogen now has a single bond to the carbon atom. The lone pairs of electrons have also changed to correspond with the bonds.

;
(d)

Two Lewis structures are shown with a double-headed arrow in between. The left structure depicts a hexagonal ring composed of five carbon atoms, each single bonded to a hydrogen atom, and one nitrogen atom that has a lone pair of electrons. The ring has alternating single and double bonds. The right structure is the same as the first, but each double bond has rotated to a new position.

;
(e)

Two Lewis structures are shown with a double-headed arrow in between. The left structure shows a carbon atom single bonded to two hydrogen atoms and a second carbon atom. The second carbon atom is single bonded to a hydrogen atom and double bonded to a third carbon atom. The third carbon atom is single bonded to two hydrogen atoms. The whole structure is surrounded by brackets and a superscripted negative sign. The right structure shows a carbon atom single bonded to two hydrogen atoms and double bonded to a second carbon atom. The second carbon atom is single bonded to a hydrogen atom and a third carbon atom. The third carbon atom is single bonded to two hydrogen atoms. The whole structure is surrounded by brackets and a superscripted negative sign.
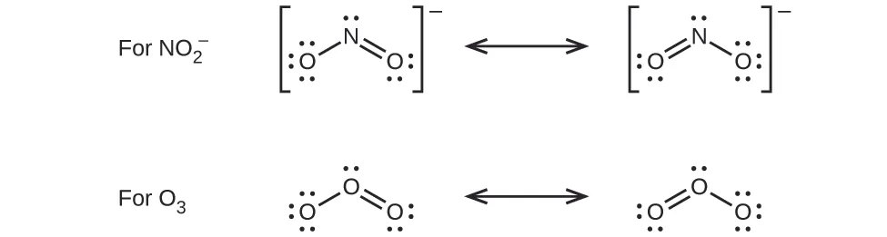
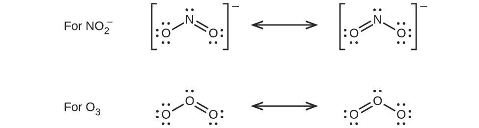
58.

 

Two pairs of Lewis structures are shown with a double-headed arrow in between each pair. The left structure of the first pair shows a nitrogen atom with one lone pair of electrons single bonded to an oxygen atom with three lone pairs of electrons. It is also double bonded to an oxygen with two lone pairs of electrons. The right image of this pair depicts the mirror image of the left. Both images are surrounded by brackets and a superscripted negative sign. They are labeled, “For N O subscript two superscript negative sign.” The left structure of the second pair shows an oxygen atom with one lone pair of electrons single bonded to an oxygen atom with three lone pairs of electrons. It is also double bonded to an oxygen atom with two lone pairs of electrons. The right structure appears as a mirror image of the left. These structures are labeled, “For O subscript three.”
60.

(a)

This structure shows a carbon atom double bonded to two oxygen atoms, each of which has two lone pairs of electrons.


(b)

The right structure of this pair shows a carbon atom with one lone pair of electrons triple bonded to an oxygen with one lone pair of electrons.


CO has the strongest carbon-oxygen bond because there is a triple bond joining C and O. CO2 has double bonds.

62.

(a) H: 0, Cl: 0; (b) C: 0, F: 0; (c) P: 0, Cl 0; (d) P: 0, F: 0

64.

Cl in Cl2: 0; Cl in BeCl2: 0; Cl in ClF5: 0

66.

(a)

Two Lewis structures are shown with a double-headed arrow in between. The left structure shows an oxygen atom with one lone pair of electrons single bonded to an oxygen atom with three lone pairs of electrons. It is also double bonded to an oxygen atom with two lone pairs of electrons. The symbols and numbers below this structure read, “( 0 ), ( positive 1 ), ( negative 1 ).” The phrase, “Formal charge,” and a right-facing arrow lie to the left of this structure. The right structure appears as a mirror image of the left and the symbols and numbers below this structure read, “( negative 1 ), ( positive 1 ), ( 0 ).”

;
(b)

Two Lewis structures are shown, with a double-headed arrow in between. The left structure shows a sulfur atom with one lone pair of electrons single bonded to an oxygen atom with three lone pairs of electrons. The sulfur atom also double bonded to an oxygen atom with two lone pairs of electrons. The symbols and numbers below this structure read, “( negative 1 ), ( positive 1 ), ( 0 ).” The right structure appears as a mirror image of the left and the symbols and numbers below this structure read, “( 0 ), ( positive 1 ), ( negative 1 ).”

;
(c)

[Two Lewis structures are shown, with brackets surrounding each with a superscripted negative sign and a double ended arrow in between. The left structure shows a nitrogen atom with one lone pair of electrons single bonded to an oxygen atom with three lone pairs of electrons and double bonded to an oxygen atom with two lone pairs of electrons. The symbols and numbers below this structure read “open parenthesis, 0, close parenthesis, open parenthesis, 0, close parenthesis, open parenthesis, negative 1, close parenthesis. The right structure appears as a mirror image of the left and the symbols and numbers below this structure read “open parenthesis, negative 1, close parenthesis, open parenthesis, 0, close parenthesis, open parenthesis, 0, close parenthesis.]

;
(d)

[Three Lewis structures are shown, with brackets surrounding each with a superscripted negative sign and a double ended arrow in between. The left structure shows a nitrogen atom single bonded to two oxygen atoms, each with three lone pairs of electrons and double bonded to an oxygen atom with two lone pairs of electrons. The single bonded oxygen atoms are labeled, from the top of the structure and going clockwise, “open parenthesis, negative 1, close parenthesis, open parenthesis, positive 1, close parenthesis”. The symbols and numbers below this structure read “open parenthesis, 0, close parenthesis, open parenthesis, negative 1, close parenthesis. The middle structure shows a nitrogen atom single bonded to two oxygen atoms, each with three lone pairs of electrons, one of which is labeled “open parenthesis, positive 1, close parenthesis” and double bonded to an oxygen atom with two lone pairs of electrons labeled “open parenthesis, 0, close parenthesis”. The symbols and numbers below this structure read “open parenthesis, negative 1, close parenthesis, open parenthesis, negative 1, close parenthesis. The right structure shows a nitrogen atom single bonded to two oxygen atoms, each with three lone pairs of electrons and double bonded to an oxygen atom with two lone pairs of electrons. One of the single bonded oxygen atoms is labeled, “open parenthesis, negative 1, close parenthesis while the double bonded oxygen is labeled, “open parenthesis, positive 1, close parenthesis”. The symbols and numbers below this structure read “open parenthesis, negative 1, close parenthesis” and “open parenthesis, 0, close parenthesis”.]
68.

HOCl

70.

The structure that gives zero formal charges is consistent with the actual structure:

A Lewis structure shows a nitrogen atom with one lone pair of electrons single bonded to two hydrogen atoms and an oxygen atom which has two lone pairs of electrons. The oxygen atom is single bonded to a hydrogen atom.
72.

NF3;

A Lewis structure shows a nitrogen atom with one lone pair of electrons single bonded to three fluorine atoms, each with three lone pairs of electrons.
74.

 

A Lewis structure shows a hydrogen atom single bonded to an oxygen atom with two lone pairs of electrons. The oxygen atom is single bonded to a sulfur atom. The sulfur atom is double bonded to two oxygen atoms, each of which have three lone pairs of electrons, and single bonded to an oxygen atom with two lone pairs of electrons. This oxygen atom is single bonded to a hydrogen atom.
75.

The placement of the two sets of unpaired electrons in water forces the bonds to assume a tetrahedral arrangement, and the resulting HOH molecule is bent. The HBeH molecule (in which Be has only two electrons to bond with the two electrons from the hydrogens) must have the electron pairs as far from one another as possible and is therefore linear.

77.

Space must be provided for each pair of electrons whether they are in a bond or are present as lone pairs. Electron-pair geometry considers the placement of all electrons. Molecular structure considers only the bonding-pair geometry.

79.

As long as the polar bonds are compensated (for example. two identical atoms are found directly across the central atom from one another), the molecule can be nonpolar.

81.

(a) Both the electron geometry and the molecular structure are octahedral.
(b) Both the electron geometry and the molecular structure are trigonal bipyramid.
(c) Both the electron geometry and the molecular structure are linear.
(d) Both the electron geometry and the molecular structure are trigonal planar.

83.

(a) electron-pair geometry: octahedral, molecular structure: square pyramidal; (b) electron-pair geometry: tetrahedral, molecular structure: bent; (c) electron-pair geometry: octahedral, molecular structure: square planar; (d) electron-pair geometry: tetrahedral, molecular structure: trigonal pyramidal; (e) electron-pair geometry: trigonal bypyramidal, molecular structure: seesaw; (f) electron-pair geometry: tetrahedral, molecular structure: bent (109°)

85.

(a) electron-pair geometry: trigonal planar, molecular structure: bent (120°); (b) electron-pair geometry: linear, molecular structure: linear; (c) electron-pair geometry: trigonal planar, molecular structure: trigonal planar; (d) electron-pair geometry: tetrahedral, molecular structure: trigonal pyramidal; (e) electron-pair geometry: tetrahedral, molecular structure: tetrahedral; (f) electron-pair geometry: trigonal bipyramidal, molecular structure: seesaw; (g) electron-pair geometry: tetrahedral, molecular structure: trigonal pyramidal

87.

All of these molecules and ions contain polar bonds. Only ClF5, ClO2,ClO2, PCl3, SeF4, and PH2PH2 have dipole moments.

89.

SeS2, CCl2F2, PCl3, and ClNO all have dipole moments.

91.

P

93.

nonpolar

95.

(a) tetrahedral; (b) trigonal pyramidal; (c) bent (109°); (d) trigonal planar; (e) bent (109°); (f) bent (109°); (g) CH3CCH tetrahedral, CH3CCH linear; (h) tetrahedral; (i) H2CCCH2 linear; H2CCCH2 trigonal planar

97.

 

Three Lewis diagrams are shown. The first diagram shows the letter A single bonded to the left and right to the letter B. An example, “C O subscript 2,” and the term, “linear,” are written beside this diagram. The second diagram shows the letter A with two lone pairs of electrons, single bonded to the left and lower right to the letter B. An example, “H subscript 2 O,” and the term, “bent with an approximately 109 degree angle,” are written beside this diagram. The third diagram shows the letter A with one lone electron pair, single bonded to the left and lower right to the letter B. An example, “S O subscript 2,” and the term, “bent with an approximately 120 degree angle,” are written beside this diagram.
99.

(a)

The figure shows three Lewis structures that are each surrounded by brackets and have a superscripted 2 negative sign. They are written with a double-headed arrow in between each diagram. The first of this trio has a carbon atom single bonded to two sulfur atoms, each of which has thee lone pairs of electrons, and double bonded to a third sulfur atom with two lone pairs of electrons. The second and third diagrams have the same atoms present, but each time the double bond moves between a different carbon and sulfur pair. The lone electron pairs also shift to correspond with the bond changes.

;
(b)

The Lewis structure shows a carbon atom double bonded to two sulfur atoms, each of which has two lone pairs of electrons.

;
(c)

This diagram shows a carbon with one lone electron pair triple bonded to a sulfur with one lone electron pair.

;
(d) CS32−CS32− includes three regions of electron density (all are bonds with no lone pairs); the shape is trigonal planar; CS2 has only two regions of electron density (all bonds with no lone pairs); the shape is linear

101.

The Lewis structure is made from three units, but the atoms must be rearranged:

A Lewis structure is shown in which a carbon atom is single bonded to three hydrogen atoms and a second carbon atom. The second carbon is single bonded to a hydrogen atom and double bonded to a third carbon atom which is single bonded to two hydrogen atoms.
103.

The molecular dipole points away from the hydrogen atoms.

105.

The structures are very similar. In the model mode, each electron group occupies the same amount of space, so the bond angle is shown as 109.5°. In the “real” mode, the lone pairs are larger, causing the hydrogens to be compressed. This leads to the smaller angle of 104.5°.

Citation/Attribution

This book may not be used in the training of large language models or otherwise be ingested into large language models or generative AI offerings without OpenStax's permission.

Want to cite, share, or modify this book? This book uses the Creative Commons Attribution License and you must attribute OpenStax.

Attribution information
  • If you are redistributing all or part of this book in a print format, then you must include on every physical page the following attribution:

    Access for free at https://openstax.org/books/chemistry-atoms-first/pages/1-introduction

  • If you are redistributing all or part of this book in a digital format, then you must include on every digital page view the following attribution:

    Access for free at https://openstax.org/books/chemistry-atoms-first/pages/1-introduction

Citation information

© Feb 15, 2022 OpenStax. Textbook content produced by OpenStax is licensed under a Creative Commons Attribution License . The OpenStax name, OpenStax logo, OpenStax book covers, OpenStax CNX name, and OpenStax CNX logo are not subject to the Creative Commons license and may not be reproduced without the prior and express written consent of Rice University.