Skip to ContentGo to accessibility pageKeyboard shortcuts menu
OpenStax Logo
Chemistry: Atoms First

14.4 Hydrolysis of Salt Solutions

Chemistry: Atoms First14.4 Hydrolysis of Salt Solutions
Search for key terms or text.

Learning Objectives

By the end of this section, you will be able to:
  • Predict whether a salt solution will be acidic, basic, or neutral
  • Calculate the concentrations of the various species in a salt solution
  • Describe the process that causes solutions of certain metal ions to be acidic

As we have seen in the section on chemical reactions, when an acid and base are mixed, they undergo a neutralization reaction. The word “neutralization” seems to imply that a stoichiometrically equivalent solution of an acid and a base would be neutral. This is sometimes true, but the salts that are formed in these reactions may have acidic or basic properties of their own, as we shall now see.

Acid-Base Neutralization

A solution is neutral when it contains equal concentrations of hydronium and hydroxide ions. When we mix solutions of an acid and a base, an acid-base neutralization reaction occurs. However, even if we mix stoichiometrically equivalent quantities, we may find that the resulting solution is not neutral. It could contain either an excess of hydronium ions or an excess of hydroxide ions because the nature of the salt formed determines whether the solution is acidic, neutral, or basic. The following four situations illustrate how solutions with various pH values can arise following a neutralization reaction using stoichiometrically equivalent quantities:

  1. A strong acid and a strong base, such as HCl(aq) and NaOH(aq) will react to form a neutral solution since the conjugate partners produced are of negligible strength (see Figure 14.8):
    HCl(aq)+NaOH(aq)NaCl(aq)+H2O(l)HCl(aq)+NaOH(aq)NaCl(aq)+H2O(l)
    14.116
  2. A strong acid and a weak base yield a weakly acidic solution. The products of this neutralization reaction are the conjugate base of the strong acid (Kb ≈ 0, so it doesn’t affect pH) and the conjugate acid of the weak base (Ka > 0, so it ionizes to make the solution acidic).
  3. A weak acid and a strong base yield a weakly basic solution. The products of this neutralization reaction are the conjugate acid of the strong base (Ka ≈ 0, so it doesn’t affect pH) and the conjugate base of the weak acid (Kb > 0, so it ionizes to make the solution basic).
  4. A weak acid plus a weak base can yield either an acidic or basic solution. This is the most complex of the four types of reactions. When the conjugate acid and the conjugate base are of unequal strengths, the solution can be either acidic or basic, depending on the relative strengths of the two conjugates. To predict whether a particular combination will be acidic or basic, tabulated K values of the conjugates must be compared. (Note: occasionally the weak acid and the weak base can have the same strength, so their respective conjugate base and acid will have the same strength, and the solution will be neutral.)

Chemistry in Everyday Life

Stomach Antacids

Our stomachs contain a solution of roughly 0.03 M HCl, which helps us digest the food we eat. The burning sensation associated with heartburn is a result of the acid of the stomach leaking through the muscular valve at the top of the stomach into the lower reaches of the esophagus. The lining of the esophagus is not protected from the corrosive effects of stomach acid the way the lining of the stomach is, and the results can be very painful. When we have heartburn, it feels better if we reduce the excess acid in the esophagus by taking an antacid. As you may have guessed, antacids are bases. One of the most common antacids is calcium carbonate, CaCO3. The reaction,

CaCO3(s)+2HCl(aq)CaCl2(aq)+H2O(l)+CO2(g)CaCO3(s)+2HCl(aq)CaCl2(aq)+H2O(l)+CO2(g)
14.117

not only neutralizes stomach acid, it also produces CO2(g), which may result in a satisfying belch.

Milk of Magnesia is a suspension of the sparingly soluble base magnesium hydroxide, Mg(OH)2. It works according to the reaction:

Mg(OH)2(s)Mg2+(aq)+2OH(aq)Mg(OH)2(s)Mg2+(aq)+2OH(aq)
14.118

The hydroxide ions generated in this equilibrium then go on to react with the hydronium ions from the stomach acid, so that :

H3O++OH2H2O(l)H3O++OH2H2O(l)
14.119

This reaction does not produce carbon dioxide, but magnesium-containing antacids can have a laxative effect.

Several antacids have aluminum hydroxide, Al(OH)3, as an active ingredient. The aluminum hydroxide tends to cause constipation, and some antacids use aluminum hydroxide in concert with magnesium hydroxide to balance the side effects of the two substances.

Chemistry in Everyday Life

Culinary Aspects of Chemistry

Cooking is essentially synthetic chemistry that happens to be safe to eat. There are a number of examples of acid-base chemistry in the culinary world. One example is the use of baking soda, or sodium bicarbonate in baking. NaHCO3 is a base. When it reacts with an acid such as lemon juice, buttermilk, or sour cream in a batter, bubbles of carbon dioxide gas are formed from decomposition of the resulting carbonic acid, and the batter “rises.” Baking powder is a combination of sodium bicarbonate, and one or more acid salts that react when the two chemicals come in contact with water in the batter.

Many people like to put lemon juice or vinegar, both of which are acids, on cooked fish (Figure 14.15). It turns out that fish have volatile amines (bases) in their systems, which are neutralized by the acids to yield involatile ammonium salts. This reduces the odor of the fish, and also adds a “sour” taste that we seem to enjoy.

An image is shown of two fish with heads removed and skin on with lemon slices placed in the body cavity.
Figure 14.15 A neutralization reaction takes place between citric acid in lemons or acetic acid in vinegar, and the bases in the flesh of fish.

Pickling is a method used to preserve vegetables using a naturally produced acidic environment. The vegetable, such as a cucumber, is placed in a sealed jar submerged in a brine solution. The brine solution favors the growth of beneficial bacteria and suppresses the growth of harmful bacteria. The beneficial bacteria feed on starches in the cucumber and produce lactic acid as a waste product in a process called fermentation. The lactic acid eventually increases the acidity of the brine to a level that kills any harmful bacteria, which require a basic environment. Without the harmful bacteria consuming the cucumbers they are able to last much longer than if they were unprotected. A byproduct of the pickling process changes the flavor of the vegetables with the acid making them taste sour.

Salts of Weak Bases and Strong Acids

When we neutralize a weak base with a strong acid, the product is a salt containing the conjugate acid of the weak base. This conjugate acid is a weak acid. For example, ammonium chloride, NH4Cl, is a salt formed by the reaction of the weak base ammonia with the strong acid HCl:

NH3(aq)+HCl(aq)NH4Cl(aq)NH3(aq)+HCl(aq)NH4Cl(aq)
14.120

A solution of this salt contains ammonium ions and chloride ions. The chloride ion has no effect on the acidity of the solution since HCl is a strong acid. Chloride is a very weak base and will not accept a proton to a measurable extent. However, the ammonium ion, the conjugate acid of ammonia, reacts with water and increases the hydronium ion concentration:

NH4+(aq)+H2O(l)H3O+(aq)+NH3(aq)NH4+(aq)+H2O(l)H3O+(aq)+NH3(aq)
14.121

The equilibrium equation for this reaction is simply the ionization constant. Ka, for the acid NH4+:NH4+:

[H3O+][NH3][NH4+]=Ka[H3O+][NH3][NH4+]=Ka
14.122

We will not find a value of Ka for the ammonium ion in Appendix H. However, it is not difficult to determine Ka for NH4+NH4+ from the value of the ionization constant of water, Kw, and Kb, the ionization constant of its conjugate base, NH3, using the following relationship:

Kw=Ka×KbKw=Ka×Kb
14.123

This relation holds for any base and its conjugate acid or for any acid and its conjugate base.

Example 14.15

The pH of a Solution of a Salt of a Weak Base and a Strong Acid

Aniline is an amine that is used to manufacture dyes. It is isolated as aniline hydrochloride, [C6H5NH3+]Cl,[C6H5NH3+]Cl, a salt prepared by the reaction of the weak base aniline and hydrochloric acid. What is the pH of a 0.233 M solution of aniline hydrochloride?
C6H5NH3+(aq)+H2O(l)H3O+(aq)+C6H5NH2(aq)C6H5NH3+(aq)+H2O(l)H3O+(aq)+C6H5NH2(aq)
14.124

Solution

The new step in this example is to determine Ka for the C6H5NH3+C6H5NH3+ ion. The C6H5NH3+C6H5NH3+ ion is the conjugate acid of a weak base. The value of Ka for this acid is not listed in Appendix H, but we can determine it from the value of Kb for aniline, C6H5NH2, which is given as 4.3 ×× 10−10 (Table 14.3 and Appendix I):
Ka(forC6H5NH3+)×Kb(forC6H5NH2)=Kw=1.0×10−14Ka(forC6H5NH3+)×Kb(forC6H5NH2)=Kw=1.0×10−14
14.125
Ka(forC6H5NH3+)=KwKb(forC6H5NH2)=1.0×10−144.3×10−10=2.3×10−5Ka(forC6H5NH3+)=KwKb(forC6H5NH2)=1.0×10−144.3×10−10=2.3×10−5
14.126

Now we have the ionization constant and the initial concentration of the weak acid, the information necessary to determine the equilibrium concentration of H3O+, and the pH:

Four tan rectangles are shown that are connected with right pointing arrows. The first is labeled “Determine the direction of change.” The second is labeled “Determine x and the equilibrium concentrations.” The third is labeled “Solve for x and the equilibrium concentrations.” The fourth is labeled “Check the math.”

With these steps we find [H3O+] = 2.3 ×× 10−3 M and pH = 2.64

Check Your Learning

(a) Do the calculations and show that the hydronium ion concentration for a 0.233-M solution of C6H5NH3+C6H5NH3+ is 2.3 ×× 10−3 and the pH is 2.64.

(b) What is the hydronium ion concentration in a 0.100-M solution of ammonium nitrate, NH4NO3, a salt composed of the ions NH4+NH4+ and NO3.NO3. Use the data in Table 14.3 to determine Kb for the ammonium ion. Which is the stronger acid C6H5NH3+C6H5NH3+ or NH4+?NH4+?

Answer:

(a) Ka(forNH4+)=5.6×10−10,Ka(forNH4+)=5.6×10−10, [H3O+] = 7.5 ×× 10−6 M; (b) C6H5NH3+C6H5NH3+ is the stronger acid.

Salts of Weak Acids and Strong Bases

When we neutralize a weak acid with a strong base, we get a salt that contains the conjugate base of the weak acid. This conjugate base is usually a weak base. For example, sodium acetate, NaCH3CO2, is a salt formed by the reaction of the weak acid acetic acid with the strong base sodium hydroxide:

CH3CO2H(aq)+NaOH(aq)NaCH3CO2(aq)+H2O(aq)CH3CO2H(aq)+NaOH(aq)NaCH3CO2(aq)+H2O(aq)
14.127

A solution of this salt contains sodium ions and acetate ions. The sodium ion has no effect on the acidity of the solution. However, the acetate ion, the conjugate base of acetic acid, reacts with water and increases the concentration of hydroxide ion:

CH3CO2(aq)+H2O(l)CH3CO2H(aq)+OH(aq)CH3CO2(aq)+H2O(l)CH3CO2H(aq)+OH(aq)
14.128

The equilibrium equation for this reaction is the ionization constant, Kb, for the base CH3CO2.CH3CO2. The value of Kb can be calculated from the value of the ionization constant of water, Kw, and Ka, the ionization constant of the conjugate acid of the anion using the equation:

Kw=Ka×KbKw=Ka×Kb
14.129

For the acetate ion and its conjugate acid we have:

Kb(forCH3CO2)=KwKa(forCH3CO2H)=1.0×10−141.8×10−5=5.6×10−10Kb(forCH3CO2)=KwKa(forCH3CO2H)=1.0×10−141.8×10−5=5.6×10−10
14.130

Some handbooks do not report values of Kb. They only report ionization constants for acids. If we want to determine a Kb value using one of these handbooks, we must look up the value of Ka for the conjugate acid and convert it to a Kb value.

Example 14.16

Equilibrium in a Solution of a Salt of a Weak Acid and a Strong Base

Determine the acetic acid concentration in a solution with [CH3CO2]=0.050M[CH3CO2]=0.050M and [OH] = 2.5 ×× 10−6 M at equilibrium. The reaction is:
CH3CO2(aq)+H2O(l)CH3CO2H(aq)+OH(aq)CH3CO2(aq)+H2O(l)CH3CO2H(aq)+OH(aq)
14.131

Solution

We are given two of three equilibrium concentrations and asked to find the missing concentration. If we can find the equilibrium constant for the reaction, the process is straightforward.

The acetate ion behaves as a base in this reaction; hydroxide ions are a product. We determine Kb as follows:

Kb(forCH3CO2)=KwKa(forCH3CO2H)=1.0×10−141.8×10−5=5.6×10−10Kb(forCH3CO2)=KwKa(forCH3CO2H)=1.0×10−141.8×10−5=5.6×10−10
14.132

Now find the missing concentration:

Kb=[CH3CO2H][OH][CH3CO2]=5.6×10−10Kb=[CH3CO2H][OH][CH3CO2]=5.6×10−10
14.133
=[CH3CO2H](2.5×10−6)(0.050)=5.6×10−10=[CH3CO2H](2.5×10−6)(0.050)=5.6×10−10
14.134

Solving this equation we get [CH3CO2H] = 1.1 ×× 10−5 M.

Check Your Learning

What is the pH of a 0.083-M solution of CN? Use 4.9 ×× 10−10 as Ka for HCN. Hint: We will probably need to convert pOH to pH or find [H3O+] using [OH] in the final stages of this problem.

Answer:

11.11

Equilibrium in a Solution of a Salt of a Weak Acid and a Weak Base

In a solution of a salt formed by the reaction of a weak acid and a weak base, the salt’s cation will be a weak acid (the conjugate acid of the weak base reactant) and its anion will be a weak base (the conjugate base of the weak acid reactant). To predict the pH of the salt solution, we must know both the Ka of the acidic cation and the Kb of the basic anion. If Ka > Kb, the solution is acidic, and if Kb > Ka, the solution is basic.

Example 14.17

Determining the Acidic or Basic Nature of Salts

Determine whether aqueous solutions of the following salts are acidic, basic, or neutral:

(a) KBr

(b) NaHCO3

(c) NH4Cl

(d) Na2HPO4

(e) NH4F

Solution

Consider each of the ions separately in terms of its effect on the pH of the solution, as shown here:

(a) The K+ cation and the Br anion are both spectators, since they are the cation of a strong base (KOH) and the anion of a strong acid (HBr), respectively. The solution is neutral.

(b) The Na+ cation is a spectator, and will not affect the pH of the solution; while the HCO3HCO3 anion is amphiprotic. The Ka of HCO3HCO3 is 4.7 ×× 10−11,and its Kb is 1.0×10−144.3×10−7=2.3×10−8.1.0×10−144.3×10−7=2.3×10−8.

Since Kb >> Ka, the solution is basic.

(c) The NH4+NH4+ ion is acidic and the Cl ion is a spectator. The solution will be acidic.

(d) The Na+ cation is a spectator, and will not affect the pH of the solution, while the HPO42−HPO42− anion is amphiprotic. The Ka of HPO42−HPO42− is 4.2 ×× 10−13,

and its Kb is 1.0×10−146.2×10−8=1.6×10−7.1.0×10−146.2×10−8=1.6×10−7. Because Kb >> Ka, the solution is basic.

(e) The NH4+NH4+ ion is listed as being acidic, and the F ion is listed as a base, so we must directly compare the Ka and the Kb of the two ions. Ka of NH4+NH4+ is 5.6 ×× 10−10, which seems very small, yet the Kb of F is 1.4 ×× 10−11, so the solution is acidic, since Ka > Kb.

Check Your Learning

Determine whether aqueous solutions of the following salts are acidic, basic, or neutral:

(a) K2CO3

(b) CaCl2

(c) KH2PO4

(d) (NH4)2CO3

(e) AlBr3

Answer:

(a) basic; (b) neutral; (c) acidic; (d) basic; (e) acidic

The Ionization of Hydrated Metal Ions

If we measure the pH of the solutions of a variety of metal ions we will find that these ions act as weak acids when in solution. The aluminum ion is an example. When aluminum nitrate dissolves in water, the aluminum ion reacts with water to give a hydrated aluminum ion, Al(H2O)63+,Al(H2O)63+, dissolved in bulk water. What this means is that the aluminum ion has the strongest interactions with the six closest water molecules (the so-called first solvation shell), even though it does interact with the other water molecules surrounding this Al(H2O)63+Al(H2O)63+ cluster as well:

Al(NO3)3(s)+6H2O(l)Al(H2O)63+(aq)+3NO3(aq)Al(NO3)3(s)+6H2O(l)Al(H2O)63+(aq)+3NO3(aq)
14.135

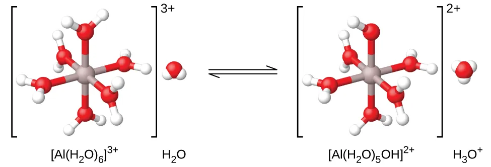
We frequently see the formula of this ion written simply as “Al3+(aq)”, without explicitly noting that six water molecules are covalently bonded to the aluminum ion. This is similar to the simplification of the formula of the hydronium ion, H3O+ to H+. In this case, a bonded water molecule acts as a weak acid (Figure 14.16) and donates a proton to a water molecule.

Al(H2O)63+(aq)+H2O(l)H3O+(aq)+Al(H2O)5(OH)2+(aq)Ka=1.4×10−5Al(H2O)63+(aq)+H2O(l)H3O+(aq)+Al(H2O)5(OH)2+(aq)Ka=1.4×10−5
14.136

The conjugate base produced by this process contains five other bonded water molecules capable of acting as acids, and so the sequential or step-wise transfer of protons is possible as depicted in the equations below:

Al(H2O)63+(aq)+H2O(l)H3O+(aq)+Al(H2O)5(OH)2+(aq)Al(H2O)63+(aq)+H2O(l)H3O+(aq)+Al(H2O)5(OH)2+(aq)
14.137
Al(H2O)5(OH)2+(aq)+H2O(l)H3O+(aq)+Al(H2O)4(OH)2+(aq)Al(H2O)5(OH)2+(aq)+H2O(l)H3O+(aq)+Al(H2O)4(OH)2+(aq)
14.138
Al(H2O)4(OH)2+(aq)+H2O(l)H3O+(aq)+Al(H2O)3(OH)3(aq)Al(H2O)4(OH)2+(aq)+H2O(l)H3O+(aq)+Al(H2O)3(OH)3(aq)
14.139

This is an example of a polyprotic acid, the topic of discussion in a later section of this chapter.

A reaction is shown using ball and stick models. On the left, inside brackets with a superscript of 3 plus outside to the right is structure labeled “[ A l ( H subscript 2 O ) subscript 6 ] superscript 3 plus.” Inside the brackets is s central grey atom to which 6 red atoms are bonded in an arrangement that distributes them evenly about the central grey atom. Each red atom has two smaller white atoms attached in a forked or bent arrangement. Outside the brackets to the right is a space-filling model that includes a red central sphere with two smaller white spheres attached in a bent arrangement. Beneath this structure is the label “H subscript 2 O.” A double sided arrow follows. Another set of brackets follows to the right of the arrows which have a superscript of two plus outside to the right. The structure inside the brackets is similar to that on the left, except a white atom is removed from the structure. The label below is also changed to “[ A l ( H subscript 2 O ) subscript 5 O H ] superscript 2 plus.” To the right of this structure and outside the brackets is a space filling model with a central red sphere to which 3 smaller white spheres are attached. This structure is labeled “H subscript 3 O superscript plus.”
Figure 14.16 When an aluminum ion reacts with water, the hydrated aluminum ion becomes a weak acid.

Additional examples of the first stage in the ionization of hydrated metal ions are:

Fe(H2O)63+(aq)+H2O(l)H3O+(aq)+Fe(H2O)5(OH)2+(aq)pKa=2.74Fe(H2O)63+(aq)+H2O(l)H3O+(aq)+Fe(H2O)5(OH)2+(aq)pKa=2.74
14.140
Cu(H2O)62+(aq)+H2O(l)H3O+(aq)+Cu(H2O)5(OH)+(aq)pKa=~6.3Cu(H2O)62+(aq)+H2O(l)H3O+(aq)+Cu(H2O)5(OH)+(aq)pKa=~6.3
14.141
Zn(H2O)42+(aq)+H2O(l)H3O+(aq)+Zn(H2O)3(OH)+(aq)pKa=9.6Zn(H2O)42+(aq)+H2O(l)H3O+(aq)+Zn(H2O)3(OH)+(aq)pKa=9.6
14.142

Example 14.18

Hydrolysis of [Al(H2O)6]3+

Calculate the pH of a 0.10-M solution of aluminum chloride, which dissolves completely to give the hydrated aluminum ion [Al(H2O)6]3+[Al(H2O)6]3+ in solution.

Solution

In spite of the unusual appearance of the acid, this is a typical acid ionization problem. Four tan rectangles are shown that are connected with right pointing arrows. The first is labeled “Determine the direction of change.” The second is labeled “Determine x and the equilibrium concentrations.” The third is labeled “Solve for x and the equilibrium concentrations.” The fourth is labeled “Check the math.”
  1. Step 1.
    Determine the direction of change. The equation for the reaction and Ka are:
    Al(H2O)63+(aq)+H2O(l)H3O+(aq)+Al(H2O)5(OH)2+(aq)Ka=1.4×10−5Al(H2O)63+(aq)+H2O(l)H3O+(aq)+Al(H2O)5(OH)2+(aq)Ka=1.4×10−5
    14.143

    The reaction shifts to the right to reach equilibrium.
  2. Step 2. Determine x and equilibrium concentrations. Use the table:
    This table has two main columns and four rows. The first row for the first column does not have a heading and then has the following in the first column: Initial concentration ( M ), Change ( M ), Equilibrium concentration ( M ). The second column has the header of “A l ( H subscript 2 O ) subscript 6 superscript 3 positive sign plus H subscript 2 O equilibrium arrow H subscript 3 O superscript positive sign plus A l ( H subscript 2 O ) subscript 5 ( O H ) superscript 2 positive sign.” Under the second column is a subgroup of four columns and three rows. The first column has the following: 0.10 (which appears in red), negative x, 0.10 minus x. The second column is blank. The third column has the following: approximately 0, x, x. The fourth column has the following: 0, x, x.
  3. Step 3.
    Solve for x and the equilibrium concentrations. Substituting the expressions for the equilibrium concentrations into the equation for the ionization constant yields:
    Ka=[H3O+][Al(H2O)5(OH)2+][Al(H2O)63+]Ka=[H3O+][Al(H2O)5(OH)2+][Al(H2O)63+]
    14.144

    =(x)(x)0.10x=1.4×10−5=(x)(x)0.10x=1.4×10−5
    14.145

    Solving this equation gives:
    x=1.2×10−3Mx=1.2×10−3M
    14.146

    From this we find:
    [H3O+]=0+x=1.2×10−3M[H3O+]=0+x=1.2×10−3M
    14.147

    pH=−log[H3O+]=2.92(an acidic solution)pH=−log[H3O+]=2.92(an acidic solution)
    14.148
  4. Step 4. Check the work. The arithmetic checks; when 1.2 ×× 10−3 M is substituted for x, the result = Ka.

Check Your Learning

What is [Al(H2O)5(OH)2+][Al(H2O)5(OH)2+] in a 0.15-M solution of Al(NO3)3 that contains enough of the strong acid HNO3 to bring [H3O+] to 0.10 M?

Answer:

2.1 ×× 10−5 M

The constants for the different stages of ionization are not known for many metal ions, so we cannot calculate the extent of their ionization. However, practically all hydrated metal ions other than those of the alkali metals ionize to give acidic solutions. Ionization increases as the charge of the metal ion increases or as the size of the metal ion decreases.

Citation/Attribution

This book may not be used in the training of large language models or otherwise be ingested into large language models or generative AI offerings without OpenStax's permission.

Want to cite, share, or modify this book? This book uses the Creative Commons Attribution License and you must attribute OpenStax.

Attribution information
  • If you are redistributing all or part of this book in a print format, then you must include on every physical page the following attribution:

    Access for free at https://openstax.org/books/chemistry-atoms-first/pages/1-introduction

  • If you are redistributing all or part of this book in a digital format, then you must include on every digital page view the following attribution:

    Access for free at https://openstax.org/books/chemistry-atoms-first/pages/1-introduction

Citation information

© Feb 15, 2022 OpenStax. Textbook content produced by OpenStax is licensed under a Creative Commons Attribution License . The OpenStax name, OpenStax logo, OpenStax book covers, OpenStax CNX name, and OpenStax CNX logo are not subject to the Creative Commons license and may not be reproduced without the prior and express written consent of Rice University.