Skip to ContentGo to accessibility pageKeyboard shortcuts menu
OpenStax Logo
Search for key terms or text.

1.

(a) Sc: [Ar]4s23d1; (b) Ti: [Ar]4s23d2; (c) Cr: [Ar]4s13d5; (d) Fe: [Ar]4s23d6; (e) Ru: [Kr]5s24d6

3.

(a) La: [Xe]6s25d1, La3+: [Xe]; (b) Sm: [Xe]6s24f6, Sm3+: [Xe]4f5; (c) Lu: [Xe]6s24f145d1, Lu3+: [Xe]4f14

5.

Al is used because it is the strongest reducing agent and the only option listed that can provide sufficient driving force to convert La(III) into La.

7.

Mo

9.

The CaSiO3 slag is less dense than the molten iron, so it can easily be separated. Also, the floating slag layer creates a barrier that prevents the molten iron from exposure to O2, which would oxidize the Fe back to Fe2O3.

11.

2.57%

13.

0.167 V

15.

E° = −0.6 V, E° is negative so this reduction is not spontaneous. E° = +1.1 V

17.

(a) Fe(s)+2H3O+(aq)+SO42−(aq)Fe2+(aq)+SO42−(aq)+H2(g)+2H2O(l);Fe(s)+2H3O+(aq)+SO42−(aq)Fe2+(aq)+SO42−(aq)+H2(g)+2H2O(l); (b) FeCl3(aq)+3Na+(aq)+3OH(aq)Fe(OH)3(s)+3Na+(aq)+3Cl+(aq);FeCl3(aq)+3Na+(aq)+3OH(aq)Fe(OH)3(s)+3Na+(aq)+3Cl+(aq); (c) Mn(OH)2(s)+2H3O+(aq)+2Br(aq)Mn2+(aq)+2Br(aq)+4H2O(l);Mn(OH)2(s)+2H3O+(aq)+2Br(aq)Mn2+(aq)+2Br(aq)+4H2O(l); (d) 4Cr(s)+3O2(g)2Cr2O3(s);4Cr(s)+3O2(g)2Cr2O3(s); (e) Mn2O3(s)+6H3O+(aq)+6Cl(aq)2MnCl3(s)+9H2O(l);Mn2O3(s)+6H3O+(aq)+6Cl(aq)2MnCl3(s)+9H2O(l); (f) Ti(s)+xsF2(g)TiF4(g)Ti(s)+xsF2(g)TiF4(g)

19.

(a) Cr2(SO4)3(aq)+2Zn(s)+2H3O+(aq)2Zn2+(aq)+H2(g)+2H2O(l)+2Cr2+(aq)+3SO42−(aq);Cr2(SO4)3(aq)+2Zn(s)+2H3O+(aq)2Zn2+(aq)+H2(g)+2H2O(l)+2Cr2+(aq)+3SO42−(aq); (b) 4TiCl3(s)+CrO42−(aq)+8H+(aq)4Ti4+(aq)+Cr(s)+4H2O(l)+12Cl(aq);4TiCl3(s)+CrO42−(aq)+8H+(aq)4Ti4+(aq)+Cr(s)+4H2O(l)+12Cl(aq); (c) In acid solution between pH 2 and pH 6, CrO42−CrO42− forms HCrO4,HCrO4, which is in equilibrium with dichromate ion. The reaction is 2HCrO4(aq)Cr2O72−(aq)+H2O(l).2HCrO4(aq)Cr2O72−(aq)+H2O(l). At other acidic pHs, the reaction is 3Cr2+(aq)+CrO42−(aq)+8H3O+(aq)4Cr3+(aq)+12H2O(l);3Cr2+(aq)+CrO42−(aq)+8H3O+(aq)4Cr3+(aq)+12H2O(l); (d) 8CrO3(s)+9Mn(s)Δ4Cr2O3(s)+3Mn3O4(s);8CrO3(s)+9Mn(s)Δ4Cr2O3(s)+3Mn3O4(s); (e) CrO(s)+2H3O+(aq)+2NO3(aq)Cr2+(aq)+2NO3(aq)+3H2O(l);CrO(s)+2H3O+(aq)+2NO3(aq)Cr2+(aq)+2NO3(aq)+3H2O(l); (f) CrCl3(s)+3NaOH(aq)Cr(OH)3(s)+3Na+(aq)+3Cl(aq)CrCl3(s)+3NaOH(aq)Cr(OH)3(s)+3Na+(aq)+3Cl(aq)

21.

(a) 3Fe(s)+4H2O(g)Fe3O4(s)+4H2(g);3Fe(s)+4H2O(g)Fe3O4(s)+4H2(g); (b) 3NaOH(aq)+Fe(NO3)3(aq)H2OFe(OH)3(s)+3Na+(aq)+3NO3(aq);3NaOH(aq)+Fe(NO3)3(aq)H2OFe(OH)3(s)+3Na+(aq)+3NO3(aq); (c) MnO4−+5Fe2++8H+Mn2++5Fe3+4H2O;MnO4−+5Fe2++8H+Mn2++5Fe3+4H2O; (d) Fe(s)+2H3O+(aq)+SO42−(aq)Fe2+(aq)+SO42−(aq)+H2(g)+2H2O(l);Fe(s)+2H3O+(aq)+SO42−(aq)Fe2+(aq)+SO42−(aq)+H2(g)+2H2O(l); (e) 4Fe2+(aq)+O2(g)+4HNO3(aq)4Fe3+(aq)+2H2O(l)+4NO3(aq);4Fe2+(aq)+O2(g)+4HNO3(aq)4Fe3+(aq)+2H2O(l)+4NO3(aq); (f) FeCO3(s)+2HClO4(aq)Fe(ClO4)2(aq)+H2O(l)+CO2(g);FeCO3(s)+2HClO4(aq)Fe(ClO4)2(aq)+H2O(l)+CO2(g); (g) 3Fe(s)+2O2(g)ΔFe3O4(s)3Fe(s)+2O2(g)ΔFe3O4(s)

23.

As CN is added,
Ag+(aq)+CN(aq)AgCN(s)Ag+(aq)+CN(aq)AgCN(s)
As more CN is added,
Ag+(aq)+2CN(aq)[Ag(CN)2](aq)AgCN(s)+CN(aq)[Ag(CN)2](aq)Ag+(aq)+2CN(aq)[Ag(CN)2](aq)AgCN(s)+CN(aq)[Ag(CN)2](aq)

25.

(a) Sc3+; (b) Ti4+; (c) V5+; (d) Cr6+; (e) Mn4+; (f) Fe2+ and Fe3+; (g) Co2+ and Co3+; (h) Ni2+; (i) Cu+

27.

(a) 4, [Zn(OH)4]2−; (b) 6, [Pd(CN)6]2−; (c) 2, [AuCl2]; (d) 4, [Pt(NH3)2Cl2]; (e) 6, K[Cr(NH3)2Cl4]; (f) 6, [Co(NH3)6][Cr(CN)6]; (g) 6, [Co(en)2Br2]NO3

29.

(a) [Pt(H2O)2Br2]:

Two structures are shown. At the center of each is a P t atom. The structure on the left is labeled, “cis.” From this atom, a single bond represented by a dashed wedge extends from a vertex at the P t atom up and to the right to a B r atom. Similarly, a single bond represented by a solid wedge extends from a vertex at the P t atom down and to the right to a second B r atom. Another single bond represented by a dashed wedge extends from a vertex at the P t atom up and to the left to the O atom of an H subscript 2 O group. Similarly, a single bond represented by a solid wedge extends from a vertex at the P t atom down and to the left to a second O atom of an H subscript 2 O group. The structure on the right is labeled, “trans.” From the central P t atom, a single bond represented by a dashed wedge extends from a vertex at the P t atom up and to the right to a B r atom. Similarly, a single bond represented by a solid wedge extends from a vertex at the P t atom down and to the right to the O atom of an H subscript 2 O group. Another single bond represented by a dashed wedge extends from a vertex at the P t atom up and to the left to the O atom of a second H subscript 2 O group. Similarly, a single bond represented by a solid wedge extends from a vertex at the P t atom down and to the left to a second B r atom.;


(b) [Pt(NH3)(py)(Cl)(Br)]:

Three structures are shown. At the center of each is a P t atom. From this atom in the first structure on the left, a single bond represented by a dashed wedge extends from a vertex at the P t atom up and to the right to a C l atom. Similarly, a single bond represented by a solid wedge extends from a vertex at the P t atom down and to the right to the N atom of an N H subscript 3 group. Another single bond represented by a dashed wedge extends from a vertex at the P t atom up and to the left to a B r atom. Similarly, a single bond represented by a solid wedge extends from a vertex at the P t atom down and to the left to p y. The middle structure shows a single bond represented by a dashed wedge extending from a vertex at the P t atom up and to the right to a B r atom. Similarly, a single bond represented by a solid wedge extends from a vertex at the P t atom down and to the right to the N atom of an N H subscript 3 group. Another single bond represented by a dashed wedge extends from a vertex at the P t atom up and to the left to p y. Similarly, a single bond represented by a solid wedge extends from a vertex at the P t atom down and to the left to a to a C l atom. The third structure shows a single bond represented by a dashed wedge extending from a vertex at the P t atom up and to the right to p y. Similarly, a single bond represented by a solid wedge extends from a vertex at the P t atom down and to the right to the N atom of an N H subscript 3 group. Another single bond represented by a dashed wedge extends from a vertex at the P t atom up and to the left to a C l atom. Similarly, a single bond represented by a solid wedge extends from a vertex at the P t atom down and to the left to a B r atom.;


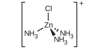
(c) [Zn(NH3)3Cl]+ :

Inside of brackets, a central Z n atom is bonded to a C l atom and three N atoms in N H subscript 3 groups in a tetrahedral spatial arrangement. Short line segments are used to represent a bond extending above to the C l atom and down and to the left to the N of the N H subscript 3 group from the Z n atom. A dashed wedge with the vertex at the Z n atom and wide end at the N atom of an N H subscript 3 group is used to represent a bond down and to the right of the Z n atom. The final bond is indicated by a similar solid wedge again directed down and only slightly right of center beneath the Z n atom to the N of an N H subscript 3 group. Outside the brackets a superscript plus sign is shown.;


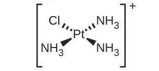
(d) [Pt(NH3)3Cl]+ :

This structure shows a single bond represented by a dashed wedge extending from a vertex at the P t atom up and to the right to the N atom of an N H subscript 3 group. Similarly, two single bonds represented by solid wedges extend from vertices at the P t atom down and to the right and down and to the left to the N atoms of N H subscript 3 groups. Another single bond represented by a dashed wedge extends from a vertex at the P t atom up and to the left to a C l atom. This structure is enclosed in brackets with superscript plus sign appearing to the right of the brackets.;


(e) [Ni(H2O)4Cl2]:

Two structures are shown. The first is labeled, “trans.” Below this label inside brackets is a central N i atom. From the N i atom, line segments indicate bonds to C l atoms above and below. Above and to both the right and left, dashed wedges with their vertex at the N i atom widening as they move out from the atom indicate bonds with O atoms of H subscript 2 O groups. Similarly, solid wedges below to both the right and left indicate bonds to the O atoms of H subscript 2 O groups. This structure is enclosed in brackets. The second structure is labeled, “cis.” Inside brackets is a central N i atom. From the N i atom, line segments indicate bonds to a C l atom above and the O atom of an H subscript 2 O group below. Above and to both the right and left, dashed wedges indicate bonds with O atoms of H subscript 2 O groups. Similarly, a solid wedge below to the right indicates a bond with a C l atom and a solid wedge to the lower left indicates a bond to the O atoms of an H subscript 2 O group. This structure is also enclosed in brackets.;


(f) [Co(C2O4)2Cl2]3−:

This figure includes three structures. The first structure includes a central C o atom that has four O atoms and two C l atoms attached with single bonds. These bonds are indicated with line segments extending above and below, dashed wedges extending up and to the left and right, and solid wedges extending below and to the left and right. C l atoms are bonded at the top and at the upper left of the structure. The remaining four bonds extend from the central C o atom to O atoms. The O atoms are each connected to C atoms which are each connected with double bonds to O atoms extending outward from the central C o atom. These C atoms are connected in pairs with bonds indicated by short line segments, forming two rings in the structure. This entire structure is enclosed in brackets. Outside the brackets to the right is a superscript 3 negative sign. The second structure, which appears to the be mirror image of the first structure, includes a central C o atom that has four O atoms and two C l atoms attached with single bonds. These bonds are indicated with line segments extending above and below, dashed wedges extending up and to the left and right, and solid wedges extending below and to the left and right. C l atoms are bonded at the top and at the upper right of the structure. The remaining four bonds extend from the central C o atom to O atoms. The O atoms are each connected to C atoms which are each connected with double bonds to O atoms extending outward from the central C o atom. These C atoms are connected in pairs with bonds indicated by short line segments, forming two rings in the structure. This entire structure is enclosed in brackets. Outside the brackets to the right is the superscript 3 negative sign. The third structure includes a central C o atom that has four O atoms and two C l atoms attached with single bonds. These bonds are indicated with line segments extending above and below, dashed wedges extending up and to the left and right, and solid wedges extending below and to the left and right. C l atoms are bonded at the top and bottom of the structure. The remaining four bonds extend from the central C o atom to the O atoms. The O atoms are each connected to C atoms which are in turn each double bonded to O atoms extending outward from the central C o atom. These C atoms are connected in pairs with bonds indicated by short line segments, forming two rings in the structure. This entire structure is enclosed in brackets. Outside the brackets, to the right, is a superscript 3 negative sign. This final structure has rings of atoms on opposite sides of the structure.
31.

(a) tricarbonatocobaltate(III) ion; (b) tetraaminecopper(II) ion; (c) tetraaminedibromocobalt(III) sulfate; (d) tetraamineplatinum(II) tetrachloroplatinate(II); (e) tris-(ethylenediamine)chromium(III) nitrate; (f) diaminedibromopalladium(II); (g) potassium pentachlorocuprate(II); (h) diaminedichlorozinc(II)

33.

(a) none; (b) none; (c) The two Cl ligands can be cis or trans. When they are cis, there will also be an optical isomer.

35.
This figure shows eight structures, each inside brackets in three rows. The first row contains three structures, the second row contains three structures, and the third row contains two structures. These structures are described in increasing order moving left to right and top to bottom in the figure. Each includes a central C o atom with line segments indicating bonds above and below the central atom. Above and to both the left and right, dashed wedges with vertices at the C o atom widening as they move out from the atom indicates single bonds. Similarly, solid wedges below and to both the left and right indicate single bonds. Outside each structure in brackets, to the right, an element or group is identified in brackets as a superscript. In the first structure, the C atom of a C N group is bonded to the C o atom. All 5 remaining bonds are with C l atoms. C N appears in brackets as a superscript outside the structure. In the second structure, the N atom of a C N group is bonded to the C o atom. All 5 remaining bonds are with C l atoms. C N appears in brackets as a superscript outside the structure. In the third structure, the C atom of two C N groups are bonded to the C o atom at the top and bottom of the structure. All 4 remaining bonds are with C l atoms. C l appears in brackets as a superscript outside the structure. In the fourth structure, the C atom of a C N groups is bonded to the C o atom at the top and the N atom of a C N group which is bonded at the bottom of the structure. All 4 remaining bonds are with C l atoms. C l appears in brackets as a superscript outside the structure. In the fifth structure, the N atom of two C N groups are bonded to the C o atom at the top and bottom of the structure. All 4 remaining bonds are with C l atoms. C l appears in brackets as a superscript outside the structure. In the sixth structure, the C atom of two C N groups are bonded to the C o atom at the top and upper right of the structure. All 4 remaining bonds are with C l atoms. C l appears in brackets as a superscript outside the structure. In the seventh structure, the C atom of a C N group is bonded to the C o atom at the top of the structure and the N atom of a C N group is bonded at the upper right of the structure. All 4 remaining bonds are with C l atoms. C l appears in brackets as a superscript outside the structure. In the eighth structure, the N atom of two C N groups are bonded to the C o atom at the top and upper right of the structure. All 4 remaining bonds are with C l atoms. C l appears in brackets as a superscript outside the structure.
37.


A diagram is shown with two columns and two rows of squares outlined in yellow. The first column is labeled “[ F e ( N O subscript 2 ) subscript 6 ] superscript 4 negative sign.” The second is labeled, “[ F e F subscript 6 ] superscript 3 negative sign.” In the left column, three linked squares outlined in yellow are shown. Each of the squares contains two half arrows, one pointing up and one pointing down. In a row just above, two empty linked squares are shown. The label, “Low spin, diamagnetic, P less than capital delta subscript oct,” is provided below the column. In the right column, three linked squares outlined in yellow are shown. The square on the left contains two half arrows, one pointing up and one pointing down. The other two squares each contain a single upward pointing half arrow. In a row just above, two linked squares are shown which each contain a single upward pointing half arrow. The label, “High spin, paramagnetic, P greater than capital delta subscript oct,” is provided below the column.
39.

[Co(H2O)6]Cl2 with three unpaired electrons.

41.

(a) 4; (b) 2; (c) 1; (d) 5; (e) 0

43.

(a) [Fe(CN)6]4−; (b) [Co(NH3)6]3+; (c) [Mn(CN)6]4−

45.

The complex does not have any unpaired electrons. The complex does not have any geometric isomers, but the mirror image is nonsuperimposable, so it has an optical isomer.

47.

No. Au+ has a complete 5d sublevel.

Citation/Attribution

This book may not be used in the training of large language models or otherwise be ingested into large language models or generative AI offerings without OpenStax's permission.

Want to cite, share, or modify this book? This book uses the Creative Commons Attribution License and you must attribute OpenStax.

Attribution information
  • If you are redistributing all or part of this book in a print format, then you must include on every physical page the following attribution:

    Access for free at https://openstax.org/books/chemistry-atoms-first-2e/pages/1-introduction

  • If you are redistributing all or part of this book in a digital format, then you must include on every digital page view the following attribution:

    Access for free at https://openstax.org/books/chemistry-atoms-first-2e/pages/1-introduction

Citation information

© Jul 9, 2025 OpenStax. Textbook content produced by OpenStax is licensed under a Creative Commons Attribution License . The OpenStax name, OpenStax logo, OpenStax book covers, OpenStax CNX name, and OpenStax CNX logo are not subject to the Creative Commons license and may not be reproduced without the prior and express written consent of Rice University.