Skip to ContentGo to accessibility pageKeyboard shortcuts menu
OpenStax Logo
Chemistry 2e

14.4 Hydrolysis of Salts

Chemistry 2e14.4 Hydrolysis of Salts
Search for key terms or text.

Learning Objectives

By the end of this section, you will be able to:

  • Predict whether a salt solution will be acidic, basic, or neutral
  • Calculate the concentrations of the various species in a salt solution
  • Describe the acid ionization of hydrated metal ions

Salts with Acidic Ions

Salts are ionic compounds composed of cations and anions, either of which may be capable of undergoing an acid or base ionization reaction with water. Aqueous salt solutions, therefore, may be acidic, basic, or neutral, depending on the relative acid-base strengths of the salt's constituent ions. For example, dissolving ammonium chloride in water results in its dissociation, as described by the equation

NH 4 Cl(s) NH 4 + (aq)+ Cl (aq) NH 4 Cl(s) NH 4 + (aq)+ Cl (aq)

The ammonium ion is the conjugate acid of the base ammonia, NH3; its acid ionization (or acid hydrolysis) reaction is represented by

NH4+(aq)+H2O(l)H3O+(aq)+NH3(aq)Ka=Kw/KbNH4+(aq)+H2O(l)H3O+(aq)+NH3(aq)Ka=Kw/Kb

Since ammonia is a weak base, Kb is measurable and Ka > 0 (ammonium ion is a weak acid).

The chloride ion is the conjugate base of hydrochloric acid, and so its base ionization (or base hydrolysis) reaction is represented by

Cl (aq)+ H 2 O(l)HCl(aq)+ OH (aq) K b = K w / K a Cl (aq)+ H 2 O(l)HCl(aq)+ OH (aq) K b = K w / K a

Since HCl is a strong acid, Ka is immeasurably large and Kb ≈ 0 (chloride ions don’t undergo appreciable hydrolysis).

Thus, dissolving ammonium chloride in water yields a solution of weak acid cations (NH4+NH4+) and inert anions (Cl), resulting in an acidic solution.

Example 14.15

Calculating the pH of an Acidic Salt Solution

Aniline is an amine that is used to manufacture dyes. It is isolated as anilinium chloride, [C6H5NH3]Cl,[C6H5NH3]Cl, a salt prepared by the reaction of the weak base aniline and hydrochloric acid. What is the pH of a 0.233 M solution of anilinium chloride
C6H5NH3+(aq)+H2O(l)H3O+(aq)+C6H5NH2(aq)C6H5NH3+(aq)+H2O(l)H3O+(aq)+C6H5NH2(aq)

Solution

The Ka for anilinium ion is derived from the Kb for its conjugate base, aniline (see Appendix I):
Ka=KwKb=1.0×10−144.3×10−10=2.3×10−5Ka=KwKb=1.0×10−144.3×10−10=2.3×10−5

Using the provided information, an ICE table for this system is prepared:

This table has two main columns and four rows. The first row for the first column does not have a heading and then has the following in the first column: Initial concentration ( M ), Change ( M ), Equilibrium ( M ). The second column has the header of “C subscript 6 H subscript 5 N H subscript 3 superscript positive sign plus sign H subscript 2 O equilibrium sign C subscript 6 H subscript 5 N H subscript 2 plus sign H subscript 3 O superscript positive sign.” Under the second column is a subgroup of four columns and three rows. The first column has the following: 0.233, negative x, 0.233 minus x. The second column is blank for all three rows. The third column has the following: 0, positive x, x. The fourth column has the following: approximately 0, positive x, x.

Substituting these equilibrium concentration terms into the Ka expression gives

K a =[ C 6 H 5 NH 2 ][ H 3 O + ]/[ C 6 H 5 NH 3 + ] 2.3× 10 5 =(x)(x)/0.233x) K a =[ C 6 H 5 NH 2 ][ H 3 O + ]/[ C 6 H 5 NH 3 + ] 2.3× 10 5 =(x)(x)/0.233x)

Assuming x << 0.233, the equation is simplified and solved for x:

2.3× 10 5 = x 2 /0.233 x=0.0023M 2.3× 10 5 = x 2 /0.233 x=0.0023M

The ICE table defines x as the hydronium ion molarity, and so the pH is computed as

pH=log[ H 3 O + ]=log(0.0023)=2.64 pH=log[ H 3 O + ]=log(0.0023)=2.64

Check Your Learning

What is the hydronium ion concentration in a 0.100-M solution of ammonium nitrate, NH4NO3, a salt composed of the ions NH4+NH4+ and NO3.NO3. Which is the stronger acid C6H5NH3+C6H5NH3+ or NH4+?NH4+?

Answer:

[H3O+] = 7.5 ×× 10−6 M; C6H5NH3+C6H5NH3+ is the stronger acid.

Salts with Basic Ions

As another example, consider dissolving sodium acetate in water:

NaCH 3 CO 2 (s)Na+(aq)+ CH 3 CO 2 (aq) NaCH 3 CO 2 (s)Na+(aq)+ CH 3 CO 2 (aq)

The sodium ion does not undergo appreciable acid or base ionization and has no effect on the solution pH. This may seem obvious from the ion's formula, which indicates no hydrogen or oxygen atoms, but some dissolved metal ions function as weak acids, as addressed later in this section.

The acetate ion, CH 3 CO 2 , CH 3 CO 2 , is the conjugate base of acetic acid, CH3CO2H, and so its base ionization (or base hydrolysis) reaction is represented by

CH 3 CO 2 (aq)+ H 2 O(l) CH 3 CO 2 H(aq)+OH(aq) K b = K w / K a CH 3 CO 2 (aq)+ H 2 O(l) CH 3 CO 2 H(aq)+OH(aq) K b = K w / K a

Because acetic acid is a weak acid, its Ka is measurable and Kb > 0 (acetate ion is a weak base).

Dissolving sodium acetate in water yields a solution of inert cations (Na+) and weak base anions (CH 3 CO 2 ), (CH 3 CO 2 ), resulting in a basic solution.

Example 14.16

Equilibrium in a Solution of a Salt of a Weak Acid and a Strong Base

Determine the acetic acid concentration in a solution with [CH3CO2]=0.050M[CH3CO2]=0.050M and [OH] = 2.5 ×× 10−6 M at equilibrium. The reaction is:
CH3CO2(aq)+H2O(l)CH3CO2H(aq)+OH(aq)CH3CO2(aq)+H2O(l)CH3CO2H(aq)+OH(aq)

Solution

The provided equilibrium concentrations and a value for the equilibrium constant will permit calculation of the missing equilibrium concentration. The process in question is the base ionization of acetate ion, for which
Kb(forCH3CO2)=KwKa(forCH3CO2H)=1.0×10−141.8×10−5=5.6×10−10Kb(forCH3CO2)=KwKa(forCH3CO2H)=1.0×10−141.8×10−5=5.6×10−10

Substituting the available values into the Kb expression gives

Kb=[CH3CO2H][OH][CH3CO2]=5.6×10−10Kb=[CH3CO2H][OH][CH3CO2]=5.6×10−10
=[CH3CO2H](2.5×10−6)(0.050)=5.6×10−10=[CH3CO2H](2.5×10−6)(0.050)=5.6×10−10

Solving the above equation for the acetic acid molarity yields [CH3CO2H] = 1.1 ×× 10−5 M.

Check Your Learning

What is the pH of a 0.083-M solution of NaCN?

Answer:

11.11

Salts with Acidic and Basic Ions

Some salts are composed of both acidic and basic ions, and so the pH of their solutions will depend on the relative strengths of these two species. Likewise, some salts contain a single ion that is amphiprotic, and so the relative strengths of this ion’s acid and base character will determine its effect on solution pH. For both types of salts, a comparison of the Ka and Kb values allows prediction of the solution’s acid-base status, as illustrated in the following example exercise.

Example 14.17

Determining the Acidic or Basic Nature of Salts

Determine whether aqueous solutions of the following salts are acidic, basic, or neutral:

(a) KBr

(b) NaHCO3

(c) Na2HPO4

(d) NH4F

Solution

Consider each of the ions separately in terms of its effect on the pH of the solution, as shown here:

(a) The K+ cation is inert and will not affect pH. The bromide ion is the conjugate base of a strong acid, and so it is of negligible base strength (no appreciable base ionization). The solution is neutral.

(b) The Na+ cation is inert and will not affect the pH of the solution; while the HCO3HCO3 anion is amphiprotic. The Ka of HCO3HCO3 is 4.7 ×× 10−11,and its Kb is 1.0×10−144.3×10−7=2.3×10−8.1.0×10−144.3×10−7=2.3×10−8.

Since Kb >> Ka, the solution is basic.

(c) The Na+ cation is inert and will not affect the pH of the solution, while the HPO42−HPO42− anion is amphiprotic. The Ka of HPO42−HPO42− is 4.2 ×× 10−13,

and its Kb is 1.0×10−146.2×10−8=1.6×10−7.1.0×10−146.2×10−8=1.6×10−7. Because Kb >> Ka, the solution is basic.

(d) The NH4+NH4+ ion is acidic (see above discussion) and the F ion is basic (conjugate base of the weak acid HF). Comparing the two ionization constants: Ka of NH4+NH4+ is 5.6 ×× 10−10 and the Kb of F is 1.6 ×× 10−11, so the solution is acidic, since Ka > Kb.

Check Your Learning

Determine whether aqueous solutions of the following salts are acidic, basic, or neutral:

(a) K2CO3

(b) CaCl2

(c) KH2PO4

(d) (NH4)2CO3

Answer:

(a) basic; (b) neutral; (c) acidic; (d) basic

The Ionization of Hydrated Metal Ions

Unlike the group 1 and 2 metal ions of the preceding examples (Na+, Ca2+, etc.), some metal ions function as acids in aqueous solutions. These ions are not just loosely solvated by water molecules when dissolved, instead they are covalently bonded to a fixed number of water molecules to yield a complex ion (see chapter on coordination chemistry). As an example, the dissolution of aluminum nitrate in water is typically represented as

Al( NO 3 )3(s) Al 3+ (aq)+3 NO 3 (aq) Al( NO 3 )3(s) Al 3+ (aq)+3 NO 3 (aq)

However, the aluminum(III) ion actually reacts with six water molecules to form a stable complex ion, and so the more explicit representation of the dissolution process is

Al(NO3)3(s)+6H2O(l)Al(H2O)63+(aq)+3NO3(aq)Al(NO3)3(s)+6H2O(l)Al(H2O)63+(aq)+3NO3(aq)

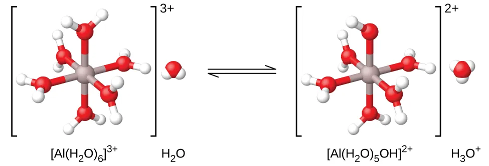
As shown in Figure 14.13, the Al ( H 2 O) 6 3+ Al ( H 2 O) 6 3+ ions involve bonds between a central Al atom and the O atoms of the six water molecules. Consequently, the bonded water molecules' O–H bonds are more polar than in nonbonded water molecules, making the bonded molecules more prone to donation of a hydrogen ion:

Al(H2O)63+(aq)+H2O(l)H3O+(aq)+Al(H2O)5(OH)2+(aq)Ka=1.4×10−5Al(H2O)63+(aq)+H2O(l)H3O+(aq)+Al(H2O)5(OH)2+(aq)Ka=1.4×10−5

The conjugate base produced by this process contains five other bonded water molecules capable of acting as acids, and so the sequential or step-wise transfer of protons is possible as depicted in few equations below:

Al(H2O)63+(aq)+H2O(l)H3O+(aq)+Al(H2O)5(OH)2+(aq)Al(H2O)63+(aq)+H2O(l)H3O+(aq)+Al(H2O)5(OH)2+(aq)
Al(H2O)5(OH)2+(aq)+H2O(l)H3O+(aq)+Al(H2O)4(OH)2+(aq)Al(H2O)5(OH)2+(aq)+H2O(l)H3O+(aq)+Al(H2O)4(OH)2+(aq)
Al(H2O)4(OH)2+(aq)+H2O(l)H3O+(aq)+Al(H2O)3(OH)3(aq)Al(H2O)4(OH)2+(aq)+H2O(l)H3O+(aq)+Al(H2O)3(OH)3(aq)

This is an example of a polyprotic acid, the topic of discussion in a later section of this chapter.

A reaction is shown using ball and stick models. On the left, inside brackets with a superscript of 3 plus outside to the right is structure labeled “[ A l ( H subscript 2 O ) subscript 6 ] superscript 3 plus.” Inside the brackets is s central grey atom to which 6 red atoms are bonded in an arrangement that distributes them evenly about the central grey atom. Each red atom has two smaller white atoms attached in a forked or bent arrangement. Outside the brackets to the right is a space-filling model that includes a red central sphere with two smaller white spheres attached in a bent arrangement. Beneath this structure is the label “H subscript 2 O.” A double sided arrow follows. Another set of brackets follows to the right of the arrows which have a superscript of two plus outside to the right. The structure inside the brackets is similar to that on the left, except a white atom is removed from the structure. The label below is also changed to “[ A l ( H subscript 2 O ) subscript 5 O H ] superscript 2 plus.” To the right of this structure and outside the brackets is a space filling model with a central red sphere to which 3 smaller white spheres are attached. This structure is labeled “H subscript 3 O superscript plus.”
Figure 14.13 When an aluminum ion reacts with water, the hydrated aluminum ion becomes a weak acid.

Aside from the alkali metals (group 1) and some alkaline earth metals (group 2), most other metal ions will undergo acid ionization to some extent when dissolved in water. The acid strength of these complex ions typically increases with increasing charge and decreasing size of the metal ions. The first-step acid ionization equations for a few other acidic metal ions are shown below:

Fe(H2O)63+(aq)+H2O(l)H3O+(aq)+Fe(H2O)5(OH)2+(aq)pKa=2.74Fe(H2O)63+(aq)+H2O(l)H3O+(aq)+Fe(H2O)5(OH)2+(aq)pKa=2.74
Cu(H2O)62+(aq)+H2O(l)H3O+(aq)+Cu(H2O)5(OH)+(aq)pKa=~6.3Cu(H2O)62+(aq)+H2O(l)H3O+(aq)+Cu(H2O)5(OH)+(aq)pKa=~6.3
Zn(H2O)42+(aq)+H2O(l)H3O+(aq)+Zn(H2O)3(OH)+(aq)pKa=9.6Zn(H2O)42+(aq)+H2O(l)H3O+(aq)+Zn(H2O)3(OH)+(aq)pKa=9.6

Example 14.18

Hydrolysis of [Al(H2O)6]3+

Calculate the pH of a 0.10-M solution of aluminum chloride, which dissolves completely to give the hydrated aluminum ion [Al(H2O)6]3+[Al(H2O)6]3+ in solution.

Solution

The equation for the reaction and Ka are:
Al(H2O)63+(aq)+H2O(l)H3O+(aq)+Al(H2O)5(OH)2+(aq)Ka=1.4×10−5Al(H2O)63+(aq)+H2O(l)H3O+(aq)+Al(H2O)5(OH)2+(aq)Ka=1.4×10−5


An ICE table with the provided information is

This table has two main columns and four rows. The first row for the first column does not have a heading and then has the following in the first column: Initial concentration ( M ), Change ( M ), Equilibrium concentration ( M ). The second column has the header of “A l ( H subscript 2 O ) subscript 6 superscript 3 positive sign plus H subscript 2 O equilibrium arrow H subscript 3 O superscript positive sign plus A l ( H subscript 2 O ) subscript 5 ( O H ) superscript 2 positive sign.” Under the second column is a subgroup of three columns and three rows. The first column has the following: 0.10, negative x, 0.10 minus x. The second column has the following: approximately 0, positive x, x. The third column has the following: 0, positive x, x.


Substituting the expressions for the equilibrium concentrations into the equation for the ionization constant yields:

Ka=[H3O+][Al(H2O)5(OH)2+][Al(H2O)63+]Ka=[H3O+][Al(H2O)5(OH)2+][Al(H2O)63+]


=(x)(x)0.10x=1.4×10−5=(x)(x)0.10x=1.4×10−5


Assuming x << 0.10 and solving the simplified equation gives:

x=1.2×10−3Mx=1.2×10−3M


The ICE table defined x as equal to the hydronium ion concentration, and so the pH is calculated to be

[H3O+]=0+x=1.2×10−3M[H3O+]=0+x=1.2×10−3M


pH=−log[H3O+]=2.92(an acidic solution)pH=−log[H3O+]=2.92(an acidic solution)

Check Your Learning

What is [Al(H2O)5(OH)2+][Al(H2O)5(OH)2+] in a 0.15-M solution of Al(NO3)3 that contains enough of the strong acid HNO3 to bring [H3O+] to 0.10 M?

Answer:

2.1 ×× 10−5 M

Citation/Attribution

This book may not be used in the training of large language models or otherwise be ingested into large language models or generative AI offerings without OpenStax's permission.

Want to cite, share, or modify this book? This book uses the Creative Commons Attribution License and you must attribute OpenStax.

Attribution information
  • If you are redistributing all or part of this book in a print format, then you must include on every physical page the following attribution:

    Access for free at https://openstax.org/books/chemistry-2e/pages/1-introduction

  • If you are redistributing all or part of this book in a digital format, then you must include on every digital page view the following attribution:

    Access for free at https://openstax.org/books/chemistry-2e/pages/1-introduction

Citation information

© Jul 9, 2025 OpenStax. Textbook content produced by OpenStax is licensed under a Creative Commons Attribution License . The OpenStax name, OpenStax logo, OpenStax book covers, OpenStax CNX name, and OpenStax CNX logo are not subject to the Creative Commons license and may not be reproduced without the prior and express written consent of Rice University.