Skip to ContentGo to accessibility pageKeyboard shortcuts menu
OpenStax Logo
Biology for AP® Courses

Test Prep for AP® Courses

Biology for AP® CoursesTest Prep for AP® Courses
Search for key terms or text.

55 .

Simple cuboidal epithelial cells line the ducts of certain human exocrine glands. Various materials are transported into or out of the cells by diffusion. The formula for the surface area of a cube is 6 × S × S, and the formula for the volume of a cube is S × S × S, where S = the length of a side of a cube.

Structures which have a high surface area to volume ratio are better at facilitating diffusion. Based on this, which of the following cube-shaped cells would be most efficient in removing waste by diffusion?

4 cubes: one labeled 10 micrometers, one labeled 20 micrometers, one labeled 30 micrometers, one labeled 40 micrometers; rendered in proportionate sizes.

  1. Cube (a).
  2. Cube (b).
  3. Cube (c).
  4. Cube (d).
56 .

Celiac disease is dangerous in affected individuals, because ingesting gluten damages the villi of the small intestines.

Which option is a claim that explains why celiac disease would be potentially life threatening?

  1. The villi aid in mechanical digestion of food particles. When they are damaged, nutrients cannot be digested properly in the body.
  2. Villi increase the surface area of the small intestine, which aids in the absorption of bile salts. This nutrient cannot be absorbed when they are damaged.
  3. Villi decrease the surface area of the small intestine available for absorption. Nutrients cannot properly enter the bloodstream when they are damaged.
  4. Villi increase the surface area available for nutrient absorption. When villi are damaged, nutrients cannot properly enter the bloodstream.
57 .
One of the key features of villi and microvilli in the digestive system is their finger-like projection shape. Which of the following is an example of how the shape of microvilli can enhance nutrient absorption?
  1. Nutrients can enter the bloodstream through the blood vessels that are located in middle of the microvilli.
  2. Larger microvilli have more surface area over which more nutrients are absorbed.
  3. The microvilli projections aid in mechanical digestion of food particles.
  4. The finger-like projections prevent large particles of food from passing through the digestive system.
58 .

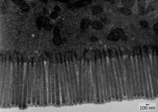
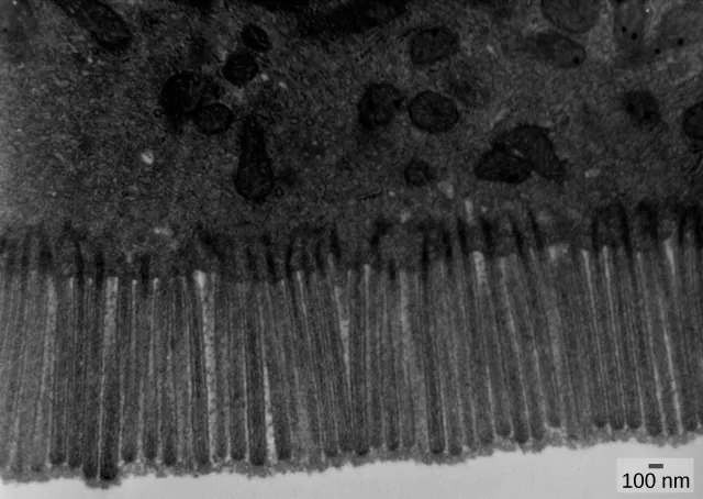
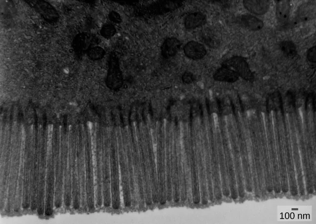
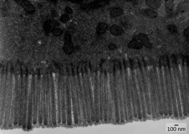
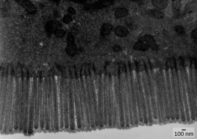
A micrograph shows tissue with an upper half that is grainy and a bottom half that consists of long, thin vertical protrusions that are closely packed to form an even lower border. The upper, solid portion of tissue contains a few irregular white spots and larger dark gray structures that range from circular to longer irregular oblongs. Some of the circular structures contain one or two dark dots and some of the other darker structures contain visible lines. Each vertical protrusion is approximately 10 n m in length with an additional 20 n m protruding into the top half.

This image shows a section from the small intestine. The vertical, stacked structures are microvilli, which absorb nutrients. Each microvillus is approximately 1 μm long by 0.1 μm in diameter.

Based on this picture, what advantage does having microvilli provide to an organism?

  1. Microvilli have a large surface area-to-volume ratio. This allows them to come in contact with nutrients easily.
  2. Microvilli have a small surface area-to-volume ratio. This there are more of them stacked in the same volume.
  3. Microvilli secrete enzymes that capture food particles as they pass over them. These enzymes are responsible for high absorption rates.
  4. Microvilli are warmer than the rest of the body. This temperature difference causes the microvilli to absorb nutrients rapidly.
59 .
Birds have several unique physical differences from other vertebrates, and several pertain to how birds process food. Some differences are obvious, such as the presence of a beak and no teeth, whereas other differences can be observed in their internal features. For example, birds have a monogastric digestive system like most other vertebrates, but their digestive system structure differs from that of most other monogastric vertebrates. Which of the following is true about how birds process food?
  1. Beak emergence coincided with insect inclusion in the bird diet.
  2. The gizzard is the primary site of mechanical digestion.
  3. Birds excrete nitrogenous waste and feces through separate openings.
  4. Birds digest plant material more slowly than ruminants.
60 .

As shown in this figure, the oral cavity has several components that contribute to ingestion and the initial stages of digestion. How do the components of the oral cavity work together to complete the first step of food processing?

Two cross-sections of head: top showing (clockwise) nasal cavity, oral cavity, uvula, pharynx, esophagus, larynx, tongue, jaw, lips; bottom showing (clockwise) parotid gland, submandibular gland, sublingual gland, teeth.

  1. The teeth and jaw mechanically chew the food, and saliva from the salivary glands moistens the food and begins chemical digestion. The tongue then physically moves the food to the pharynx, where peristalsis moves the food into the stomach.
  2. The teeth and jaw mechanically chew the food, and saliva from the salivary glands moistens the food and initiates mechanical and chemical digestion. The tongue then physically moves the food to the pharynx, where peristalsis moves the food into the stomach.
  3. The teeth and jaw mechanically chew the food, and saliva from the salivary glands moistens the food and begins chemical digestion. The tongue then physically moves the food to the larynx, where peristalsis moves the food into the stomach.
  4. The teeth and jaw mechanically chew the food, and saliva from the salivary glands moistens the food and initiates mechanical and chemical digestion. The tongue then physically moves the food to the pharynx, where segmentation moves the food into the stomach.
61 .
Most mammals have a monogastric digestive system, which means they have one stomach chamber. Ruminants and pseudo-ruminants consume a large amount of plant material and have polygastric digestive systems, which means they have more than one stomach chamber. Why is an increased number of stomach chambers beneficial for ruminants and pseudo-ruminants?
  1. Microbes in the chambers break down and ferment plant material.
  2. Extended exposure to stomach acid breaks down more cellulose.
  3. Increased amounts of peristalsis crush more of the plant fibers.
  4. Having more stomach chambers increases exposure for nutrients to be absorbed.
62 .

This figure shows the majority of the digestive tracts of two organisms that consume different food sources. a. Which digestive tract belongs to the herbivore? b. How did you determine this?

Top: human digestive system with labels (top to bottom) esophagus, stomach, liver, pancreas, small intestine, cecum, large intestine, anus; bottom: rabbit digestive system with labels (top to bottom) esophagus, liver, stomach, pancreas, small intestine, cecum, colon, anus

  1. a. The digestive tract shown at the bottom belongs to the herbivore. b. Herbivores have a shorter intestinal tract, which allows stronger smooth muscle contractions called peristalsis in a shorter area, providing more opportunity for nutrients to be obtained and absorbed.
  2. a. The digestive tract shown at the top belongs to the herbivore. b. Herbivores have a longer intestinal tract, which provides more opportunity for nutrients to be obtained and absorbed, since plant material is difficult for animals to break down.
  3. a. The digestive tract shown at the bottom belongs to the herbivore. b. Herbivores have a longer intestinal tract, which provides more opportunity for the nutrients to react with the intestinal enzymes for better absorption, since plant material is difficult for animals to break down.
  4. a. The digestive tract shown at the bottom belongs to the herbivore. b. Herbivores have a shorter intestinal tract, which provides more opportunity for nutrients to be obtained and absorbed, since plant material is difficult for animals to break down.
63 .
The ruminant digestive system has evolved several differences from the traditional mammalian monogastric digestive system because they consume large amounts of plant material. Which of the following is NOT a component of the ruminant digestive system that has evolved to more efficiently digest plant fibers?
  1. omasum
  2. abomasum
  3. reticulum
  4. gizzard
64 .
(credit: modification of work by Feldhamer, George A./JHU Press)

This image shows the digestive systems of different animals.

Which animal is more likely to be a carnivore?

  1. Animal A.
  2. Animal B.
  3. Animal C.
  4. The diet of animals cannot be determined by their digestive systems.
65 .

This figure shows involuntary muscle movement in part of the digestive system. What stimulates this involuntary response?

“Illustration shows food moving down the esophagus, which is a muscular tube. Muscles constrict behind the food. The constriction moves down, pushing the food ahead of it, from the mouth to the stomach.

  1. smelling food
  2. seeing food
  3. chewing food
  4. swallowing food
66 .

This image shows the digestive system of a ruminant animal. How does this polygastric digestive system enhance digestion efficiency in ruminants?

Simple outline cross-section of goat showing digestive system with arrows showing paths of food through the four stomachs and into the intestines..

  1. Multiple stomach chambers in ruminant animals contain microbes that have cellulase, which breaks down plant material. Plant material is difficult to digest because animals lack cellulase to break down cellulose.
  2. Multiple stomach chambers in ruminant animals allow stronger smooth muscle contractions, which break down plant material. Plant material is difficult to digest because animals lack cellulase to break down cellulose.
  3. Multiple stomach chambers present in ruminant animals contain cellulase, which break down plant material. Plant material is difficult to digest because animals lack cellulase to break down cellulose.
  4. Multiple stomach chambers in ruminant animals allow the food to stay in the stomach for a longer time so that peristaltic movements and the action of enzymes on food particles occurs for a longer time.
67 .

A table showing that the average mouse respiration rate at 10 degrees Celsius is .0518 milliliters of oxygen consumed per gram of mass per minute, and at 25 degrees Celsius, the rate is .0321 milliliters of oxygen consumed per gram of mass per minute.

Which option is a claim that can be made based on this study?

  1. The mice at 10°C had a higher rate of ATP production than the mice at 25°C.
  2. The mice at 10°C had a lower metabolic rate than the mice at 25°C.
  3. The mice at 25°C weighed less than the mice at 10°C.
  4. The mice at 25°C were more active than the mice at 10°C.
68 .

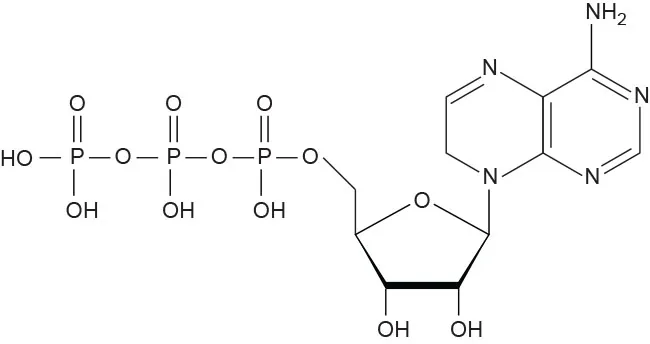
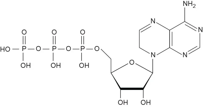
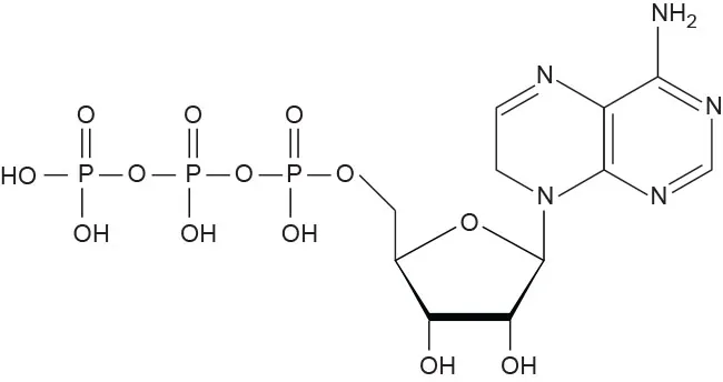
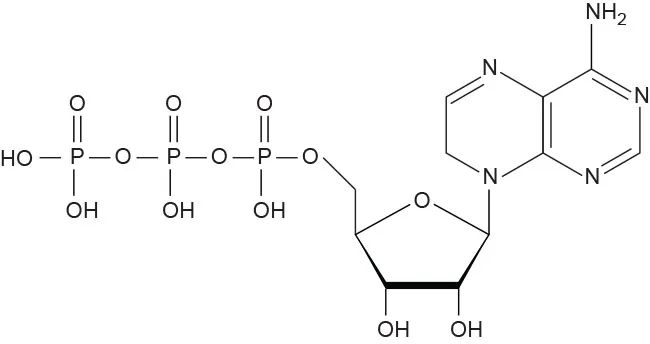
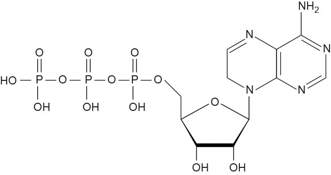
The image shows the structure of an ATP molecule.

When an ATP molecule is broken down for energy, which bonds break?

  1. The O—H bonds.
  2. The P—O bonds.
  3. The N—H bonds.
  4. The —O— bond.
69 .
An omnivore comes across potatoes, avocados, kale, and eggs and craves only the eggs. In what nutrient is the animal likely deficient?
  1. carbohydrates
  2. protein
  3. fiber
  4. fatty acids
70 .
Carbohydrates often get a bad reputation for their role in promoting weight gain when consumed in excess. However, carbohydrates are necessary for biological functions. Why is it important to consume carbohydrates?
  1. Carbohydrates are broken down into glucose, which provides energy as ATP through metabolic pathways. ATP helps to maintain connective tissue.
  2. Carbohydrates are broken down into glucose, which is essential for blood clotting.
  3. Carbohydrates, along with proteins, help maintain connective tissue and are essential to blood clotting.
  4. Carbohydrates are broken down into glucose, which provides energy as ATP through metabolic pathways. ATP is required for proper cellular function.
71 .
Excess ATP is combined with excess glucose and stored as glycogen in the liver and skeletal muscle. Under what circumstance would glycogen storage in skeletal muscle prove beneficial for a rabbit?
  1. A rabbit has not eaten recently and its blood sugar drops.
  2. There is an overabundance of food available to a rabbit.
  3. A rabbit spots a coyote and flees in response.
  4. A young rabbit with an adequate food source is developing into an adult rabbit.
Citation/Attribution

This book may not be used in the training of large language models or otherwise be ingested into large language models or generative AI offerings without OpenStax's permission.

Want to cite, share, or modify this book? This book uses the Creative Commons Attribution License and you must attribute OpenStax.

Attribution information
  • If you are redistributing all or part of this book in a print format, then you must include on every physical page the following attribution:

    Access for free at https://openstax.org/books/biology-ap-courses/pages/1-introduction

  • If you are redistributing all or part of this book in a digital format, then you must include on every digital page view the following attribution:

    Access for free at https://openstax.org/books/biology-ap-courses/pages/1-introduction

Citation information

© Jul 7, 2025 OpenStax. Textbook content produced by OpenStax is licensed under a Creative Commons Attribution License . The OpenStax name, OpenStax logo, OpenStax book covers, OpenStax CNX name, and OpenStax CNX logo are not subject to the Creative Commons license and may not be reproduced without the prior and express written consent of Rice University.